-
摘要: 稀薄气体非平衡输运问题广泛存在于航空航天、真空技术、微纳系统及惯性约束聚变等关键领域. 特别是在航天器再入大气层、临近空间超声速飞行等极端过程中, 流动呈现出极强的跨流域特征, 并伴随分子内能激发、化学反应及辐射等复杂的多物理场耦合效应. 这些特征显著提升了动理学求解难度, 使得常规数值方法面临严峻的计算瓶颈, 制约了大规模工程模拟的精度与效率. 针对上述挑战, 本文系统介绍了兼具渐近保持性与快速收敛特性的通用合成迭代算法(general synthetic iterative scheme, GSIS). 该方法的核心在于构造了与动理学方程物理一致的宏观合成方程, 利用具有信息传播效率优势的抛物型宏观系统, 有效引导双曲型动理学方程的演化, 从而突破了计算网格与时间步长受限于分子碰撞尺度的固有瓶颈. 理论分析与数值验证表明, GSIS不仅在连续流极限下能够严格恢复宏观流体力学描述, 更在全流域范围内展现出卓越的迭代收敛效率. 更具优势的是, GSIS框架具有极强的模型兼容性与算法扩展性. 本文通过大量典型算例, 重点展示了该方法在多原子气体、高温辐射、多组分混合及非定常复杂运动等问题中的高精度与高效率表现. 同时, GSIS算法机制可与随机性粒子算法深度融合, 成功实现了对直接模拟蒙特卡洛框架下玻尔兹曼及Enskog方程的显著加速. 此外, 本文还展示GSIS在跨流域流动外形优化, 流动稳定性分析以及湍流-稀薄流耦合问题中的发展, 展现其在临近空间高超声速飞行中气动特性优化, 转捩与湍流等前沿领域的应用前景. GSIS为复杂非平衡稀薄气体流动的多尺度数值模拟提供了重要工具, 并为面向工程应用的高可靠、高效率仿真与优化设计提供了强有力的理论支撑与技术路径.Abstract: Rarefied gas transport is prevalent in critical fields such as aerospace, vacuum technology, micro- and nano-systems, and inertial confinement fusion. Particularly in extreme processes like spacecraft atmospheric reentry and near-space hypersonic flight, the flow exhibits prominent multiscale characteristics, accompanied by complex multiphysics coupling effects including molecular internal energy excitation, chemical reactions, and radiation. These features significantly increase the complexity of kinetic modeling, leading to severe computational bottlenecks for conventional numerical methods and restricting the accuracy and efficiency of large-scale engineering simulations. To address these challenges, this paper systematically introduces the general synthetic iterative scheme (GSIS), a multiscale numerical method characterized by both fast-convergence and asymptotic-preserving properties. The core of this method lies in the construction of macroscopic synthetic equations that are physically consistent with the kinetic equations. By leveraging the superior information propagation efficiency of parabolic macroscopic systems to guide the evolution of hyperbolic kinetic equations, GSIS breaks the inherent bottleneck where computational grids and time steps are constrained by the molecular collision scales, enabling unified and efficient simulation across all flow regimes. Theoretical analysis and numerical validation demonstrate that GSIS not only rigorously recovers the macroscopic fluid dynamics description in the continuum limit, but also exhibits exceptional iterative convergence efficiency across the entire range of Knudsen numbers. Furthermore, the GSIS framework possesses remarkable model compatibility and algorithmic extensibility. Through a variety of typical benchmarks, this paper highlights its high-precision and high-efficiency performance in problems involving polyatomic gases, high-temperature radiation, multi-component mixtures, and unsteady complex flows. Concurrently, the GSIS mechanism can be deeply integrated with stochastic particle algorithms, achieving significant acceleration of the Boltzmann and Enskog equations within the Direct Simulation Monte Carlo framework. Additionally, this paper presents the recent progress of GSIS in multiscale aerodynamic shape optimization, flow stability analysis, and turbulence-rarefaction interactions, showcasing its promising applications in frontier areas such as transition and turbulence in near-space hypersonic flight. Overall, GSIS provides an essential tool for multiscale numerical simulations of rarefied gas flows, and offers strong theoretical support and practical pathways for high-reliability, high-efficiency engineering simulations and optimization.
