留言板

尊敬的读者、作者、审稿人, 关于本刊的投稿、审稿、编辑和出版的任何问题, 您可以本页添加留言。我们将尽快给您答复。谢谢您的支持!

姓名
邮箱
手机号码
标题
留言内容
验证码

镁合金腐蚀疲劳行为与寿命预测研究进展

康国政 奥妮 付正鸿 李航 阚前华

康国政, 奥妮, 付正鸿, 李航, 阚前华. 镁合金腐蚀疲劳行为与寿命预测研究进展. 力学进展, 待出版 doi: 10.6052/1000-0992-26-008
引用本文: 康国政, 奥妮, 付正鸿, 李航, 阚前华. 镁合金腐蚀疲劳行为与寿命预测研究进展. 力学进展, 待出版 doi: 10.6052/1000-0992-26-008
Kang G Z, Ao N, Fu Z H, Li H, KAN Q H. Research Progress on Corrosion Fatigue Behavior and Life Prediction of Magnesium Alloys. Advances in Mechanics, in press doi: 10.6052/1000-0992-26-008
Citation: Kang G Z, Ao N, Fu Z H, Li H, KAN Q H. Research Progress on Corrosion Fatigue Behavior and Life Prediction of Magnesium Alloys. Advances in Mechanics, in press doi: 10.6052/1000-0992-26-008

镁合金腐蚀疲劳行为与寿命预测研究进展

doi: 10.6052/1000-0992-26-008 cstr: 32046.14.1000-0992-26-008
基金项目: 国家自然科学基金重大项目课题(12192212)和国家自然科学基金青年项目(52305161、12402074 和12302076)对本研究的支持与资助. 此外, 感谢路宇、张旭、刘宇恒、李熙四位研究生在修改论文图片格式及插入参考文献等工作中的辛勤付出.
详细信息
    作者简介:

    康国政, 固体力学博士, 西南交通大学讲席教授, 博士生导师. 国家级领军人才, 享受国务院特殊政府津贴专家, 全国优秀教育工作者, 德国“洪堡学者”, 霍英东教育基金会优秀青年教师基金获得者, 中国力学学会“全国优秀力学教师”, 教育部力学类专业指导委员会委员. 主要从事材料本构关系和疲劳与断裂方面的研究, 在先进材料的棘轮行为、棘轮疲劳交互作用、形状记忆合金热力耦合循环变形行为和疲劳失效行为等方面取得了较多创新性成果. 相关研究成果获教育部自然科学奖二等奖2项、四川省科技进步二等奖1项; 相关教学成果获国家级教学成果二等奖2项. 2014年以来每年入选Elsevier中国高被引学者榜单. 现任中国力学学会常务理事, 四川省力学学会理事长, 教育部力学专业教指委委员, 国际期刊Int. J. Fatigue共同主编, Int. J. Fracture领域编辑, Int. J. Plasticity、ZAMM 和 Acta Mechanica Solida Sinica 等8 份杂志编委

    通讯作者:

    guozhengkang@home.swjtu.edu.cn

  • 中图分类号: O346.2+1

Research Progress on Corrosion Fatigue Behavior and Life Prediction of Magnesium Alloys

More Information
  • 摘要: 镁合金因其优异的比强度和比刚度, 在实现结构轻量化方面具有广阔的应用前景. 然而, 镁合金的腐蚀疲劳问题制约了其在关键承力构件中的可靠应用. 深入理解镁合金的腐蚀疲劳行为, 建立精准的寿命预测模型, 进而提出合理的防护措施, 是推动其工程应用的关键和前提. 为此, 本文系统综述了镁合金腐蚀疲劳行为的宏观演化规律、微观机制以及寿命预测等方面的研究进展: 首先概括了镁合金内在因素、腐蚀介质以及加载条件对其腐蚀疲劳宏观演化规律; 其次, 总结了镁合金的腐蚀疲劳损伤机理, 强调了原位和非原位表征方法以及主流的数值模拟方法的重要作用; 然后, 对镁合金腐蚀疲劳寿命预测模型的研究现状进行了系统梳理; 最后, 简要总结当前研究进展, 并展望了该领域未来的发展方向.

     

  • 图  1  合金元素对镁合金阴极和阳极反应的影响及其对耐腐蚀行为的影响(Olugbade et al. 2022)

    图  2  Mg-1Y-xCa合金的腐蚀机理示意图: (a-c) Mg-1Y; (d-f) Mg-1Y-0.05Ca (Bian et al. 2016)

    图  3  (a) HP-Mg镁、(b) Mg-1Ca镁合金和(c) Mg-2Zn-0.2Ca镁合金分别在空气中和模拟体液中的疲劳S-N曲线(Bian et al. 2016)

    图  4  腐蚀疲劳裂纹萌生过程示意图: (a)锻造态镁合金; (b)固溶处理态镁合金(Wang et al. 2019)

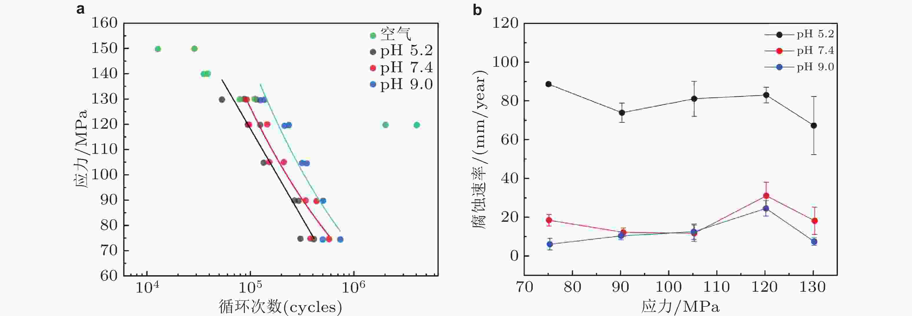
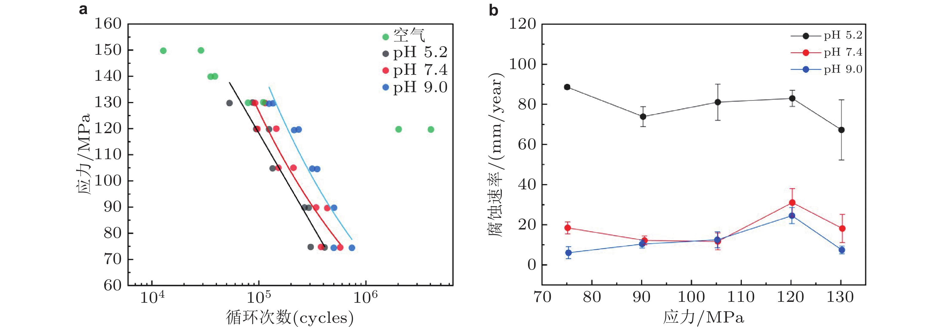
    图  5  磷酸盐缓冲溶液对AM60镁合金腐蚀疲劳行为的影响(Meng et al. 2019): (a) 模拟体液pH值对镁合金的疲劳S-N曲线的影响; (b) 模拟体液的pH值对镁合金腐蚀速率的影响

    图  6  AZ61镁合金在不同温度和不同湿度下的疲劳S-N曲线(Sajuri et al. 2005): (a) 在20 ℃下相对湿度分别为55%和80%的疲劳S-N曲线, (b) 在50 ℃下相对湿度分别为55%和80%的疲劳S-N曲线, 其中, 填充符号旁边的 P 表示由腐蚀坑引起的疲劳失效

    图  7  干燥空气和蒸馏水中疲劳裂纹扩展速率与应力强度因子范围的关系(Tokaji et al. 2009): (a) AZ31镁合金; (b) AZ61镁合金

    图  8  疲劳裂纹扩展速率与有效应力强度因子范围的关系(Uematsu et al. 2014): (a)未热处理态AZ61镁合金和(b)AZ61-T5镁合金

    图  9  ZEK100镁合金在模拟生理环境中预腐蚀后的疲劳行为(Zhao et al. 2015): (a) 浸泡在模拟生理环境中的镁合金腐蚀速率; (b) 镁合金屈服强度、抗拉强度和弹性模量随预腐蚀时间的演化; (c) 镁合金预腐蚀不同时间后的疲劳S-N曲线

    图  10  镁合金在模拟体液中的腐蚀疲劳行为(Nachtsheim et al. 2024): (a) WE43镁合金的预腐蚀疲劳和腐蚀疲劳S-N曲线; (b) 预腐蚀后WE43镁合金在空气中疲劳测试时平均应变vs.归一化的循环周次; (c) 未腐蚀和预腐蚀的不同镁合金体系在空气中的疲劳寿命比较; (d) 不同镁合金体系在不同腐蚀环境中经2 h的循环加载后疲劳强度降低比例

