Volume 56 Issue 1
Mar.  2026
Turn off MathJax
Article Contents
Zang Z Y, Zhou Z T, Wang S Z. Investigation of noise generated by the interactions of coaxial vortex rings. Advances in Mechanics, 2026, 56(1): 260-274 doi: 10.6052/1000-0992-25-020
Citation: Zang Z Y, Zhou Z T, Wang S Z. Investigation of noise generated by the interactions of coaxial vortex rings. Advances in Mechanics, 2026, 56(1): 260-274 doi: 10.6052/1000-0992-25-020

Investigation of noise generated by the interactions of coaxial vortex rings

doi: 10.6052/1000-0992-25-020 cstr: 32046.14.1000-0992-25-020
More Information
  • Corresponding author: wangsz@lnm.imech.ac.cn
  • Received Date: 2025-07-29
  • Accepted Date: 2025-10-23
  • Available Online: 2025-10-24
  • Publish Date: 2026-03-25
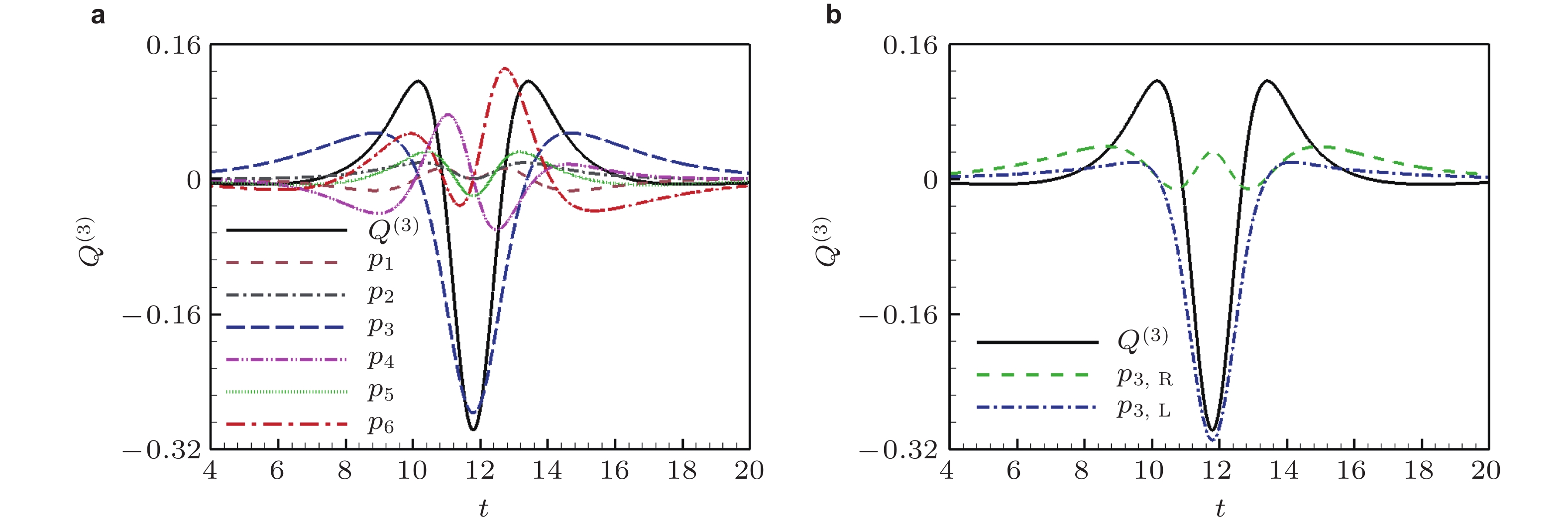
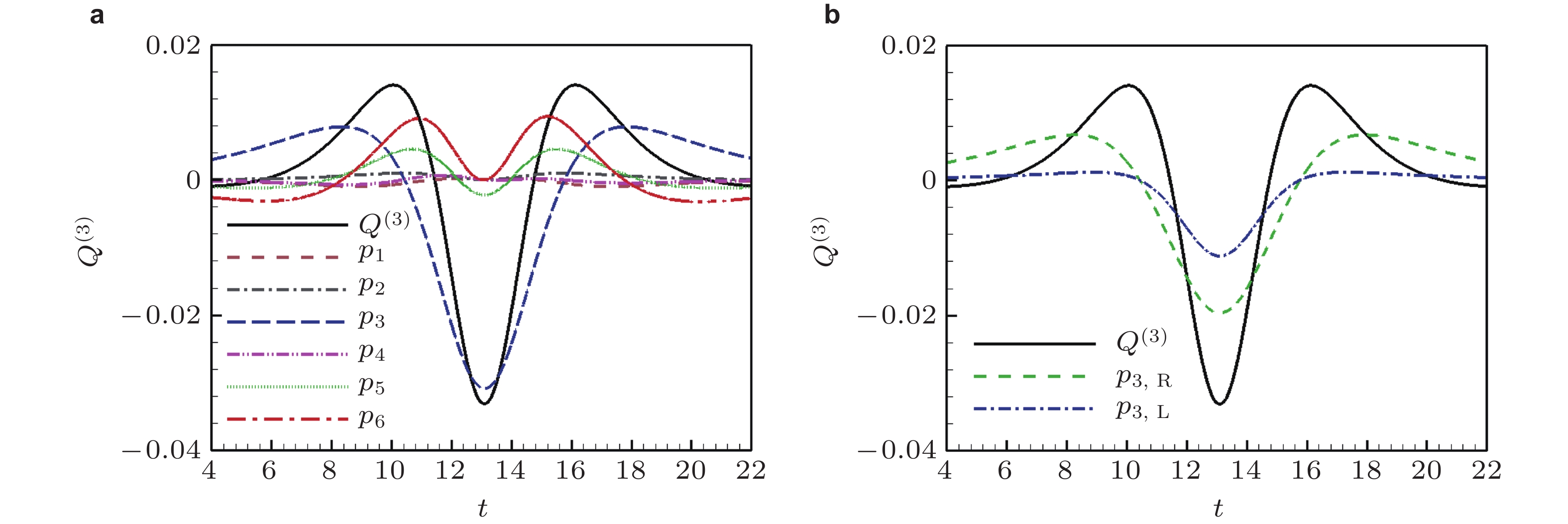
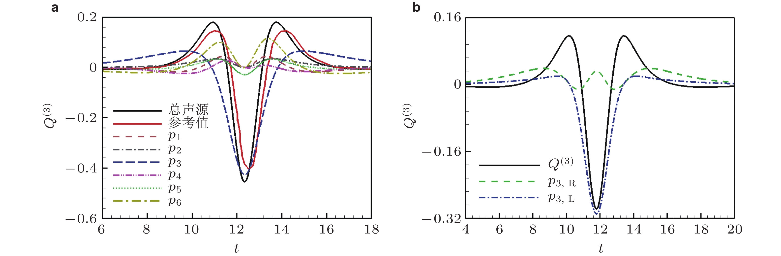
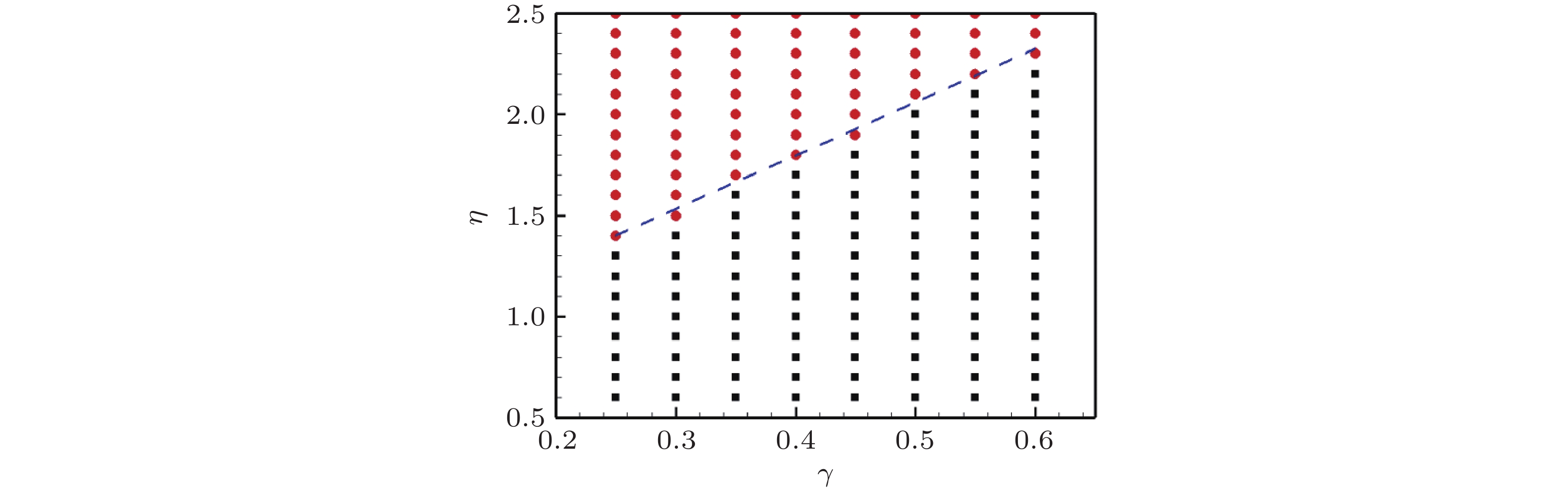
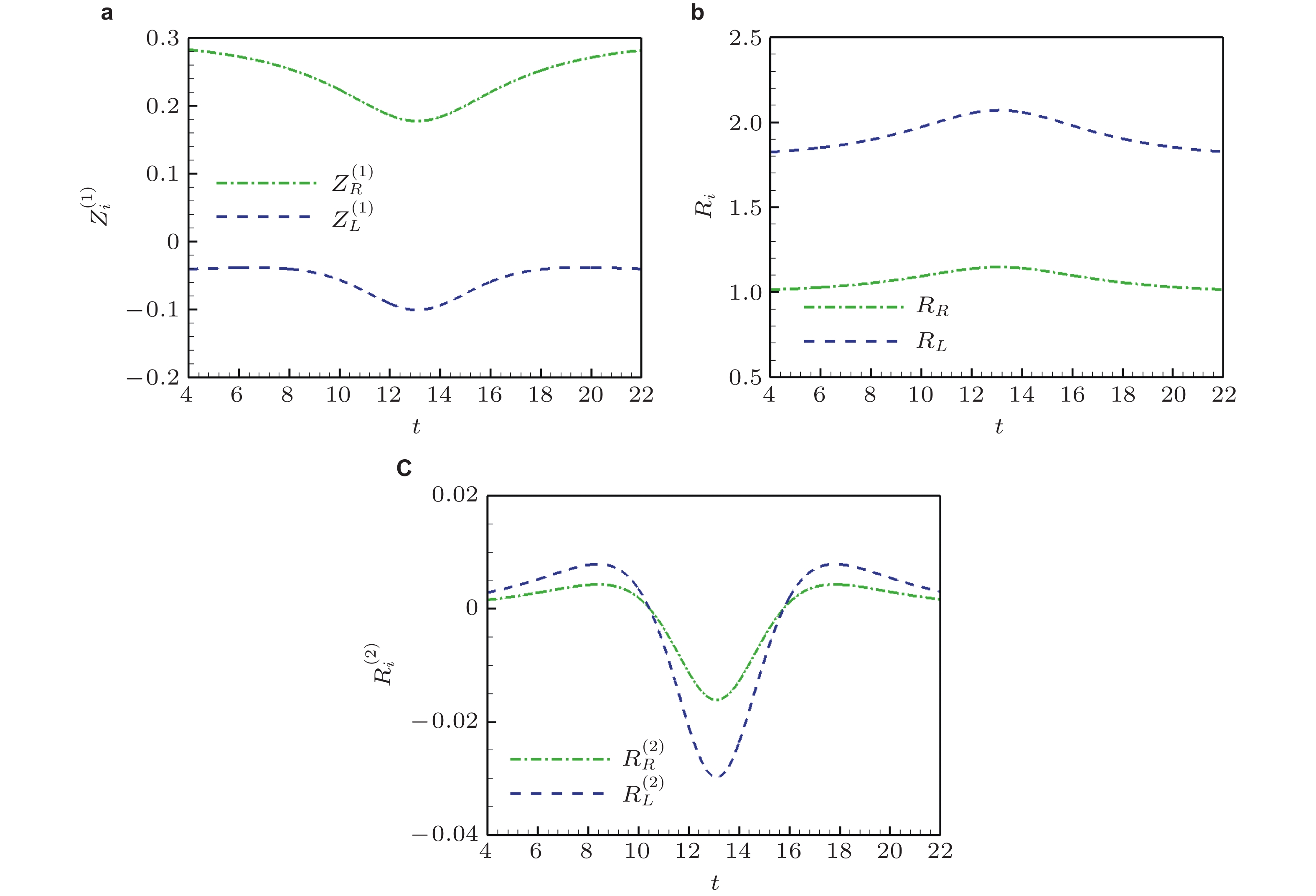
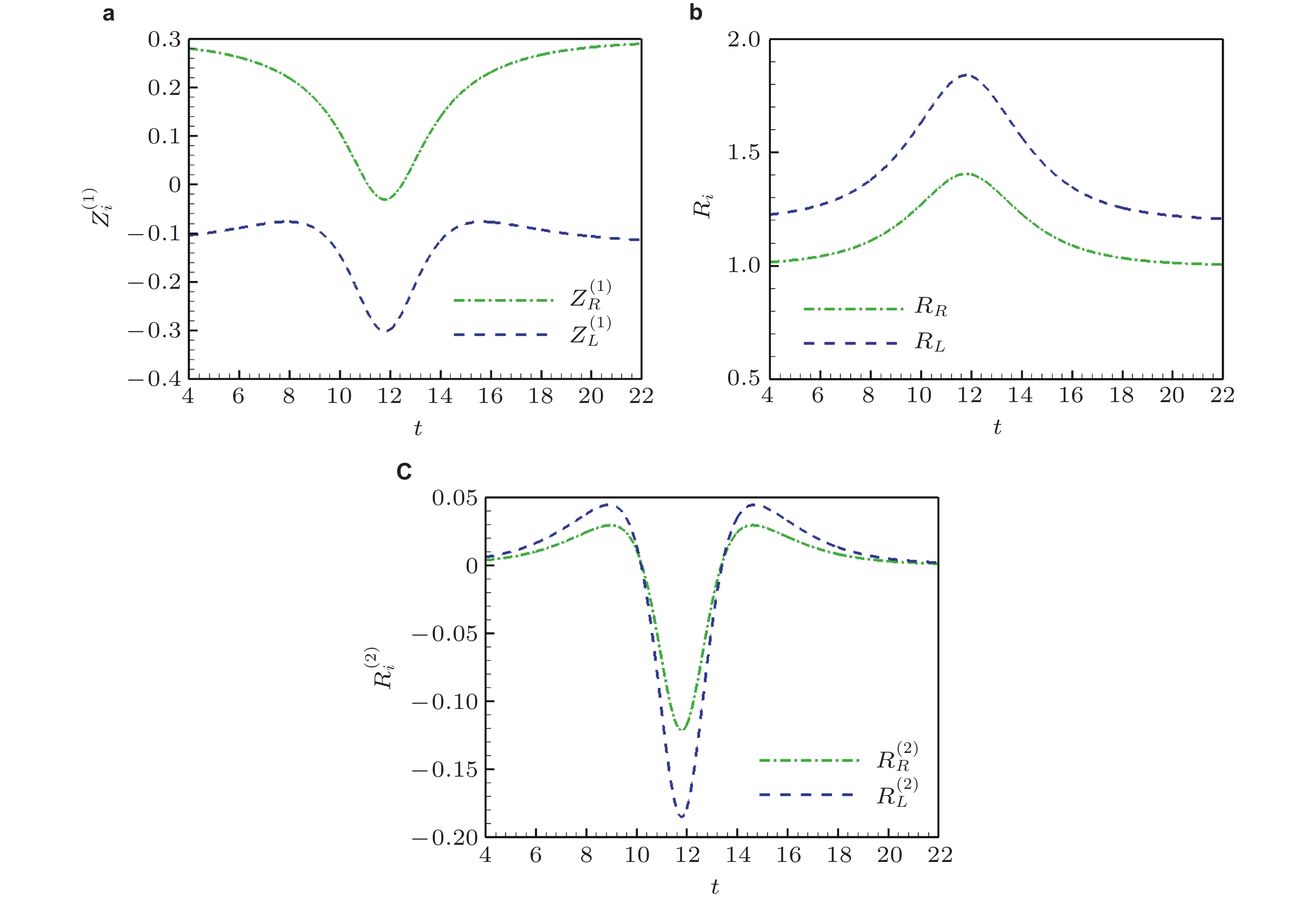
  • The interactions of coaxial vortex rings are the typical flow in subsonic jets and the significant sources of jet noise. Controlling the acceleration and deceleration of vortex rings during the interactions is critical to noise reduction. Previous studies have shown that the radial acceleration of the weaker ring is the dominant contributor to high-amplitude, low-frequency noise. In this work, the conditions under which this phenomenon occurs and the physical laws that govern it are investigated based on Dyson thin-core vortex ring model. By decomposing the acoustic source into the product of the vortex rings’ axial and radial kinematic parameters, the interactions of vortex rings are analyzed under various initial circulation and radius ratios. A critical initial radius ratio is identified, below which the source term related to the radial acceleration of the weaker ring contributes more to the total noise source than that of the stronger ring. Through quantitative analysis of the vortex ring interaction dynamics, the correlation between the peak value of the noise pulse and the peak values of axial velocity and radial acceleration of the rings is established. Moreover, the reverse motion of the stronger ring can induce an out-of-phase pulse in its corresponding acoustic source term.