-
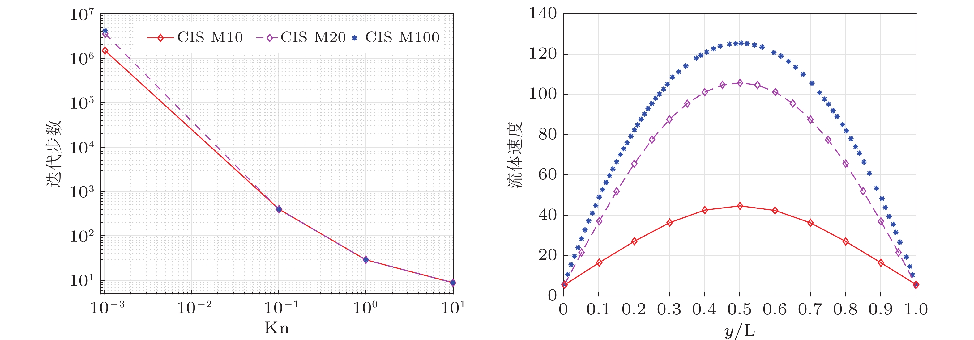
图 1 常规迭代求解一维泊肃叶流动(Wang et al. 2018). (左) 收敛到稳态解所需的迭代次数随克努森数的变化. (右) 克努森数为0.001时, 使用不同网格数量计算得到的流体速度剖面. M10表示空间被均分为10个区间
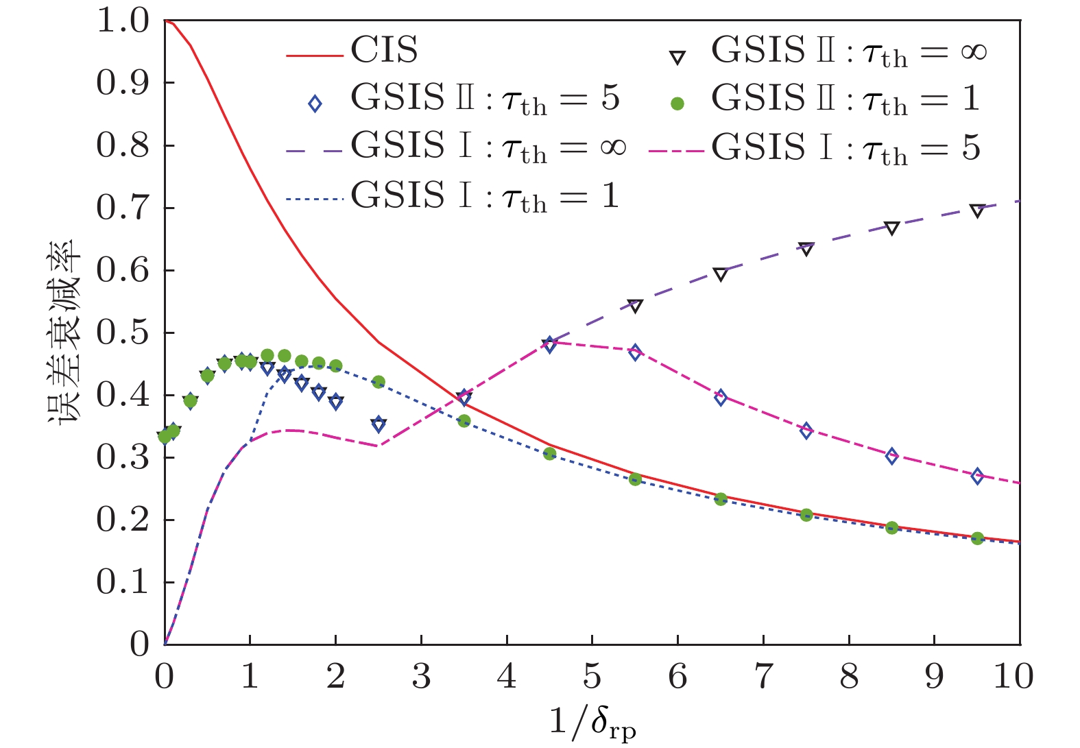
图 2 通过傅里叶稳定性分析从线性Shakhov模型计算的误差衰减率(Su et al. 2020c, Zhu et al. 2021). 阈值稀薄参数$ \tau_{th} $定义在公式(34)
图 3 一维泊肃叶流动的合成迭代算法流程图(吴雷和李琪2025)
图 4 一维库埃特流动的常规迭代(a)和合成迭代(b)对比(Su et al. 2019). 稀薄参数为$ \delta_{rp}=100 $. 图例中的数字代表迭代步数
图 5 两偏心圆柱间的库埃特流的速度云图和流线(Su et al. 2020b). GSIS和常规迭代的结果分别绘制在每个小图的左右区域. (a, b) $ \delta_{rp}=1000 $. 虚线是速度无滑移边界下的NSF方程的速度等值线. (c, d) $ \delta_{rp}=10 $. 流体速度已用外圆柱速度$ u_w $归一化
图 7 GSIS并行计算(Zhang et al. 2024): 计算区域在物理空间上划分为$ N_x $个子域. 在每个物理子域内, 进一步分配$ N_v $个处理器, 以实现动理学方程在离散速度空间上并行求解. 宏观合成方程则在每个物理子域上独立求解
图 9 阿波罗返回舱周围的气体-辐射耦合流动模拟. (a)通过傅里叶稳定性分析计算常规迭代与GSIS中误差衰减率随$ {\rm{Kn}}_{{\rm{gas}}}|\theta| $的变化, 其中情形A-C对应不同的$ \left({\rm{Kn}}_{{\rm{gas}}}/ {\rm{Kn}}_{{\rm{photon}}}\right)\times\tilde{\sigma}_R $组合, 具体参数可参考文献(Zeng et al. 2026). (b) 不同Kn下的GSIS与常规迭代残差收敛历程的对比. (c-h) $ {\rm{Kn}}=0.5 $时的温度分布及沿流向的热流密度分布. $ {\rm{Kn}}_{{\rm{photon}}} = 10 $, $ {\tilde{\sigma}_R} = 0.015 $, $ {\rm{Ma}}=15 $
图 10 质量比为10的两组分喷管流动(Zeng et al. 2024). (a, b)基于各组分当地声速定义的轻、重组分马赫数等值面分布. (c, d)中心线上的数密度与水平速度分布, 其中方形与三角形符号对应轻组分与重组分, 速度以轻组分最概然速率归一化
图 11 在GSIS计算框架中引入任意拉格朗日-欧拉方法与重叠网格技术, 模拟方腔流动中的颗粒运动(Zeng et al. 2025). (a) 初始时刻, 在方腔中心放置一个直径为$ 0.14L $、密度是气体密度10倍的圆形颗粒. 颗粒表面与流场网格采用重叠网格技术进行耦合. (b) 结合刚体三自由度方程求解得到的颗粒运动轨迹
图 12 登陆器非定常模拟(Zeng et al. 2025). (a, b) 重叠网格装配结果, 白色和红色单元为插值单元. (c-f) 不同时间步下登陆器的姿态, 流场速度及地面压力分布. (g) 不同时刻(以相位$ \phi=180^\circ (\omega t+\text{π})/\text{π} $表征), 地面所受压力在$ y=0, x\in[-100, 200] $上的分布
图 13 攻角20°、$ {\rm{Kn}}=0.01 $、$ {\rm{Ma}}=2 $条件下, 在满足升力与体积不降低约束下, 优化NASA类X-38再入飞行器外形, 实现减阻21.8% (Zhang et al. 2025). (第一行)优化前(左)后(右)网格. (第二、三行)从左至右、从上至下, 各子图依次展示初始外形以及第一至第五次优化迭代后的外形, 及对应的压力场. (第四行)优化前后(分别用灰色和黄色表面表示)外形对比
图 14 (a, b)在线性泊肃叶流问题中, 每隔$ N $步常规迭代作用一次GSIS后得到的速度剖面(Luo and Wu 2024). 参考解由GSIS在稠密网格下获得(Wu et al. 2017); 而其余结果则是在空间区域采用21个非均匀分布的网格点离散得到的. (c)DIG的误差衰减率
图 15 DIG加速DSMC的流程图. 该周期重复进行直到收敛(Luo and Wu 2024). 与GSIS流程不同之处在于, 在一个DIG迭代周期里, DSMC需要执行$ N_d $次
图 16 DIG模拟方柱绕流(Hu et al. 2025a). (a) 方柱附近的计算网格, 上半部分为DSMC, 下半部分为DIG. (b) 驻点线上的DIG与DSMC的网格尺寸. (c, d) 驻点线上的温度收敛历史. Ma=5, Kn=0.01
图 17 分子质量比为100、来流马赫数为10的二元混合气体的圆柱绕流(Luo et al. 2026). 第一行和第二行的结果分别对应全局克努森数为0.1和0.01. 线条和背景云图分别代表DIG和DSMC结果. (第三行)驻点线上的宏观量