    图  11  预腐蚀AZ31镁合金棘轮行为(Yuan et al. 2016): (a) 预腐蚀镁合金单轴棘轮试验的应力−应变曲线(σm = 50 MPa, σa = 80 MPa); (b) 镁合金预腐蚀不同时间后的棘轮应变演化曲线(σm = 40 MPa, σa = 80 MPa)

    图  12  AZ31镁合金PBS溶液中的棘轮−疲劳交互作用(Chen et al. 2015): (a) 应变/应力控制的腐蚀疲劳测试装置示意图; (b) 镁合金在不同应力幅值下的腐蚀速率; (c) 镁合金在60 ± 180 MPa时的典型应力−应变滞回曲线; (d) 镁合金在σm = 60 MPa时不同应力幅值时的棘轮应变曲线

    图  13  AZ31B镁合金在Hank平衡盐溶液中腐蚀行为(Han et al. 2022): (a, b) 在20 MPa的循环载荷作用下, HBSS溶液pH值随时间的变化; (c, d) 在不同加载频率下的腐蚀行为

    图  14  加载频率对AZ61镁合金3.5% NaCl溶液中疲劳裂纹扩展行为的影响(Rozali et al. 2011): (a) 低湿度环境和NaCl溶液中da/dN与ΔK的关联关系; (b) 低湿度环境和NaCl溶液中da/dN与ΔKeff的关联关系

    图  15  AZ31镁合金在0.05 M NaCl溶液浸泡不同时间后的SVET二维电流分布图(Jayaraj et al. 2024): (a) 1 h; (b) 6 h; (c) 12 h

    图  16  基于电化学测试的镁合金腐蚀疲劳原位表征系统及结果(Klein et al. 2017): (a) 腐蚀疲劳原位测试装置照片; (b) 试样在电化学装置中的示意图; (c) 镁合金在0.1 mol·L−1的NaCl溶液中疲劳加载试验时应力幅值σa作为控制变量、塑性应变幅值εa,p和开路电位随循环加载周期N的变化规律; (d) 镁合金在0, 0.01, 0.001 mol·L−1的NaCl溶液中开路电位随循环周次的变化规律

    图  17  铸造(a)和热挤压(b, c)镁合金的SKPFM分析结果(Xie et al. 2025): (a-1)-(c-1) 形貌照片; (a-2)-(c-2) 表面电势二维分布图; (a-3)-(c-3) 电势线分布图

    图  18  基于声发射技术的镁合金腐蚀疲劳原位表征系统及结果(He et al. 2023): (a, b) 基于声发射技术的腐蚀疲劳损伤原位监测系统; (c) AZ31镁合金焊接接头在3.5wt.% NaCl溶液中的疲劳加载时的声发射累积能量演化

    图  19  腐蚀疲劳裂纹随循环周次的三维俯视图(Stannard et al. 2018), 其中浅蓝色为裂纹, 深蓝色为气泡, 红色为含铁夹杂物, 黑色为含镁夹杂物

    图  20  7系铝合金腐蚀疲劳加载过程中蚀坑及裂纹三维形貌演化规律(Ao et al. )

    图  21  Mg-Gd-Y-Nd-Zr系铸造镁合金T4处理前后的应力腐蚀裂纹萌生过程(Wang et al. 2018): (a, b) 第一阶段镁合金优先在第二相附近腐蚀; (c, d) 第二阶段氢吸附在局部腐蚀区域, 然后扩散到镁基体中, 并在第二相或则和低表面能晶面处累积; (e, f) 第三阶段镁合金在应力作用下的脆性开裂

    图  22  单个蚀坑的腐蚀示意图(Ding et al. 2024): (a) 表面晶粒的非基面平行于腐蚀表面; (b)表面晶粒的基面平行于腐蚀表面

    图  23  镁合金腐蚀疲劳裂纹尖端滑移溶解机理示意图(Behvar & Haghshenas 2023)

    图  24  镁合金腐蚀疲劳氢脆机理示意图(Behvar & Haghshenas 2023)

    图  25  镁合金腐蚀第一性原理预测模型及模拟结果(黄昱昊 2023): (a) 阴极和阳极溶解时腐蚀电流密度和腐蚀点位演化曲线; (b) 腐蚀电位和腐蚀电流公式; (c) 腐蚀电位模拟结果与实验结果对比; (d) 腐蚀电流密度模拟结果与实验结果对比

    图  26  近场动力学腐蚀模型中定义的区域和键示意图(Chen et al. 2021)

    图  27  相场模拟中多晶材料在腐蚀环境中和固体(电极ϕ = 1)—液体(电解液 ϕ = 0)扩散界面的描述(Makuch et al. 2024)

    图  28  AZ31镁合金在生理环境中浸泡不同天数后力学性能退化和疲劳失效行为(Fu et al. 2014): (a) 弹性模量和抗拉强度随浸泡天数的变化规律; (b) 光滑试样和不同浸泡时间的预腐蚀试样棘轮试验的 S-N 曲线; (c) 基于Miner线性损伤理论的损伤D0随浸泡时间的演化规律和幂律拟合曲线; (d) 预测寿命和实验寿命的比较

    图  29  镁合金AZ31B的低周腐蚀疲劳寿命预测(陈刚 等 2016): (a) 腐蚀溶液中的寿命与FP*模拟曲线; (b) 腐蚀溶液中FP*模型的预测和实验结果对比

    图  30  基于总应变能模型的AZ31B镁合金腐蚀疲劳寿命预测(Chen et al. 2015): (a) Ellyin模型的应变能密度; (b) 基于Ellyin模型的预测寿命与试验寿命的关系; (c) 修正的Ellyin模型的应变能密度; (d) 基于修正的Ellyin模型的预测寿命与试验寿命的关系

    图  31  金属材料腐蚀疲劳蚀坑及裂纹生长过程示意图(徐会会 等 2023)

    图  32  AZ31合金在腐蚀疲劳过程蚀坑深度演化规律(Nan et al. 2008): (a) 腐蚀坑深度随腐蚀疲劳时间演化 (通过测量同一腐蚀坑的深度获得坑数据); (b) 腐蚀坑深度与应力幅值的关联关系

    表  1  力—电—化耦合相场腐蚀模型控制方程(Cui et al. 2023)

    相场模型
    $\dfrac{\partial \phi}{\partial t}=L(\varepsilon ^{\mathrm{p}},\sigma _{\mathrm{h}},\eta )\left( \alpha \nabla ^2\phi -\dfrac{\partial \psi ^{\mathrm{E}}}{\partial \phi} \right) $
    固相离子输运方程
    $\dfrac{\partial c_{\mathrm{M}}}{\partial t}-\nabla \cdot D_{\mathrm{M}}\nabla \left[ c_M-h(\phi )(c_{\mathrm{Se}}-c_{\mathrm{Le}})-c_{\mathrm{Le}} \right] -\nabla \cdot \left\{ \dfrac{[1-h(\phi )]D_{\mathrm{M}}c_{\mathrm{M}}}{R_{\mathrm{g}}T}Fn_{\mathrm{M}}\nabla \varphi _{\mathrm{l}} \right\} =\dfrac{R_{\mathrm{M}}}{c_{\mathrm{solid}}}$
    离子输运方程
    $\dfrac{\partial c_i}{\partial t}-\nabla \cdot \bigl\{ [1-h(\phi )]D_i\nabla c_i \bigr\} -\nabla \cdot \left\{ \dfrac{[1-h(\phi )]D_ic_i}{R_{\mathrm{g}}T}Fn_i\nabla \varphi _{\mathrm{l}} \right\} =R_i$
    静电式分布方程
    $\nabla \cdot (\kappa \nabla \varphi _{\mathrm{l}})=n_MFc_{\mathrm{solid}}\dfrac{\partial \phi}{\partial t}$
    力平衡方程
    $\nabla \cdot [h(\phi )\sigma _0]=\mathbf{0}$
    其中
    $\dfrac{\partial \psi ^{\mathrm{E}}}{\partial \phi}=-2A\bigl[ c_{\mathrm{M}}-h(\phi )(c_{\mathrm{Se}}-c_{\mathrm{Le}})-c_{\mathrm{Le}} \bigr] (c_{\mathrm{Se}}-c_{\mathrm{Le}})h\prime (\phi ) + wg\prime (\phi )$
    $L\left(\varepsilon^{\mathrm{p}},\sigma_{\mathrm{h}},\eta\right) = \begin{cases}k_{\mathrm{m}}\left(\varepsilon^{\mathrm{p}},\sigma_{\mathrm{h}}\right)L_{0}\exp\left(\dfrac{a_{\mathrm{a}}n_{\mathrm{M}}F\eta}{R_{\mathrm{g}}T}\right), & \text{if } 0 \lt t_{i} \leq t_{0} \\k_{\mathrm{m}}\left(\varepsilon^{\mathrm{p}},\sigma_{\mathrm{h}}\right)L_{0}\exp\left(\dfrac{a_{\mathrm{a}}n_{\mathrm{M}}F\eta}{R_{\mathrm{g}}T}\right)\exp\left[-k\left(t_{i}-t_{0}\right)\right], & \text{if } t_{0} \lt t_{i} \leq t_{0}+t_{f}\end{cases}$
    $\kappa =h(\phi )\kappa _{\mathrm{s}} + [1-h(\phi )]\dfrac{F^2}{R_{\mathrm{g}}T}\left( c_{\mathrm{M}}c_{\mathrm{solid}}D_{\mathrm{M}}n_{\mathrm{M}}^{2} + \displaystyle\sum_i{c_iD_in_{i}^{2}} \right) $
    $\sigma _0=\boldsymbol{C}^{\mathrm{ep}}:(\varepsilon ^{\mathrm{e}} + \varepsilon ^{\mathrm{p}})$
    下载: 导出CSV
  • [1] 陈刚, 鲁灵涛, 崔云, 等. 2016. AZ31B在腐蚀环境下的棘轮与低周疲劳性能研究. 天津大学学报(自然科学与工程技术版), 49: 790-796 (Chen G, Lu L, Cui Y, et al. 2016. Ratcheting and low-cycle fatigue behavior of AZ31B in corrosive environment. Journal of Tianjin University (Science and Technology), 49: 790-796). doi: 10.11784/tdxbz201503029