     

  • loading
  • [1]
    李晓东, 徐希海, 高军辉, 何敬玉. 2018. 喷流噪声研究进展与展望. 空气动力学学报, 36(3): 398-409 (Li X D, Xu X H, Gao J H, He J Y. 2018. Progress and prospect on jet noise study. Acta Aerodynamica Sinica, 36(3): 398-409).

    Li X D, Xu X H, Gao J H, He J Y. 2018. Progress and prospect on jet noise study. Acta Aerodynamica Sinica, 36(3): 398-409.
    [2]
    吴佳峰, 黄迅. 2022. 螺旋桨中的流动噪声问题. 空气动力学学报, 40(3): 10-21 (Wu J F, Huang X. 2022. Flow-induced noise problems of propellers. Acta Aerodynamica Sinica, 40(3): 10-21).

    Wu J F, Huang X. 2022. Flow-induced noise problems of propellers. Acta Aerodynamica Sinica, 40(3): 10-21.
    [3]
    毛义军, 祁大同. 2009. 叶轮机械气动噪声的研究进展. 力学进展, 39(2): 189-202. (Mao Y J, Qi D T. 2009. Review of aerodynamic noise in turbomachinery. Advances in Mechanics, 39(2): 189-202).

    Mao Y J, Qi D T. 2009. Review of aerodynamic noise in turbomachinery. Advances in Mechanics, 39(2): 189-202.
    [4]
    杨海华, 周林, 万振华, 孙德军. 2016. 亚声速旋拧射流噪声中的温度效应. 航空学报, 37(8): 2436-2444 (Yang H H, Zhou L, Wan Z H, Sun D J. 2016. Temperature effects on noise in subsonic swirling jets. Acta Aeronautica et Astronautica Sinica, 37(8): 2436-2444).