图 18 多孔介质中稠密气体流动(Hu et al. 2025b). (第一行)Enskog数(En, 分子直径与平均自由程之比)为1时的密度等值线图(虚线白线和有色背景分别表示DIG和DSMC结果)以及速度流线. (第二、三行)在$ x=0 $处的密度和水平动量密度. 左列和右列对应的克努森数分别为0.05和0.5
图 19 稀薄来流和逆向湍流射流的相互作用(Tian and Wu 2025). (a, b) 通过GSIS(上半部分)和GSIS-SST(下半部分)模拟得到的温度云图(以来流温度归一化)和流线. (c, d) 表面压力和热流
图 20 稀薄来流和侧向湍流射流的相互作用(Tian et al. 2026). (a) GSIS-SST模拟的70公里高度、15°攻角时的温度等高线和侧向射流(位于$ x_1=0.1 {\rm{m}} $, $ x_2=0 {\rm{m}} $)的流线. (b) 模型尖前缘模型下表面的俯仰力矩系数
表 1 不同克努森数下喷管流动模拟的计算开销. 常规迭代与GSIS模拟三维流动, DSMC模拟二维轴对称流动; 所有模拟均在256个计算核上运行
Kn DSMC 常规迭代 GSIS 加速比核时 核时 迭代步数 核时 迭代步数 核时 迭代步数 0.1 5 303 75.8 61 29.9 4.9 2.5 0.01 1030 3939 1007.6 50 26.1 78.8 38.6 0.001 - $>15 \; 000 $ $>3837 $ 50 25.8 $> $300 $> $148.7 表 2 常规迭代与GSIS方法在平面声波问题中迭代次数的比较(Wu 2026). $ m $为外迭代步数, $ \Sigma k $表示总迭代次数, $ p $由NSF方程预测的特征值给出.
波数$ K $ 行波 熵波 常规迭代 GSIS 改进GSIS 常规迭代 GSIS 改进GSIS $ m $ $ \Sigma k $ $ m $ $ \Sigma k $ $ \Sigma k $ $ m $ $ \Sigma k $ $ m $ $ \Sigma k $ $ \Sigma k $ 0.01 4 736534 4 89 7 10 1459784 9 341 20 0.1 6 11505 6 98 11 8 11840 11 315 20 1 21 767 21 250 28 18 554 18 231 29 -
[1] 崔尔杰. 2009. 近空间飞行器研究发展现状及关键技术问题. 力学进展, 39(6): 658-673 (Cui E J. 2009. Research progress and key technical issues of near-space vehicles. Advances in Mechanics, 39(6): 658-673). doi: 10.3321/j.issn:1000-0992.2009.06.007Cui E J. 2009. Research progress and key technical issues of near-space vehicles. Advances in Mechanics, 39(6): 658-673 doi: 10.3321/j.issn:1000-0992.2009.06.007 [2] 江中正, 陈伟芳. 2025. 稀薄气体/湍流的多尺度非平衡输运机理. 科学通报, 70: 534-543 (Jiang Z Z, Chen W F. 2025. Multiscale nonequilibrium transport mechanisms of rarefied gas/turbulence. Science Bulletin, 70: 534-543).Jiang Z Z, Chen W F. 2025. Multiscale nonequilibrium transport mechanisms of rarefied gas/turbulence. Science Bulletin, 70: 534-543 [3] 李志辉, 蒋新宇, 吴俊林, 彭傲平. 2014. 转动非平衡玻尔兹曼模型方程统一算法与全流域绕流计算应用. 力学学报, 46(3): 336-351 (Li Z H, Jiang X Y, Wu J L, Peng A P. 2014. A unified algorithm for rotational nonequilibrium Boltzmann model equations and its application to full-flow field simulations. Acta Mechanica Sinica, 46(3): 336-351).Li Z H, Jiang X Y, Wu J L, Peng A P. 2014. A unified algorithm for rotational nonequilibrium Boltzmann model equations and its application to full-flow field simulations. Acta Mechanica Sinica, 46(3): 336-351 [4] 沈清, 黄飞, 程晓丽, 靳旭红. 2021. 飞行器上层大气层空气动力特性探讨. 