    Chen G, Lu L, Cui Y, et al. 2016. Ratcheting and low-cycle fatigue behavior of AZ31B in corrosive environment. Journal of Tianjin University (Science and Technology), 49: 790-796. doi: 10.11784/tdxbz201503029
    [2] 邓斌斌, Mg-11Li-xZn合金应力腐蚀开裂及氢脆研究, 硕士论文, 广东工业大学, 2024 (Deng B, Study on stress corrosion cracking and hydrogen embrittlement of Mg-11Li-xZn alloys M. S. Thesis, Guangdong University of Technology, 2024).

    Deng B, Study on stress corrosion cracking and hydrogen embrittlement of Mg-11Li-xZn alloys M. S. Thesis, Guangdong University of Technology, 2024.
    [3] 黄昱昊, 镁合金腐蚀电位/电流第一性原理计算预测及应用, 硕士论文, 南昌大学, 2023 (Huang Y, First-principles calculation prediction and application of corrosion potential/current for magnesium alloys M. S. Thesis, Nanchang University, 2023).

    Huang Y, First-principles calculation prediction and application of corrosion potential/current for magnesium alloys M. S. Thesis, Nanchang University, 2023.
    [4] 龙飞, 程维姝, 陈刚, 等. 2017. 不同循环加载条件下镁合金AZ21腐蚀疲劳行为. 哈尔滨工程大学学报, 38: 1635-1641 (Long F, Cheng W, Chen G, et al. 2017. Corrosion fatigue behavior of magnesium alloy AZ21 under different cyclic loading conditions. Journal of Harbin Engineering University, 38: 1635-1641).

    Long F, Cheng W, Chen G, et al. 2017. Corrosion fatigue behavior of magnesium alloy AZ21 under different cyclic loading conditions. Journal of Harbin Engineering University, 38: 1635-1641.
    [5] 宋雨来, 李伟光, 张林阳, 等. 2024. Gd对挤压镁合金AZ91组织和氢脆的影响. 吉林大学学报(工学版), 54: 2792-2798 (Song Y, Li W, Zhang L, et al. 2024. Effect of Gd on microstructure and hydrogen embrittlement of extruded AZ91 magnesium alloy. Journal of Jilin University (Engineering and Technology Edition), 54: 2792-2798). doi: 10.13229/j.cnki.jdxbgxb.20221562

    Song Y, Li W, Zhang L, et al. 2024. Effect of Gd on microstructure and hydrogen embrittlement of extruded AZ91 magnesium alloy. Journal of Jilin University (Engineering and Technology Edition), 54: 2792-2798. doi: 10.13229/j.cnki.jdxbgxb.20221562
    [6] 宋博, 陈旭. 2018. 扫描Kelvin探针力显微镜: 工作原理及在材料腐蚀研究中的应用. 材料导报, 32: 1151-1157 (Song B, Chen X. 2018. Scanning Kelvin probe force microscopy: working principle and application in material corrosion research. Materials Reports, 32: 1151-1157). doi: 10.11896/j.issn1005-023X201807016

    Song B, Chen X. 2018. Scanning Kelvin probe force microscopy: working principle and application in material corrosion research. Materials Reports, 32: 1151-1157. doi: 10.11896/j.issn1005-023X201807016
    [7] 徐会会, 奥妮, 吴圣川, 等. 2023. 金属结构材料腐蚀疲劳寿命预测模型的研究进展. 固体力学学报, 44: 1-33 (Xu H, Ao N, Wu S, et al. 2023. Research progress on corrosion fatigue life prediction models for metallic structural materials. Chinese Journal of Solid Mechanics, 44: 1-33). doi: 10.19636/j.cnki.cjsm42-1250/o3.2022.038

    Xu H, Ao N, Wu S, et al. 2023. Research progress on corrosion fatigue life prediction models for metallic structural materials. Chinese Journal of Solid Mechanics, 44: 1-33. doi: 10.19636/j.cnki.cjsm42-1250/o3.2022.038
    [8] 曾荣昌, 韩恩厚, 柯伟, 等. 2004. 变形镁合金 AZ80 的腐蚀疲劳机理. 材料研究学报, 18(6): 561-567 (Zeng R C, Han E H, Ke W, et al. 2004. Corrosion fatigue mechanism of deformed AZ80 magnesium alloy. Chinese Journal of Materials Research, 18(6): 561-567). doi: 10.3321/j.issn:1005-3093.2004.06.001

    Zeng R C, Han E H, Ke W, et al. 2004. Corrosion fatigue mechanism of deformed AZ80 magnesium alloy. Chinese Journal of Materials Research, 18(6): 561-567. doi: 10.3321/j.issn:1005-3093.2004.06.001
    [9] 张勇, 白朴存, 崔晓明, 等. 2019. 含Ca镁合金表面微观腐蚀第一性原理研究. 中国有色金属学报, 29: 361-369 (Zhang Y, Bai P, Cui X, et al. 2019. First-principles study on surface micro-corrosion of Ca-containing magnesium alloys. The Chinese Journal of Nonferrous Metals, 29: 361-369).