    Yang H H, Zhou L, Wan Z H, Sun D J. 2016. Temperature effects on noise in subsonic swirling jets. Acta Aeronautica et Astronautica Sinica, 37(8): 2436-2444.
    [5]
    翟超慧, 刘妍琛, 杜永乐. 2020. 喷流噪声声源识别与声源机理分析方法进展. 航空工程进展, 11(1): 1-9. (Zhai C H, Liu Y C, Du Y L. 2020. Progress and prospective of the identification of noise sources and analysis of noise source mechanisms in jets. Advances in Aeronautical Science and Engineering, 11(1): 1-9).

    Zhai C H, Liu Y C, Du Y L. 2020. Progress and prospective of the identification of noise sources and analysis of noise source mechanisms in jets. Advances in Aeronautical Science and Engineering, 11(1): 1-9.
    [6]
    Borisov A V, Kilin A A, Mamaev, I S. 2013. The dynamics of vortex rings: Leapfrogging, choreographies and the stability problem. Regular and Chaotic Dynamics, 18: 33-62. doi: 10.1134/S1560354713010036
    [7]
    Chatelain P, Kivotides D, Leonard, A. 2003. Reconnection of colliding vortex rings. Physical Review Letters, 90(5), 054501.
    [8]
    Dyson F W. 1893. The potential of an anchor ring. Part II. Philosophical Transactions of the Royal Society of London, 1041-1106.
    [9]
    Feng F, Meng X, Wang Q. 2020. Sound generation by a pair of co-rotating vortices using spectral acoustic analogy. Journal of Sound and Vibration, 469: 115120. doi: 10.1016/j.jsv.2019.115120
    [10]
    Fraenkel L E. 1972. Examples of steady vortex rings of small cross-section in an ideal fluid. Journal of Fluid Mechanics, 51(1): 119-135. doi: 10.1017/S0022112072001107
    [11]
    Fukumoto Y, Moffatt H K. 2000. Motion and expansion of a viscous vortex ring. Part 1. A higher-order asymptotic formula for the velocity. Journal of Fluid Mechanics, 417: 1-45.
    [12]
    Helmholtz H V. 1858. Über integrale der hydrodynamischen Gleichungen, welche den Wirbelbewegungen entsprechen. J. Reine Angew. Math., 55: 25–55.
    [13]
    Inoue O, Hattori Y, Sasaki T. 2000. Sound generation by coaxial collision of two vortex rings. Journal of Fluid Mechanics, 424: 327-365. doi: 10.1017/S0022112000002123
    [14]
    Inoue O. 2002. Sound generation by the leapfrogging between two coaxial vortex rings. Physics of Fluids, 14: 3361-3364. doi: 10.1063/1.1500360
    [15]
    Kambe T, Minota T. 1981. Sound radiation from vortex systems. Journal of Sound and Vibration, 74: 61-72. doi: 10.1016/0022-460X(81)90491-0
    [16]
    Li B, Lyu B. 2023. Acoustic emission due to the interaction between shock and instability waves in two-dimensional supersonic jet flows. Journal of Fluid Mechanics, 954: A35.
    [17]
    Lim T T, Nickels T B. 1992. Instability and reconnection in the head-on collision of two vortex rings. Nature, 357(6375): 225-227. doi: 10.1038/357225a0
    [18]
    Matsuzawa T, Mitchell N P, Perrard S, Irvine W T. 2023. Creation of an isolated turbulent blob fed by vortex rings. Nature Physics, 19(8): 1193-1200. doi: 10.1038/s41567-023-02052-0
    [19]
    McKeown R, Ostilla-Mónico R, Pumir A, Brenner M P, Rubinstein S M. 2018. Cascade leading to the emergence of small structures in vortex ring collisions. Physical Review Fluids, 3(12): 124702. doi: 10.1103/PhysRevFluids.3.124702
    [20]
    Moffatt H K, Kimura Y. 2019. Towards a finite-time singularity of the Navier–Stokes equations Part 1. Derivation and analysis of dynamical system. Journal of Fluid Mechanics, 861: 930-967.
    [21]
