2025,
55(4):
707-746.
doi: 10.6052/1000-0992-25-021
Abstract:
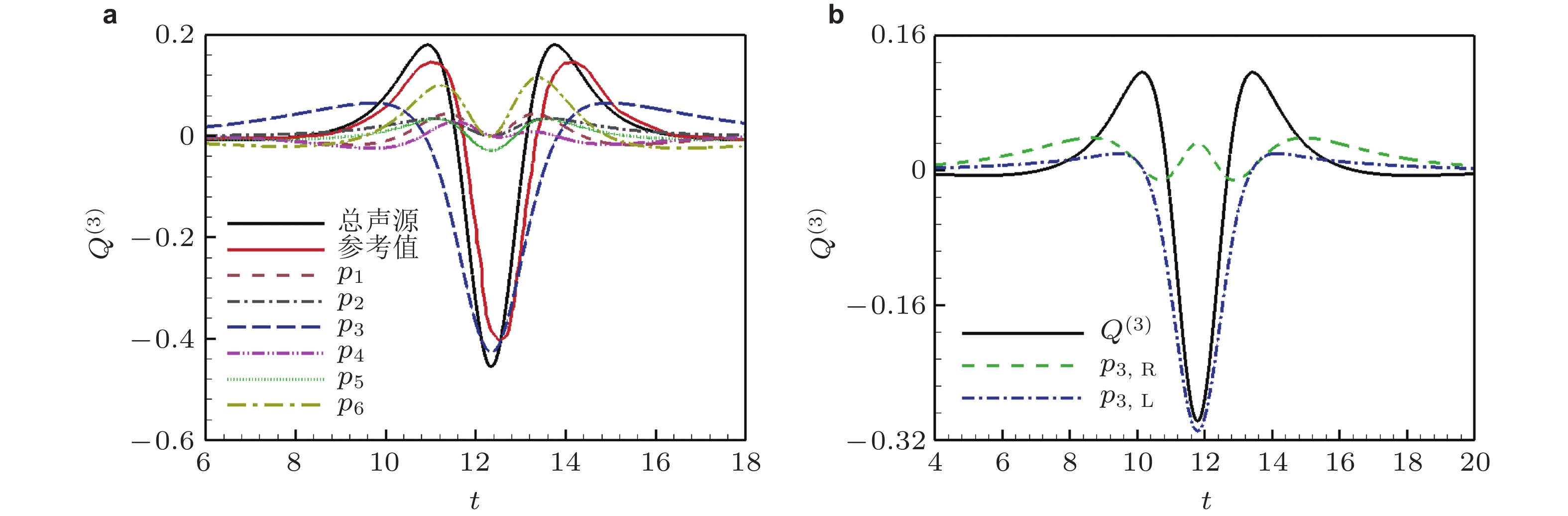
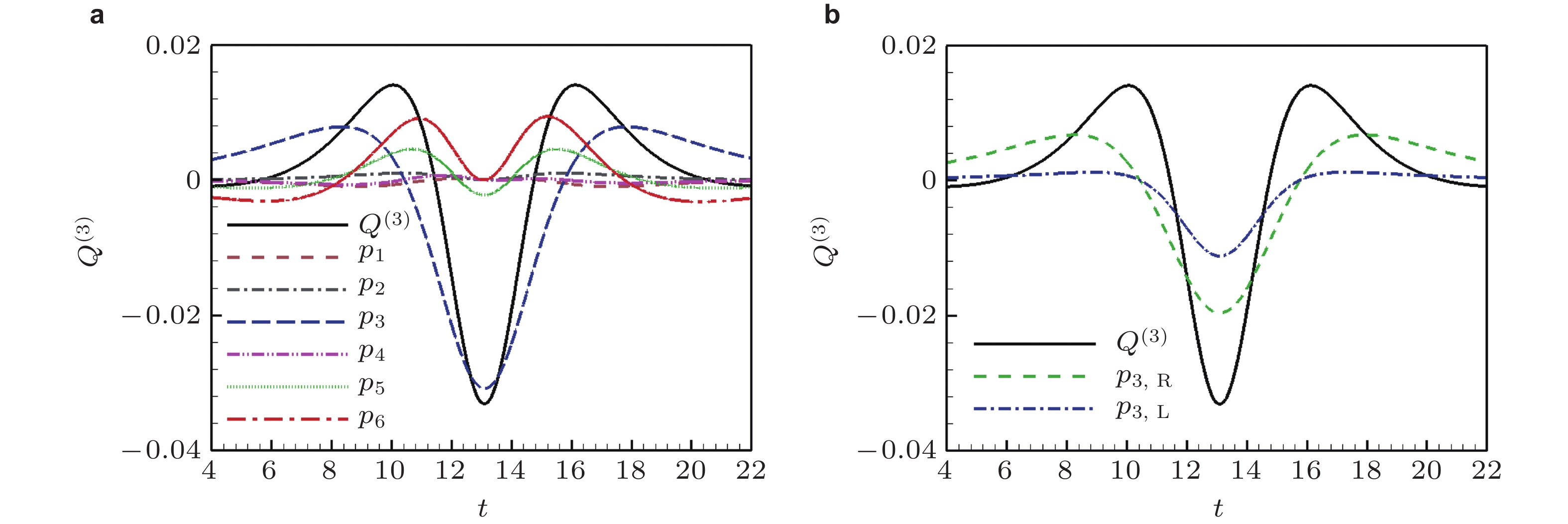
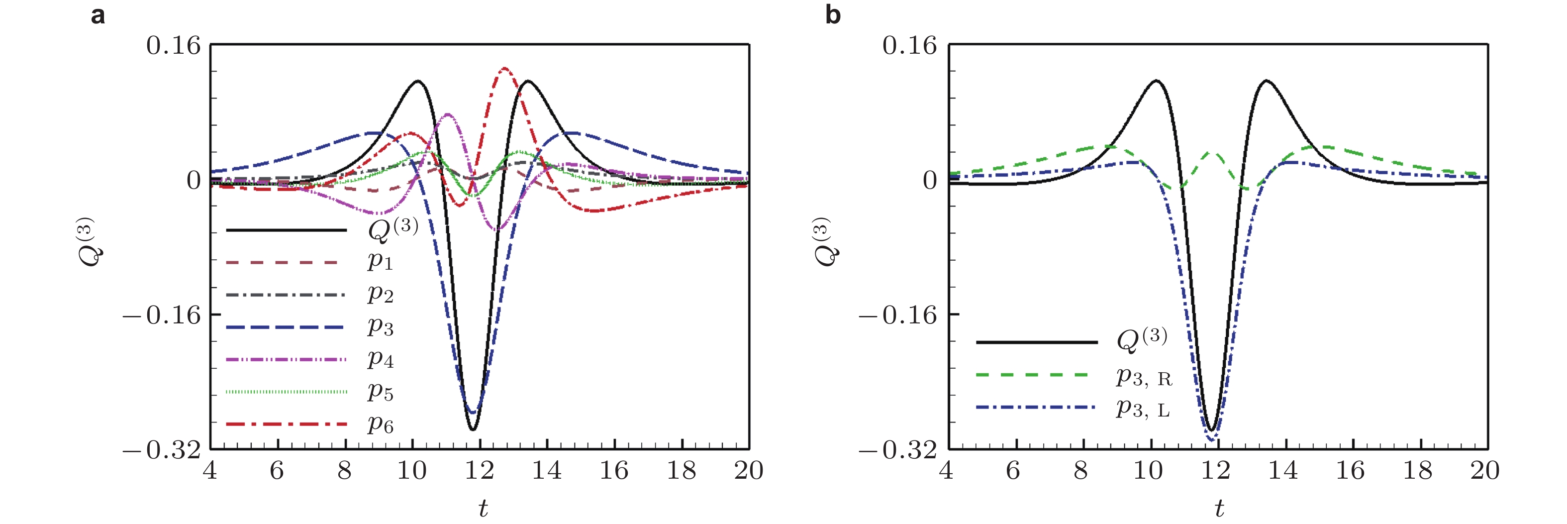
Non-positive Poisson’s ratio mechanical metamaterials are a class of architected functional materials that exhibit negative or zero Poisson’s ratio effect at the macroscopic scale through configuration design. Their distinctive capabilities in controlling transverse deformation, maintaining dimensional stability, and enhancing energy absorption confer significant potential for applications in aerospace, marine engineering, transportation, wearable protective equipment, and biomedicine. In recent years, continuous advancements in microstructural design, advanced material fabrication techniques, and multi-material integration methods have driven significant progress in non-positive Poisson’s ratio mechanical metamaterials, particularly in configuration diversity, mechanical response tunability, and multifunctional integration. Guided by the dominant mechanisms that activate transverse deformation, this paper systematically surveys the typical design strategies of non-positive Poisson’s ratio mechanical metamaterials. For negative Poisson’s ratio architectures, the discussion is organized around re-entrant geometries, rotating systems (rotating rigid-body/truss and chiral/anti-chiral configurations), kirigami/origami schemes, elastic instability-induced mechanisms, and rigid-body linkages. Zero Poisson’s ratio architectures are categorized into geometric paradigms, including rectangular/parallelogram-like, semi-re-entrant, positive/negative Poisson’s ratio unit combinations, and rigid-flexible composites. Focusing on performance requirements in cushioning and energy absorption, enhancement strategies include multi-plateau response designs, graded structural architectures, multi-material coupling, and the incorporation of smart materials. At the level of structural integration, technical pathways such as modular assembly, sandwich structure, and intrinsically three-dimensional architectures are reviewed. Finally, by synthesizing recent research progress on non-positive Poisson’s ratio mechanical metamaterials in terms of design and fabrication, performance regulation, and system integration, the current core technical bottlenecks are identified, the key directions for breakthroughs are clarified, and future development pathways for multiscale manufacturing, multifield response integration, and engineering applications are proposed.
Wang W J, Yang H, Zhang W M, Ma L. Design strategies for non-positive Poisson’s ratio mechanical metamaterials and their cushioning and energy absorption characteristics. Advances in Mechanics, 2025, 55(4): 707-746. doi: 10.6052/1000-0992-25-021.