    Zhang Y, Bai P, Cui X, et al. 2019. First-principles study on surface micro-corrosion of Ca-containing magnesium alloys. The Chinese Journal of Nonferrous Metals, 29: 361-369.
    [10] Ao N, Zhang H, Xu H, et al. 2023. Corrosion fatigue crack growth behavior of a structurally gradient steel for high-speed railway axles. Engineering Fracture Mechanics, 281: 109166. doi: 10.1016/j.engfracmech.2023.109166
    [11] Ao N, Tang S, Zhang Z, et al. 2026. Corrosion fatigue crack initiation behavior in aluminum alloy: In situ synchrotron tomography and peridynamic modeling. International Journal of Mechanical Sciences, 318: 111579.
    [12] Aljabr R Y, Bose P. S. C. 2025. Mechanical Properties and Biocorrosion Behavior of Mg-Ca Alloys Fabricated by Powder Metallurgy. Journal of Materials Engineering and Performance, 34: 28023-28035. doi: 10.1007/s11665-025-11359-3
    [13] Atrens A, Winzer N, Song G, et al. 2006. Stress Corrosion Cracking and Hydrogen Diffusion in Magnesium. Advanced Engineering Materials, 8: 749-751. doi: 10.1002/adem.200600050
    [14] Ahmadkhaniha D, Fedel M, Heydarzadeh Sohi M, et al. 2017. Corrosion behavior of severely plastic deformed magnesium based alloys: A review. Surface Engineering and Applied Electrochemistry, 53: 439-448. doi: 10.3103/S1068375517050039
    [15] Bahmanabadi H, Shamsarjmand M. 2024. Modeling of fatigue behavior in pre-corroded AZ31 magnesium alloy. Forces in Mechanics, 14: 100254. doi: 10.1016/j.finmec.2023.100254
    [16] Bale H A, Haboub A, MacDowell A A, et al. 2013. Real-time quantitative imaging of failure events in materials under load at temperatures above 1,600 ℃. Nature Materials, 12: 40-46.
    [17] Behvar A, Haghshenas M. 2023. A critical review on very high cycle corrosion fatigue: Mechanisms. methods, materials, and models. Journal of Space Safety Engineering, 10: 284-323.
    [18] Bhuiyan M S, Mutoh Y, Murai T, et al. 2008. Corrosion fatigue behavior of extruded magnesium alloy AZ61 under three different corrosive environments. International Journal of Fatigue, 30: 1756-1765. doi: 10.1016/j.ijfatigue.2008.02.012
    [19] Bhuiyan M S, Mutoh Y, Murai T, et al. 2010. Corrosion fatigue behavior of extruded magnesium alloy AZ80-T5 in a 5% NaCl environment. Engineering Fracture Mechanics, 77: 1567-1576. doi: 10.1016/j.engfracmech.2010.03.032
    [20] Broberg H. 1974. A New Criterion for Brittle Creep Rupture. Journal of Applied Mechanics, 41: 809-811. doi: 10.1115/1.3423398
    [21] Bian D, Zhou W R, Liu Y, et al. 2016. Fatigue behaviors of HP-Mg. Mg−Ca and Mg−Zn−Ca biodegradable metals in air and simulated body fluid, Acta biomaterialia, 41: 351-360.
    [22] Chamos A N, Pantelakis S G, Spiliadis V. 2010. Fatigue behaviour of bare and pre-corroded magnesium alloy AZ31. Materials & Design, 31: 4130-4137. doi: 10.1016/j.matdes.2010.04.031
    [23] Chen G, Lu L, Cui Y, et al. 2015. Ratcheting and low-cycle fatigue characterizations of extruded AZ31B Mg alloy with and without corrosive environment. International Journal of Fatigue, 80: 364-371. doi: 10.1016/j.ijfatigue.2015.06.022
    [24] Chen G, Fu Y, Cui Y, et al. 2019. Effect of surface mechanical attrition treatment on corrosion fatigue behavior of AZ31B magnesium alloy. International Journal of Fatigue, 127: 461-469. doi: 10.1016/j.ijfatigue.2019.06.031
    [25] Chen J, Wang J, Han E, et al. 2008. States and transport of hydrogen in the corrosion process of an AZ91 magnesium alloy in aqueous solution. Corrosion Science, 50: 1292-1305. doi: 10.1016/j.corsci.2008.01.028
    [26] Chen J, Wang J Q, Han E H, et al. 2016. Effect of Hydrogen on Corrosion and Stress Corrosion Cracking of AZ91 Alloy in Aqueous Solutions. Acta Metallurgica Sinica (English Letters), 29: 1-7. doi: 10.1007/s40195-015-0358-x
    [27] Chen Z, Jafarzadeh S, Zhao J, et al. 2021. A coupled mechano-chemical peridynamic model for pit-to-crack transition in stress-corrosion cracking. Journal of the Mechanics and Physics of Solids, 146: 104203. doi: 10.1016/j.jmps.2020.104203
    [28] Chuan Z, Yanhui C, Weixing Y. 2014. The use of fractal dimensions in the prediction of residual fatigue life of pre-corroded aluminum alloy specimens. International Journal of Fatigue, 59: 282-291. doi: 10.1016/j.ijfatigue.2013.08.008
    [29] Cui C, Ma R, Martínez-Pañeda E. 2021. A phase field formulation for dissolution-driven stress corrosion cracking. Journal of the Mechanics and Physics of Solids, 147: 104254. doi: 10.1016/j.jmps.2020.104254
    [30] Cui C, Ma R, Martínez-Pañeda E. 2022. A generalised. multi-phase-field theory for dissolution-driven stress corrosion cracking and hydrogen embrittlement, Journal of the Mechanics and Physics of Solids, 166: 104951.
    [31] Cui C, Ma R, Martínez-Pañeda E. 2023. Electro-chemo-mechanical phase field modeling of localized corrosion: theory and COMSOL implementation. Engineering with Computers, 39: 3877-3894. doi: 10.1007/s00366-023-01833-8
    [32] Cao F, Song G. -L. , Atrens A. 2016. Corrosion and passivation of magnesium alloys. Corrosion Science, 111: 835-845.
    [33] Ci W, Deng L, Chen X, et al. 2023. Effect of minor Ca addition on microstructure and corrosion behavior of Mg-Y-Ca alloys. Journal of Materials Research and Technology, 26: 7502-7515. doi: 10.1016/j.jmrt.2023.09.112
    [34] de Oliveira M C L, da Silva R M P, Souto R M, et al. 2024. A review on the synergism between corrosion and fatigue of magnesium alloys: Mechanisms and processes on the micro-scale. Journal of Magnesium and Alloys, 12: 3062-3093. doi: 10.1016/j.jma.2024.07.030
    [35] Delavar H, Mostahsan A J, Ibrahim H. 2023. Corrosion and corrosion-fatigue behavior of magnesium metal matrix composites for bio-implant applications: A review. Journal of Magnesium and Alloys, 11: 1125-1161. doi: 10.1016/j.jma.2023.04.010
    [36] Du H, Wei Z, Liu X, et al. 2011. Effects of Zn on the microstructure. mechanical property and bio-corrosion property of Mg-3Ca alloys for biomedical application, Materials Chemistry and Physics, 125: 568-575.
    [37] Deshpande K. B. 2011. Numerical modeling of micro-galvanic corrosion. Electrochimica Acta, 56: 1737-1745. doi: 10.1016/j.electacta.2010.09.044
    [38] Diab M, Pang X, Jahed H. 2017. The effect of pure aluminum cold spray coating on corrosion and corrosion fatigue of magnesium (3% Al-1% Zn) extrusion. Surface and Coatings Technology, 309: 423-435. doi: 10.1016/j.surfcoat.2016.11.014
    [39] Deng Q, Liu Z, Wu Q, et al. 2025. Corrosion behavior of Mg-11Gd-2Zn-0. 4 Zr alloy before and after heat treatment: Additive manufacturing versus casting. Corrosion Science, 252: 112947.
    [40] Ding R, Sun K, Hu J, et al. 2024. Effects of orientation on fatigue behaviors of ZK60 magnesium alloy pre-corroded in PBS. Journal of Materials Research and Technology, 28: 4815-4829. doi: 10.1016/j.jmrt.2024.01.088
    [41] Du Y, Wang S, Zhang Y, et al. 2025. A review of corrosion and environmentally assisted cracking of Mg-Li alloys. Journal of Magnesium and Alloys, 13: 4130-4166. doi: 10.1016/j.jma.2025.07.023
    [42] Fairman L, Bray H J. 1971. Intergranular Stress-Corrosion Crack Propagation in Magnesium Aluminium Alloys. British Corrosion Journal, 6: 170-174. doi: 10.1179/000705971798323829
    [43] Fu S, Gao H, Chen G, et al. 2014. Deterioration of mechanical properties for pre-corroded AZ31 sheet in simulated physiological environment. Materials Science and Engineering: A, 593: 153-162. doi: 10.1016/j.msea.2013.11.012