    Möhring W. 1978. On vortex sound at low Mach number. Journal of Fluid Mechanics, 85(4): 685-691. doi: 10.1017/S0022112078000865
    [22]
    Norbury J. 1973. A family of steady vortex rings. Journal of Fluid Mechanics, 57(3): 417-431. doi: 10.1017/S0022112073001266
    [23]
    Powell A. 1964. Theory of vortex sound. The Journal of the Acoustical Society of America, 36: 177-195. doi: 10.1121/1.1918931
    [24]
    Schram C, Hirschberg A. 2003. Applicati on of vortex sound theory to vortex-pairing noise: Sensitivity to errors in flow data. Journal of Sound and Vibration, 266: 1079-1098.
    [25]
    Su J L, Yang D, Morgans A. 2021. Modelling of sound-vortex interaction for the flow through an annular aperture. Journal of Sound and Vibration, 509: 116250.
    [26]
    Sullivan I S, Niemela J J, Hershberger R E, Bolster D, Donnelly R J. 2008. Dynamics of thin vortex rings. Journal of Fluid Mechanics, 609: 319-347. doi: 10.1017/S0022112008002292
    [27]
    Tang S K, Ko N W M. 1993. A study on the noise generation mechanism in a circula rair jet. Journal of Fluids Engineering, Transactions of the ASME, 115: 425-435.
    [28]
    Tang S K, Ko N. 1994. Coherent structure interactions in an unexcited coaxial jet. Experiments in Fluids, 17(3): 147-157. doi: 10.1007/BF00190911
    [29]
    Tang S K, Ko N. 1995a. On sound generated from the interaction of two inviscid coaxial vortex rings moving in the same direction. Journal of Sound and Vibration, 187: 287-310. doi: 10.1006/jsvi.1995.0522
    [30]
    Tang S K, Ko N. 1995b. Sound generation by a vortex ring collision. The Journal of the Acoustical Society of America, 98: 3418-3427. doi: 10.1121/1.413793
    [31]
    Verzicco R, Iafrati A, Riccardi G, et al. 1997. Analysis of the sound generated by the pairing of two axisymmetric co-rotating vortex rings. Journal of Sound and Vibration, 200: 347-358. doi: 10.1006/jsvi.1996.0714
    [32]
    Wang B, Yang Y. 2024. Transition induced by a bursting vortex ring in channel flow. Journal of Fluid Mechanics, 986: A11. doi: 10.1017/jfm.2024.353
    [33]
    Yao J, Shen W, Yang Y, Hussain F. 2022. Helicity dynamics in viscous vortex links. Journal of Fluid Mechanics, 944: A41.
    [34]
    Zaman K B M Q, Hussain A K M F. 1980. Vortex pairing in a circular jet under controlled excitation. Part 1. General jet response. Journal of Fluid Mechanics, 101(3): 449-491. doi: 10.1017/S0022112080001760
    [35]
    Zang Z Y, Zhou Z T, Liu Y, Wang S Z. 2025. Tilting of vortex rings in the oblique collision reduces the longitudinal quadrupole and octupole modes of aerodynamic sound. Journal of Fluid Mechanics, 1015: A1.
    [36]
    Zhang E N, Su W D. 2025. Evolution of a family of vortex rings with zero circulation. Journal of Fluid Mechanics, 1015: A29.
    [37]
    Zhao Y H, Ding J, Weng P F, Zhou Q, Dong Y H, Yang X Q. 2025. Method of aerodynamic noise source identification for cylinder flows. Journal of Fluid Mechanics, 1012: A13.
    [38]
    Zhong S Y, Zhang X. 2017. A sound extrapolation method for aeroacoustics far-field prediction in presence of vortical waves. Journal of Fluid Mechanics, 820: 424-450.
  • 加载中

Catalog

    通讯作者: 陈斌, bchen63@163.com
    • 1. 

      沈阳化工大学材料科学与工程学院 沈阳 110142

    1. 本站搜索
    2. 百度学术搜索
    3. 万方数据库搜索
    4. CNKI搜索

    Figures(8)

    Article Metrics

    Article views (300) PDF downloads(78) Cited by()
    Proportional views
    Related

    /

    DownLoad:  Full-Size Img  PowerPoint
    Return
    Return