气体物理, 6(1): 1-9 (Shen Q, Huang F, Cheng X L, Jin X H. 2021. Discussion on aerodynamic characteristics of vehicles in the upper atmosphere. Physics of Gases, 6(1): 1-9).Shen Q, Huang F, Cheng X L, Jin X H. 2021. Discussion on aerodynamic characteristics of vehicles in the upper atmosphere. Physics of Gases, 6(1): 1-9 [5] 苏鹏辉, 靳旭红, 姚雨竹, 程晓丽. 2025. 吸气式电推进系统进气道性能数值研究与可行性分析. 航空学报, 46(16): 6-19 (Su P H, Jin X H, Yao Y Z, Cheng X L. 2025. Numerical study and feasibility analysis of intake performance in air-breathing electric propulsion systems. Acta Aeronautica et Astronautica Sinica, 46(16): 6-19).Su P H, Jin X H, Yao Y Z, Cheng X L. 2025. Numerical study and feasibility analysis of intake performance in air-breathing electric propulsion systems. Acta Aeronautica et Astronautica Sinica, 46(16): 6-19 [6] 唐志共, 张志刚, 粟斯尧, 杨强, 胡华雨, 党雷宁, 罗仕超. 2026. 深空探测器进入行星大气面临的极高速流动与传热基础科学问题. 空气动力学学报, 44(1): 1-5 (Tang Z G, Zhang Z G, Su S Y, Yang Q, Hu H Y, Dang L N, Luo S C. 2026. Fundamental scientific issues of hypersonic flow and heat transfer for deep-space probes entering planetary atmospheres. Acta Aerodynamica Sinica, 44(1): 1-5).Tang Z G, Zhang Z G, Su S Y, Yang Q, Hu H Y, Dang L N, Luo S C. 2026. Fundamental scientific issues of hypersonic flow and heat transfer for deep-space probes entering planetary atmospheres. Acta Aerodynamica Sinica, 44(1): 1-5 [7] 吴雷, 张勇豪, 李志辉. 2017. Boltzmann方程碰撞积分建模与稀薄空气动力学应用研究. 中国科学: 物理学力学天文学, 47(7): 070004 (Wu L, Zhang Y H, Li Z H. 2017. Modeling of collision integral in Boltzmann equation and its applications in rarefied aerodynamics. Science China Physics, Mechanics & Astronomy, 47(7): 070004).Wu L, Zhang Y H, Li Z H. 2017. Modeling of collision integral in Boltzmann equation and its applications in rarefied aerodynamics. Science China Physics, Mechanics & Astronomy, 47(7): 070004 [8] 吴雷, 李琪, 2025. 稀薄气体动力学. 科学出版社. [9] 叶友达, 张涵信, 蒋勤学, 张现峰. 2018. 近空间高超声速飞行器气动特性研究的若干关键问题. 力学学报, 50: 1292-1310 (Ye Y D, Zhang H X, Jiang Q X, Zhang X F. 2018. Several key issues in aerodynamic characteristics of near-space hypersonic vehicles. Acta Mechanica Sinica, 50: 1292-1310).Ye Y D, Zhang H X, Jiang Q X, Zhang X F. 2018. Several key issues in aerodynamic characteristics of near-space hypersonic vehicles. Acta Mechanica Sinica, 50: 1292-1310 [10] 曾嘉楠, 李琪, 吴雷. 2022. 分子气体稀薄效应的动理学建模. 空气动力学学报, 40(2): 1-30 (J.N. Zeng, Q. Li, L. Wu. 2022. Kinetic modeling of rarefaction effects in molecular gases. Acta Aerodynamica Sinica, 40(2): 1-30). doi: 10.7638/kqdlxxb-2021.0378J.N. Zeng, Q. Li, L. Wu. 2022. Kinetic modeling of rarefaction effects in molecular gases. Acta Aerodynamica Sinica, 40(2): 1-30 doi: 10.7638/kqdlxxb-2021.0378 [11] 周恒, 张涵信. 2015. 