    [44] Gartzke A K, Julmi S, Klose C, et al. 2020. A simulation model for the degradation of magnesium-based bone implants. Journal of the Mechanical Behavior of Biomedical Materials, 101: 103411. doi: 10.1016/j.jmbbm.2019.103411
    [45] Gastaldi D, Sassi V, Petrini L, et al. 2011. Continuum damage model for bioresorbable magnesium alloy devices — Application to coronary stents. Journal of the Mechanical Behavior of Biomedical Materials, 4: 352-365. doi: 10.1016/j.jmbbm.2010.11.003
    [46] Goswami T K, Hoeppner D W, Pitting Corrosion Fatigue of Structural Materials, 1995.
    [47] Grogan J A, Leen S B, McHugh P E. 2014. A physical corrosion model for bioabsorbable metal stents. Acta Biomaterialia, 10: 2313-2322. doi: 10.1016/j.actbio.2013.12.059
    [48] Guo Y, Sun M, Zhang W, et al. 2023. Machine Learning in Enhancing Corrosion Resistance of Magnesium Alloys: A Comprehensive Review. Metals, 13(10): 1790. doi: 10.3390/met13101790
    [49] Gupta M, Magnesium, IntechOpen, London, 2020.
    [50] Hamu G B, Eliezer D, Wagner L. 2009. The relation between severe plastic deformation microstructure and corrosion behavior of AZ31 magnesium alloy. Journal of Alloys and Compounds, 468: 222-229. doi: 10.1016/j.jallcom.2008.01.084
    [51] Han L, Zhang Z, Dai J, et al. 2022. The influence of alternating cyclic dynamic loads with different low frequencies on the bio-corrosion behaviors of AZ31B magnesium alloy in vitro. Bioactive Materials, 7: 263-274. doi: 10.1016/j.bioactmat.2021.05.049
    [52] Hara N, Kobayashi Y, Kagaya D, et al. 2007. Formation and breakdown of surface films on magnesium and its alloys in aqueous solutions. Corrosion Science, 49: 166-175. doi: 10.1016/j.corsci.2006.05.033
    [53] Harandi S E, Raman R K S. 2017. Corrosion fatigue of a magnesium alloy under appropriate human physiological conditions for bio-implant applications. Engineering Fracture Mechanics, 186: 134-142. doi: 10.1016/j.engfracmech.2017.09.031
    [54] He X, Wei Y, Hou L, et al. 2014. High-frequency corrosion fatigue behavior of AZ31 magnesium alloy in different environments. Proceedings of the Institution of Mechanical Engineers, Part C. Journal of Mechanical Engineering Science, 228: 1645-1657.
    [55] He X, Yan Z, Liang H, et al. 2023. Corrosion fatigue acoustic emission characteristics and evaluation of friction stir welding joints of AZ31 magnesium alloy in 3.5wt.% NaCl solution. Journal of Materials Research and Technology, 25: 4582-4594.
    [56] Hermann A, Shojaei A, Höche D, et al. 2024. Nonlocal Nernst-Planck-Poisson System for Modeling Electrochemical Corrosion in Biodegradable Magnesium Implants. Journal of Peridynamics and Nonlocal Modeling, 7: 1. doi: 10.1007/s42102-024-00125-z
    [57] Horner D A, Connolly B J, Zhou S, et al. 2011. Novel images of the evolution of stress corrosion cracks from corrosion pits. Corrosion Science, 53: 3466-3485. doi: 10.1016/j.corsci.2011.05.050
    [58] Hou S, Xu J. 2017. A phenomenological life evaluation method for corrosion fatigue. Corrosion Reviews, 35: 75-83. doi: 10.1515/corrrev-2016-0063
    [59] Hu J, Li Q, Gao H. 2021. Influence of Twinning Texture on the Corrosion Fatigue Behavior of Extruded Magnesium Alloys. Acta Metallurgica Sinica (English Letters), 34: 65-76. doi: 10.1007/s40195-020-01124-x
    [60] Hu J, Liu Z, Ning Z, et al. 2024. Effects of orientation on the fatigue crack growth behaviors of the ZK60 magnesium alloy in air and PBS. Journal of Magnesium and Alloys, 12: 281-294. doi: 10.1016/j.jma.2022.03.012
    [61] Hu S, Bo G, Li W, et al. 2025. First-principles insights into the influence of Y content on the corrosion and stress corrosion cracking resistance of AZ91 magnesium alloy. Journal of Alloys and Compounds, 1032: 181115. doi: 10.1016/j.jallcom.2025.181115
    [62] Hu W, Huang W, Sun Y, et al. 2023. Influence of load frequency and corrosive environments on fatigue behavior of as-extruded Mg−Zn−Zr−Nd alloy. Journal of Materials Research and Technology, 22: 2627-2640. doi: 10.1016/j.jmrt.2022.12.114
    [63] Huang L Y, Wang K S, Wang W, et al. 2018. Effects of grain size and texture on stress corrosion cracking of friction stir processed AZ80 magnesium alloy. Engineering Failure Analysis, 92: 392-404. doi: 10.1016/j.engfailanal.2018.06.012
    [64] Huang Y, Zhang X, Wang J, et al. 2024. First-principles modeling of corrosion potential/current and its application in AZ and AZ-RE magnesium alloys. Materials Today Communications, 39: 108771. doi: 10.1016/j.mtcomm.2024.108771
    [65] Jafari S, Harandi S E, Raman R K S. 2015. A Review of Stress-Corrosion Cracking and Corrosion Fatigue of Magnesium Alloys for Biodegradable Implant Applications. JOM, 67: 1143-1153. doi: 10.1007/s11837-015-1366-z
    [66] Jafari S, Raman R K S, Davies C H J. 2015. Corrosion fatigue of a magnesium alloy in modified simulated body fluid. Engineering Fracture Mechanics, 137: 2-11. doi: 10.1016/j.engfracmech.2014.07.007
    [67] Jafari S, Raman R K S, Davies C H J, et al. 2017. Stress corrosion cracking and corrosion fatigue characterisation of MgZn1Ca0.3 (ZX10) in a simulated physiological environment. Journal of the Mechanical Behavior of Biomedical Materials, 65: 634-643.
    [68] Jayaraj J, Kumar S A, Srinivasan A, et al. 2024. Corrosion and in vitro characteristics of cerium phosphate based chemical conversion coating on AZ31 magnesium alloy. Applied Surface Science, 644: 158797. doi: 10.1016/j.apsusc.2023.158797
    [69] Jiang P, Blawert C, Bohlen J, et al. 2020. Corrosion performance, corrosion fatigue behavior and mechanical integrity of an extruded Mg4Zn0.2Sn alloy. Journal of Materials Science & Technology, 59: 107-116.
    [70] Jiang X, Chen X, Li Q, et al. 2024. Application and research progress of first principles calculation in magnesium alloys. Materials Today Communications, 41: 110317. doi: 10.1016/j.mtcomm.2024.110317
    [71] Kakiuchi T, Uematsu Y, Hatano Y, et al. 2015. Effect of hydrogen on fatigue crack propagation behavior of wrought magnesium alloy AZ61 in NaCl solution under controlled cathodic potentials. Engineering Fracture Mechanics, 137: 88-96. doi: 10.1016/j.engfracmech.2015.03.032
    [72] Kamilyan M, Silverstein R, Eliezer D. 2017. Hydrogen trapping and hydrogen embrittlement of Mg alloys. Journal of Materials Science, 52: 11091-11100. doi: 10.1007/s10853-017-1268-2
    [73] Kannan M B, Dietzel W, Blawert C, et al. 2008. Stress corrosion cracking of rare-earth containing magnesium alloys ZE41. QE22 and Elektron 21 (EV31A) compared with AZ80. Materials Science and Engineering: A, 480: 529-539.
    [74] Kannan M B, Dietzel W. 2012. Pitting-induced hydrogen embrittlement of magnesium−aluminium alloy. Materials & Design, 42: 321-326. doi: 10.1016/j.matdes.2012.06.007
    [75] Knapek M, Minarik P, Capek J, et al. 2018. Corrosion of pure magnesium and a WE43 magnesium alloy studied by advanced acoustic emission analysis. Corrosion Science, 145: 10-15. doi: 10.1016/j.corsci.2018.09.006
    [76] Khan S A, Miyashita Y, Mutoh Y, et al. 2006. Influence of Mn content on mechanical properties and fatigue behavior of extruded Mg alloys. Materials Science and Engineering: A, 420: 315-321. doi: 10.1016/j.msea.2006.01.091
    [77] Khan S A, Bhuiyan M S, Miyashita Y, et al. 2011. Corrosion fatigue behavior of die-cast and shot-blasted AM60 magnesium alloy. Materials Science and Engineering: A, 528: 1961-1966. doi: 10.1016/j.msea.2010.11.033
    [78] Khan S A, Bhuiyan M S, Miyashita Y, et al. 2011. Corrosion fatigue behavior of die-cast and shot-blasted AM60 magnesium alloy. Materials Science and Engineering: A, 528: 1961-1966. doi: 10.1016/j.msea.2010.11.033
    [79] Kjellgren P, Hyvärinen J. 1998. An Arbitrary Lagrangian-Eulerian finite element method. Computational Mechanics, 21: 81-90.
    [80] Klein M, Frieling G, Walther F. 2017. Corrosion fatigue assessment of creep-resistant magnesium alloys DieMag422 and AE42. Engineering Fracture Mechanics, 185: 33-45. doi: 10.1016/j.engfracmech.2017.02.024
    [81] Kovacevic S, Ali W, Mandal T K, et al. 2025. Impact of pH and chloride content on the biodegradation of magnesium alloys for medical implants: An in vitro and phase-field study. Acta Biomaterialia, 198: 546-565. doi: 10.1016/j.actbio.2025.03.034
    [82] Kovacevic S, Ali W, Martínez-Pañeda E, et al. 2023. Phase-field modeling of pitting and mechanically-assisted corrosion of Mg alloys for biomedical applications. Acta Biomaterialia, 164: 641-658. doi: 10.1016/j.actbio.2023.04.011
    [83] Lei Y, Wang Z, Yu C, et al. 2025. Multi-mechanism damage-coupled constitutive model for ratchetting-fatigue interaction of extruded AZ31 magnesium alloy. Mechanics of Materials, 203: 105277. doi: 10.1016/j.mechmat.2025.105277
    [84] Li J, Lai T, Chen Y, et al. 2024. Effect of the sodium silicate inhibitor on the corrosion protection of AZ31 magnesium alloy. Materials, 17: 5533. doi: 10.3390/ma17225533
    [85] Lugo M, Jordon J B, Solanki K N, et al. 2013. Role of different material processing methods on the fatigue behavior of an AZ31 magnesium alloy. International Journal of Fatigue, 52: 131-143. doi: 10.1016/j.ijfatigue.2013.02.017
    [86] Li S, Chen Z, Tan L, et al. 2018. Corrosion-induced embrittlement in ZK60A Mg alloy. Materials Science and Engineering: A, 713: 7-17. doi: 10.1016/j.msea.2017.12.053
    [87] Li S X, Akid R. 2013. Corrosion fatigue life prediction of a steel shaft material in seawater. Engineering Failure Analysis, 34: 324-334. doi: 10.1016/j.engfailanal.2013.08.004
    [88] Liang S, Guan D, Tan X, et al. 2011. Effect of isothermal aging on the microstructure and properties of as-cast Mg-Gd-Y-Zr alloy. Materials Science and Engineering: A, 528: 1589-1595. doi: 10.1016/j.msea.2010.10.082
    [89] Li Z, Li D, Zhou W, et al. 2022. Characterization on the formation of porosity and tensile properties prediction in die casting Mg alloys. Journal of Magnesium and Alloys, 10: 1857-1867. doi: 10.1016/j.jma.2020.12.006
    [90] Li Z, Luo A A, Wang Q, et al. 2017. Fatigue characteristics of sand-cast AZ91D magnesium alloy. Journal of Magnesium and Alloys, 5: 1-12.
    [91] Li Z, Li D, Zhou W, et al. 2022. Characterization on the formation of porosity and tensile properties prediction in die casting Mg alloys. Journal of Magnesium and Alloys, 10: 1857-1867. doi: 10.1016/j.jma.2020.12.006
    [92] Li Z, Luo A A, Wang Q, et al. 2017. Fatigue characteristics of sand-cast AZ91D magnesium alloy. Journal of Magnesium and Alloys, 5: 32-38.
    [93] Liu Z, Sha J, Song G. -L. , et al. 2025. Understanding magnesium dissolution through machine learning molecular dynamics. Chemical Engineering Journal, 516: 163578.
    [94] Lin B, Zhang J, Sun Q, et al. 2021. Microstructure. corrosion behavior and hydrogen evolution of USSP processed AZ31 magnesium alloy with a surface layer containing amorphous Fe-rich composite. International Journal of Hydrogen Energy, 46: 10172-10182.
    [95] Linderov M, Brilevsky A, Merson D, et al. 2022. On the Corrosion Fatigue of Magnesium Alloys Aimed at Biomedical Applications: New Insights from the Influence of Testing Frequency and Surface Modification of the Alloy ZK60. Materials, 15(2): 567. doi: 10.3390/ma15020567
    [96] Liu D, Li Y, Xie X, et al. 2019. Effect of Pre-Corrosion Pits on Residual Fatigue Life for 42CrMo Steel. Materials, 12(13): 2130. doi: 10.3390/ma12132130
    [97] Liu J, Peng X, Li M, et al. 2016. Effect of Sr addition on microstructure and elevated temperature mechanical properties of Mg-3Zn-1Y alloy. Materials Science and Engineering: A, 655: 331-338. doi: 10.1016/j.msea.2015.11.093
    [98] Liu H, Chen Y, Zhao H, et al. 2010. Effects of strontium on microstructure and mechanical properties of as-cast Mg-5wt. %Sn alloy. Journal of Alloys and Compounds, 504: 345-350. doi: 10.1016/j.jallcom.2010.05.156
    [99] Liu L, Li L N, Liu X, et al. 2024. Atomistic modeling of hydrogen embrittlement at grain boundaries of Mg. Journal of Materials Research and Technology, 33: 9762-9773. doi: 10.1016/j.jmrt.2024.11.240
    [100] Liu M, Wang J, Zhu S, et al. 2020. Corrosion fatigue of the extruded Mg−Zn−Y−Nd alloy in simulated body fluid. Journal of Magnesium and Alloys, 8: 231-240. doi: 10.1016/j.jma.2019.09.009
    [101] Liu X, Jia R, Fu X, et al. 2023. Microgalvanic corrosion mechanism of the rare-earth phase in Mg binary alloys through first-principles calculation. Surface Science, 729: 122211. doi: 10.1016/j.susc.2022.122211
    [102] Liu Y, Kang G, Gao Q. 2010. A multiaxial stress-based fatigue failure model considering ratchetting−fatigue interaction. International Journal of Fatigue, 32: 678-684. doi: 10.1016/j.ijfatigue.2009.10.006
    [103] Makuch M, Kovacevic S, Wenman M R, et al. 2024. A microstructure-sensitive electro-chemo-mechanical phase-field model of pitting and stress corrosion cracking. Corrosion Science, 232: 112031. doi: 10.1016/j.corsci.2024.112031
    [104] Martin H J, Horstemeyer M F, Wang P T. 2010. Comparison of corrosion pitting under immersion and salt-spray environments on an as-cast AE44 magnesium alloy. Corrosion Science, 52: 3624-3638. doi: 10.1016/j.corsci.2010.07.009
    [105] Miyamoto H. 2016. Corrosion of ultrafine grained materials by severe plastic deformation: an overview. Materials Transactions, 57: 559-572. doi: 10.2320/matertrans.M2015452
    [106] Meng Y, Gao H, Hu J, et al. 2019. Effect of pH value on the corrosion and corrosion fatigue behavior of AM60 magnesium alloy. Journal of Materials Research, 34: 1054-1063. doi: 10.1557/jmr.2018.489
    [107] Nachtsheim J, Ma S, Burja J, et al. 2024. In vitro corrosion-fatigue behaviour of rare-earth containing magnesium WE43 in sterile complex cell culture medium. International Journal of Fatigue, 188: 108531. doi: 10.1016/j.ijfatigue.2024.108531
    [108] Nan Z Y, Ishihara S, Goshima T. 2008. Corrosion fatigue behavior of extruded magnesium alloy AZ31 in sodium chloride solution. International Journal of Fatigue, 30: 1181-1188. doi: 10.1016/j.ijfatigue.2007.09.005
    [109] Niverty S, Chawla N. 2021. 4D microstructural characterization of corrosion and corrosion-fatigue in a Ti−6Al−4V/AA 7075-T651 joint in saltwater environment. Materials Science and Engineering: A, 825: 141886. doi: 10.1016/j.msea.2021.141886
    [110] Olugbade T O, Omiyale B O, Ojo O T. 2022. Corrosion, corrosion fatigue, and protection of magnesium alloys: mechanisms, measurements, and mitigation. Journal of Materials Engineering and Performance, 31(3): 1707-1727. doi: 10.1007/s11665-021-06355-2
    [111] Osher S, Sethian J A. 1988. Fronts propagating with curvature-dependent speed: Algorithms based on Hamilton-Jacobi formulations. Journal of Computational Physics, 79: 12-49. doi: 10.1016/0021-9991(88)90002-2
    [112] Pardo A, Merino M C, Coy A E, et al. 2008. Corrosion behaviour of magnesium/aluminium alloys in 3. 5wt.% NaCl. Corrosion Science, 50: 823-834. doi: 10.1016/j.corsci.2007.11.005