空气动力学的新问题. 中国科学: 物理学、力学、天文学, 45(10): 109-113 (Zhou H, Zhang H X. 2015. New issues in aerodynamics. Science China Physics, Mechanics & Astronomy, 45(10): 109-113). doi: 10.1360/SSPMA2015-00402Zhou H, Zhang H X. 2015. New issues in aerodynamics. Science China Physics, Mechanics & Astronomy, 45(10): 109-113 doi: 10.1360/SSPMA2015-00402 [12] Adams, M.L., Larsen, E.W. 2002. Fast iterative methods for discrete-ordinates particle transport calculations. Progress in Nuclear Energy, 40: 3-159 doi: 10.1016/S0149-1970(01)00023-3 [13] Andries, P., Aoki, K., Perthame, B. 2002. A consistent BGK-type model for gas mixtures. Journal of Statistical Physics, 106(516): 993-1018 doi: 10.1023/a:1014033703134 [14] Batina, J.T. 1990. Unsteady Euler airfoil solutions using unstructured dynamic meshes. AIAA Journal, 28(8): 1381-1388 doi: 10.2514/3.25229 [15] Bennoune, M., Lemou, M., Mieussens, L. 2008. Uniformly stable numerical schemes for the Boltzmann equation preserving the compressible Navier-Stokes asymptotics. Journal of Computational Physics, 227(8): 3781-3803 doi: 10.1016/j.jcp.2007.11.032 [16] Bhatnagar, P.L., Gross, E.P., Krook, M. 1954. A model for collision processes in gases. I. small amplitude processes in charged and neutral one-component systems. Physical Review, 94(3): 511. [17] Bird, G.A., 1994. Molecular gas dynamics and the direct simulation of gas flows. Oxford University Press. [18] Bird, G.A. 2011. The Q-K model for gas-phase chemical reaction rates. Physics of Fluids, 23: 106101 doi: 10.1063/1.3650424 [19] Bisi, M., Monaco, R., Soares, A.J. 2018. A BGK model for reactive mixtures of polyatomic gases with continuous internal energy. Journal of Physics A: Mathematical and Theoretical, 51(12): 125501 doi: 10.1088/1751-8121/aaac8e [20] Bobylev, A.V. 2006. Instabilities in the Chapman-Enskog expansion and hyperbolic Burnett equations. Journal of Statistical Physics, 124: 371-399 doi: 10.1007/s10955-005-8087-6 [21] Borgnakke, C., Larsen, P.S. 1975. Statistical collision model for Monte Carlo simulation of polyatomic gas mixture. Journal of Computational Physics, 18: 405-420 doi: 10.1016/0021-9991(75)90094-7 [22] Brandis, A.M., Barnhardt, M., West, T.K., Hughes, M., 2023. New developments in NASA's entry