    [113] Peng J, Zhang Z, Long C, et al. 2020. Effect of crystal orientation and 101¯2 twins on the corrosion behaviour of AZ31 magnesium alloy. Journal of Alloys and Compounds, 827: 154096.
    [114] Pereira G S, Cavalcante T R F, Cid M C, et al. 2022. Effect of saline environment on the fatigue crack growth resistance of WE43 Mg alloy. Materials Today Communications, 31: 103788. doi: 10.1016/j.mtcomm.2022.103788
    [115] Pereira G S, Koga G Y, Avila J A, et al. 2021. Corrosion resistance of WE43 Mg alloy in sodium chloride solution. Materials Chemistry and Physics, 272: 124930. doi: 10.1016/j.matchemphys.2021.124930
    [116] Pollock T. M. 2010. Weight Loss with Magnesium Alloys. Science, 328: 986-987. doi: 10.1126/science.1182848
    [117] Qi F, Zhang X, Wu G, et al. 2022. Effect of heat treatment on the stress corrosion cracking behavior of cast Mg-3Nd-3Gd-0.2Zn-0.5Zr alloy in a 3.5wt% NaCl salt spray environment. Materials Characterization, 183: 111630.
    [118] Qian W, Wu S, Lei L, et al. 2024. Time lapse in situ X-ray imaging of failure in structural materials under cyclic loads and extreme environments. Journal of Materials Science & Technology, 175: 80-103. doi: 10.1016/j.jmst.2023.07.041
    [119] Raman R K S, Jafari S, Harandi S E. 2015. Corrosion fatigue fracture of magnesium alloys in bioimplant applications: A review. Engineering Fracture Mechanics, 137: 97-108. doi: 10.1016/j.engfracmech.2014.08.009
    [120] Ren L, Fan L, Zhou M, et al. 2018. Magnesium application in railway rolling stocks: A new challenge and opportunity for lightweighting. International Journal of Lightweight Materials and Manufacture, 1: 81-88. doi: 10.1016/j.ijlmm.2018.05.002
    [121] Rozali S, Mutoh Y, Nagata K. 2011. Effect of frequency on fatigue crack growth behavior of magnesium alloy AZ61 under immersed 3. 5mass% NaCl environment. Materials Science and Engineering: A, 528: 2509-2516. doi: 10.1016/j.msea.2010.12.048
    [122] Ryan H, Mehmanparast A. 2023. Development of a new approach for corrosion-fatigue analysis of offshore steel structures. Mechanics of Materials, 176: 104526. doi: 10.1016/j.mechmat.2022.104526
    [123] Srinivasan A, Huang Y, Mendis C L, et al. 2014. Investigations on microstructures. mechanical and corrosion properties of Mg-Gd-Zn alloys, Materials Science and Engineering: A, 595: 224-234.
    [124] Sajuri Z B, Miyashita Y, Mutoh Y. 2005. Effects of humidity and temperature on the fatigue behaviour of an extruded AZ61 magnesium alloy. Fatigue & Fracture of Engineering Materials & Structures, 28: 373-379. doi: 10.1111/j.1460-2695.2005.00775.x
    [125] Sajuri Z B, Umehara T, Miyashita Y, et al. 2003. Fatigue-Life Prediction of Magnesium Alloys for Structural Applications. Advanced Engineering Materials, 5: 910-916. doi: 10.1002/adem.200300510
    [126] She J, Chen J, Xiong X M, et al. 2024. Research advances of magnesium and magnesium alloys globally in 2023. Journal of Magnesium and Alloys, 12(9): 3441-3475. doi: 10.1016/j.jma.2024.10.001
    [127] Shen Z, Zhao M, Zhou X, et al. 2019. A numerical corrosion-fatigue model for biodegradable Mg alloy stents. Acta Biomaterialia, 97: 671-680. doi: 10.1016/j.actbio.2019.08.004
    [128] Shi R, Zheng J, Li T, et al. 2022. Quantitative analysis of the deformation modes and cracking modes during low-cycle fatigue of a rolled AZ31B magnesium alloy: The influence of texture. Materials Science and Engineering: A, 844: 143103. doi: 10.1016/j.msea.2022.143103
    [129] Silling S A. 2000. Reformulation of elasticity theory for discontinuities and long-range forces. Journal of the Mechanics and Physics of Solids, 48: 175-209. doi: 10.1016/S0022-5096(99)00029-0
    [130] Sudharsan S, Raja Annamalai A. 2024. Microstructural, mechanical, and corrosion characteristics of Mg-Gd-x systems: A review of recent advancements. Nanotechnology Reviews, 13: 20240073. doi: 10.1515/ntrev-2024-0073
    [131] Stampella R S, Procter R P M, Ashworth V. 1984. Environmentally-induced cracking of magnesium. Corrosion Science, 24: 325-341. doi: 10.1016/0010-938X(84)90017-9
    [132] Stannard T J, Williams J J, Singh S S, et al. 2018. 3D time-resolved observations of corrosion and corrosion-fatigue crack initiation and growth in peak-aged Al 7075 using synchrotron X-ray tomography. Corrosion Science, 138: 340-352. doi: 10.1016/j.corsci.2018.04.029
    [133] Sun K, Gao H, Hu J, et al. 2021. Effect of pH on the corrosion and crack growth behavior of the ZK60 magnesium alloy. Corrosion Science, 179: 109135. doi: 10.1016/j.corsci.2020.109135
    [134] Sun M, Wu G, Wang W, et al. 2009. Effect of Zr on the microstructure. mechanical properties and corrosion resistance of Mg-10Gd-3Y magnesium alloy, Materials Science and Engineering: A, 523: 145-151.
    [135] Song J, Gao Y, Liu C, et al. 2022. The effect of Sr addition on the microstructure and corrosion behaviour of a Mg-Zn-Ca alloy. Surface and Coatings Technology, 437: 128328. doi: 10.1016/j.surfcoat.2022.128328
    [136] Sun W, Wang L, Wu T, et al. 2014. An arbitrary Lagrangian−Eulerian model for modelling the time-dependent evolution of crevice corrosion. Corrosion Science, 78: 233-243. doi: 10.1016/j.corsci.2013.10.003
    [137] Tang S, Xu H, Ao N, et al. 2024. Experimental investigation on corrosion fatigue crack initiation and growth of heat-treated U75V rail steel. International Journal of Fatigue, 178: 107973. doi: 10.1016/j.ijfatigue.2023.107973
    [138] Tokaji K, Nakajima M, Uematsu Y. 2009. Fatigue crack propagation and fracture mechanisms of wrought magnesium alloys in different environments. International Journal of Fatigue, 31: 1137-1143. doi: 10.1016/j.ijfatigue.2008.12.012
    [139] Uematsu Y, Kakiuchi T, Nakajima M, et al. 2014. Fatigue crack propagation of AZ61 magnesium alloy under controlled humidity and visualization of hydrogen diffusion along the crack wake. International Journal of Fatigue, 59: 234-243. doi: 10.1016/j.ijfatigue.2013.08.014
    [140] Unigovski Y, Eliezer A, Abramov E, et al. 2003. Corrosion fatigue of extruded magnesium alloys. Materials Science and Engineering: A, 360: 132-139. doi: 10.1016/S0921-5093(03)00409-X
    [141] Vaira Vignesh R, Padmanaban R, Modelling Corrosion Phenomenon of Magnesium Alloy AZ91 in Simulated Body Fluids, in: V. K. Singh D. Gao A. Fischer (Eds.), Advances in Mathematical Methods and High Performance Computing, Springer International Publishing, Cham, (2019) 471−486.
    [142] Wang B J, Xu D K, Wang S D, et al. 2019. Fatigue crack initiation of magnesium alloys under elastic stress amplitudes: A review. Frontiers of Mechanical Engineering, 14: 113-127. doi: 10.1007/s11465-018-0482-1
    [143] Wang B J, Xu D K, Wang S D, et al. 2019. Influence of solution treatment on the corrosion fatigue behavior of an as-forged Mg-Zn-Y-Zr alloy. International Journal of Fatigue, 120: 46-55. doi: 10.1016/j.ijfatigue.2018.10.019
    [144] Wang F, Fu B G, Wang Y F, et al. 2024. Effect of heat treatment on corrosion behaviors of Mg-6Gd-3Y-0. 5 Zr alloy. China Foundry, 21(5): 599-612. doi: 10.1007/s41230-024-4110-x
    [145] Wang L, Shinohara T, Zhang B. -P. 2010. Corrosion behavior of Mg. AZ31, and AZ91 alloys in dilute NaCl solutions. Journal of Solid State Electrochemistry, 14: 1897-1907.
    [146] Wang S D, Xu D K, Wang B J, et al. 2015. Effect of corrosion attack on the fatigue behavior of an as-cast Mg−7%Gd−5%Y−1%Nd−0.5%Zr alloy. Materials & Design, 84: 185-193.
    [147] Wang S D, Xu D K, Wang B J, et al. 2016. Effect of solution treatment on stress corrosion cracking behavior of an as-forged Mg-Zn-Y-Zr alloy. Scientific Reports, 6: 29471. doi: 10.1038/srep29471
    [148] Wang S D, Xu D K, Wang B J, et al. 2018. Influence of phase dissolution and hydrogen absorption on the stress corrosion cracking behavior of Mg-7%Gd-5%Y-1%Nd-0.5%Zr alloy in 3.5wt.% NaCl solution. Corrosion Science, 142: 185-200.
    [149] Wang W, Wu H, Sun Y, et al. 2020. Local intragranular misorientation accelerates corrosion in biodegradable Mg. Acta Biomaterialia, 101: 575-585. doi: 10.1016/j.actbio.2019.10.036
    [150] Wang Y Z, Zhang J Z, Yang L, et al. 2025. A phase field framework for corrosion fatigue of carbon steel. International Journal of Fatigue, 190: 108603. doi: 10.1016/j.ijfatigue.2024.108603
    [151] Wang Z, Wu S, Kang G, et al. 2021. In-situ synchrotron X-ray tomography investigation of damage mechanism of an extruded magnesium alloy in uniaxial low-cycle fatigue with ratchetting. Acta Materialia, 211: 116881. doi: 10.1016/j.actamat.2021.116881
    [152] Wang Z, Lei Y, Hu B, et al. 2024. Temperature-dependent damage of magnesium alloy with ratchetting−fatigue interaction effects: Experiments and mesomechanical theory. International Journal of Plasticity, 177: 103972. doi: 10.1016/j.ijplas.2024.103972
    [153] Wilder J W, Clemons C, Golovaty D, et al. 2015. An adaptive level set approach for modeling damage due to galvanic corrosion. Journal of Engineering Mathematics, 91: 121-142. doi: 10.1007/s10665-014-9732-3
    [154] Winzer N, Atrens A, Dietzel W, et al. 2008. Characterisation of stress corrosion cracking (SCC) of Mg−Al alloys. Materials Science and Engineering: A, 488: 339-351. doi: 10.1016/j.msea.2007.11.064
    [155] Winzer N, Atrens A, Dietzel W, et al. 2008. Stress Corrosion Cracking (SCC) in Mg-Al Alloys Studied using Compact Specimens. Advanced Engineering Materials, 10: 453-458. doi: 10.1002/adem.200700319
    [156] Withers P J, Preuss M. 2012. Fatigue and Damage in Structural Materials Studied by X-Ray Tomography. Annual Review of Materials Research, 42: 81-103. doi: 10.1146/annurev-matsci-070511-155111
    [157] Winzer N, Atrens A, Dietzel W, et al. 2008. Stress corrosion cracking (SCC) in Mg-Al alloys studied using compact specimens. Advanced Engineering Materials, 10: 453-458. doi: 10.1002/adem.200700319
    [158] Wittke P, Klein M, Dieringa H, et al. 2016. Corrosion fatigue assessment of creep-resistant magnesium alloy Mg−4Al−2Ba−2Ca in aqueous sodium chloride solution. International Journal of Fatigue, 83: 59-65. doi: 10.1016/j.ijfatigue.2015.04.001
    [159] Worsley D A, Williams D, Ling J S G. 2001. Mechanistic changes in cut-edge corrosion induced by variation of organic coating porosity. Corrosion Science, 43: 2335-2348. doi: 10.1016/S0010-938X(01)00026-9
    [160] Wu S, Tian H, Ning Y, et al. 2025. Investigation on the selective corrosion behavior of alloys: First-principles calculations and experimental study. Materials Today Communications, 42: 111258. doi: 10.1016/j.mtcomm.2024.111258
    [161] Xie C, Bai S, Liu X, et al. 2024. Stress-corrosion coupled damage localization induced by secondary phases in bio-degradable Mg alloys: phase-field modeling. Journal of Magnesium and Alloys, 12: 361-383. doi: 10.1016/j.jma.2022.04.004
    [162] Xie J, Zhang Z, Dong H, et al. 2025. Insights into corrosion behavior of Mg alloys containing long-period stacking ordered structure in chloride and sulfate media. Corrosion Science, 243: 112592. doi: 10.1016/j.corsci.2024.112592
    [163] Xu L, Yu X, Hui L, et al. 2017. Fatigue life prediction of aviation aluminium alloy based on quantitative pre-corrosion damage analysis. Transactions of Nonferrous Metals Society of China, 27: 1353-1362. doi: 10.1016/S1003-6326(17)60156-0
    [164] Xu T, Yang Y, Peng X, et al. 2019. Overview of advancement and development trend on magnesium alloy. Journal of Magnesium and Alloys, 7: 536-544. doi: 10.1016/j.jma.2019.08.001
    [165] Yan C, Xin Y, Chen X. -B. , et al. 2021. Evading strength-corrosion tradeoff in Mg alloys via dense ultrafine twins. Nature Communications, 12: 4616.
    [166] Yan J, Xu X, Shi G, et al. 2024. The anodic dissolution kinetics of Mg alloys in water based on ab initio molecular dynamics simulations. Materials Genome Engineering Advances, 2: e47. doi: 10.1002/mgea.47
    [167] Yang Y, Xiong X, Chen J, et al. 2023. Research advances of magnesium and magnesium alloys worldwide in 2022. Journal of Magnesium and Alloys, 11: 2611-2654. doi: 10.1016/j.jma.2023.07.011
    [168] Yu Y, Huang X, Wang Y, et al. 2022. Experiment and simulation of high-cycle corrosion fatigue damage evolution and corrosion pit tolerance analysis of crack nucleation. Fatigue & Fracture of Engineering Materials & Structures, 45: 1435-1447. doi: 10.1111/ffe.13671
    [169] Xu Y, Li J, Qi M, et al. 2022. The influence of Gd content on the microstructure. mechanical properties, corrosion behavior and corrosion film deposition mechanisms of as-extruded Mg-Zn-Mn-Sr-Gd alloys for biomedical applications, Journal of Materials Science, 57: 2053-2072.
    [170] Yuan X, Yu D, Gao L. -L. , et al. 2016. Effect of Phosphate-Buffered Solution Corrosion on the Ratcheting Fatigue Behavior of a Duplex Mg-Li-Al Alloy. Journal of Materials Engineering and Performance, 25: 1802-1810.
    [171] Yin Y, Huang Q L, Liang L X, et al. 2019. In vitro degradation behavior and cytocompatibility of ZK30/bioactive glass composites fabricated by selective laser melting for biomedical applications. Journal of Alloys and Compounds, 785: 38-45. doi: 10.1016/j.jallcom.2019.01.165
    [172] Zhang D, Ma S, Nachtsheim J, et al. 2024. A variational phase-field framework for multiphysics modelling of degradation and stress corrosion cracking in biodegradable magnesium alloys. Journal of the Mechanics and Physics of Solids, 190: 105694. doi: 10.1016/j.jmps.2024.105694
    [173] Zhao D L, Han C J, Peng B, et al. 2022. Corrosion fatigue behavior and anti-fatigue mechanisms of an additively manufactured biodegradable zinc-magnesium gyroid scaffold. Acta biomaterialia, 153: 614-629. doi: 10.1016/j.actbio.2022.09.047
    [174] Zhang G, Le Q, Loghin A, et al. 2016. Validation of a peridynamic model for fatigue cracking. Engineering Fracture Mechanics, 162: 76-94. doi: 10.1016/j.engfracmech.2016.05.008
    [175] Zhao J, Gao L. -L. , Gao H, et al. 2015. Biodegradable behaviour and fatigue life of ZEK100 magnesium alloy in simulated physiological environment. Fatigue & Fracture of Engineering Materials & Structures, 38: 904-913.
    [176] Zhang J, Han S, Sun Y, et al. 2023. Enhanced strength of WE43 magnesium-rare-earth alloy via combining extrusion and aging. Materials Science and Engineering: A, 880: 145329. doi: 10.1016/j.msea.2023.145329
    [177] Zhou P, Zhou C, Gong H R. 2013. Chlorine adsorption on Mg. Ca, and MgCa surfaces. Materials Science and Engineering: C, 33: 3826-3831.
    [178] Zeng Z, Salehi M, Kopp A, et al. 2022. Recent progress and perspectives in additive manufacturing of magnesium alloys. Journal of Magnesium and Alloys, 10: 1511-1541. doi: 10.1016/j.jma.2022.03.001
  • 加载中
图(32) / 表(1)
计量
  • 文章访问数:  235
  • HTML全文浏览量:  73
  • PDF下载量:  45
  • 被引次数: 0
出版历程
  • 收稿日期:  2026-02-07
  • 录用日期:  2026-04-13
  • 网络出版日期:  2026-04-21

目录

    /

    返回文章
    返回