systems modeling project, in: AIAA SCITECH 2023 Forum, p. 1333. [23] Burt, J.M., Boyd, I.D. 2009. A hybrid particle approach for continuum and rarefied flow simulation. Journal of Computational Physics, 228(2): 460-475 doi: 10.1016/j.jcp.2008.09.022 [24] Chacón, L., Chen, G., Knoll, D.A., Newman, C., Pa rk, H., Taitano, W., Willert, J.A., Womeldorff, G. 2017. Multiscale high-order/low-order (HOLO) algorithms and applications. Journal of Computational Physics, 330: 21-45 doi: 10.1016/j.jcp.2016.10.069 [25] Chapman, S., Cowling, T.G., 1970. The Mathematical Theory of Non-Uniform Gases. Cambridge University Press. [26] Chen, S., Xu, K. 2015. A comparative study of an asymptotic preserving scheme and unified gas-kinetic scheme in continuum flow limit. Journal of Computational Physics, 288: 52-65 doi: 10.1016/j.jcp.2015.02.014 [27] Chu, C.K. 1965. Kinetic-theoretic description of the formation of a shock wave. Physics of Fluids, 8(1): 12-22 doi: 10.1063/1.1761077 [28] Cruden, B.A., Brandis, A.M., Prabhu, D.K., 2014. Measurement and characterization of mid-wave infrared radiation in CO2 shocks, in: 11th AIAA/ASME Joint Thermophysics and Heat Transfer Conference, p. 2962. [29] Daso, E.O., Pritchett, V.E., Wang, T.S., Ota, D.K., Blankson, I.M., Auslender, A.H. 2009. Dynamics of shock dispersion and interactions in supersonic freestreams with counterflowing jets. AIAA Journal, 47(6): 1313-1326. [30] Degond, P., Dimarco, G., Pareschi, L. 2011. The moment guided Monte Carlo method. International Journal for Numerical Methods in Fluids, 67(2): 189-213 [31] Dimarco, G., Pareschi, L. 2013. Asymptotic preserving implicit-explicit Runge-Kutta methods for nonlinear kinetic equations. SIAM Journal on Numerical Analysis, 51(2): 1064-1087 doi: 10.1137/12087606X [32] Fei, F. 2023. A time-relaxed Monte Carlo method preserving the Navier-Stokes asymptotics. Journal of Computational Physics, 486: 112128 doi: 10.1016/j.jcp.2023.112128 [33] Fei, F., Zhang, J., Li, J., Liu, Z.H. 2020. A unified stochastic particle Bhatnagar-Gross-Krook method for multiscale gas flows. Journal of Computational Physics, 400: 108972 doi: 10.1016/j.jcp.2019.108972 [34] Filbet, F., Jin, S. 2010. A class of asymptotic-preserving schemes for kinetic equations and related problems with stiff sources. Journal of Computational Physics, 229(20): 7625-7648 doi: 10.1016/j.jcp.2010.06.017 [35] Gatapova, E., Graur, I., Sharipov, F., Kabov, O. 2015. The temperature and pressure jumps at the vapor-liquid interface: Application to a two-phase cooling system. International Journal of Heat and Mass Transfer, 83: 235-243 doi: 10.1016/j.ijheatmasstransfer.2014.12.003 [36] Gorji, M.H., Torrilhon, M., Jenny, P. 2011. Fokker-Planck model for computational studies of monatomic rarefied gas flows. Journal of Fluid Mechanics, 680: 574-601 doi: 10.1017/jfm.2011.188 [37] Grad, H. 1949. On the kinetic theory of rarefied gases. Communications on Pure and Applied Mathematics, 2: 331-407 doi: 10.1002/cpa.3160020403 [38] Groppi, M., Monica, S., Spiga, G. 2011. A kinetic ellipsoidal BGK model for a binary gas mixture. Europhysics Letters, 96(6): 64002 doi: 10.1209/0295-5075/96/64002 [39] Groppi, M., Spiga, G. 2004. A Bhatnagar-Gross-Krook-type approach for chemically reacting gas mixtures. Physics of Fluids, 16(12): 4273-4284 doi: 10.1063/1.1808651 [40] Gu, X.J., Emerson, D.R. 2009. A high-order moment approach for capturing non-equilibrium phenomena in the transition regime. Journal of Fluid Mechanics, 636: 177-216 doi: 10.1017/S002211200900768X [41] Guan, K., Yamada, T. 2024. Topology optimization of rarefied gas flows using an adjoint discrete velocity method. Journal of Computational Physics, 511: 113111 doi: 10.1016/j.jcp.2024.113111 [42] Guo, Z.L., Li, J.Q., Xu, K. 2023. Unified preserving properties of kinetic schemes. Physical Review E, 107: 025301 doi: 10.1103/PhysRevE.107.025301 [43] Guo, Z.L., Xu, K., Wang, R.J. 2013. Discrete unified gas kinetic scheme for all Knudsen number flows: Low-speed isothermal case. Physical Review E, 88: 033305 doi: 10.1103/PhysRevE.88.033305 [44] Hass, B.L., Boyd, I.D. 1993. Models for direct Monte Carlo simulation of coupled vibrationdissociation. Physics of Fluids A: Fluid Dynamics, 5: 478-489 doi: 10.1063/1.858870 [45] Hauck, C.D., Laiu, M.P., Schnake, S.R. 2025. On high-order/low-order and micro-macro methods for implicit time-stepping of the BGK model. SIAM Journal on Scientific Computing, 47(6): A3566-A3593 doi: 10.1137/24M1698298 [46] Hayashi, K., Aso, S., 2003. Effect of pressure ratio on aerodynamic heating reduction due to opposing jet, in: 36th AIAA Thermophysics Conference, Orlando, FL. p. 4041. [47] Holway, L.H. 1966. New statistical models for kinetic theory: methods of construction. The Physics of Fluids, 9(9): 1658-1673 doi: 10.1063/1.1761920 [48] Hu, B., Luo, L.Y., Wang, K.Y., Wu, L. 2025a. Fast-converging and asymptotic-preserving DSMC. arXiv: 2511.19061. [49] Hu, B., Luo, L.Y., Wu, L. 2025b. Accelerating the Monte Carlo simulation of the Enskog equation for multiscale dense gas flows. arXiv: 2509.20816. [50] Jiang, D.W., Mao, M.L., Li, J., Deng, X.G. 2019. An implicit parallel UGKS solver for flows covering various regimes. Advances in Aerodynamics, 1(1): 1-24 [51] Jin, S. 2010. Asymptotic preserving (AP) schemes for multiscale kinetic and hyperbolic equations: a review. Lecture notes for summer school on methods and models of kinetic theory (M&MKT), Porto Ercole (Grosseto, Italy): 177-216. [52] Jin, S. 2022. Asymptotic-preserving schemes for multiscale physical problems. Acta Numerica, 31: 415-489 doi: 10.1017/S0962492922000010 [53] Johnston, C.O., Brandis, A.M. 2015. Features of afterbody radiative heating for earth entry. Journal of Spacecraft and Rockets, 52(1): 105-119 doi: 10.2514/1.A33084 [54] Kelly, R.M., Gildfind, D.E., McIntyre, T.J. 2021. Emission spectroscopy of ionizing superorbital expanding flow. AIAA Journal, 59(8): 3217-3227 doi: 10.2514/1.J059345 [55] Larsen, E.W. 1983. On numerical solutions of transport problems in the diffusion limit. Nuclear Science and Engineering, 83(1): 90-99 doi: 10.13182/nse83-a17992 [56] Le Brun, A., Omaly, P. 2011. Investigation of radiative heat fluxes for exomars entry in the Martian atmosphere. Radiation of High Temperature Gases in Atmospheric Entry, 689: 22 [57] Lemou, M., Mieussens, L. 2008. A new asymptotic preserving scheme based on micro-macro formulation for linear kinetic equations in the diffusion limit. SIAM Journal on Scientific Computing, 31(1): 334-368 doi: 10.1137/07069479X [58] Li, Q., Zeng, J.N., Huang, Z.M., Wu, L. 2023. Kinetic modelling of rarefied gas flows with radiation. Journal of Fluid Mechanics, 965: A13 doi: 10.1017/jfm.2023.400 [59] Li, Q., Zeng, J.N., Su, W., Wu, L. 2021. Uncertainty quantification in rarefied dynamics of molecular gas: rate effect of thermal relaxation. Journal of Fluid Mechanics, 917: A58 doi: 10.1017/jfm.2021.338 [60] Li, Q., Zeng, J.N., Wu, L. 2024a. Kinetic modelling of rarefied gas mixtures with disparate mass in strong non-equilibrium flows. Journal of Fluid Mechanics, 1001: A5. [61] Li, S.K., Su, W., Shan, B.C., Li, Z.X., Gibelli, L., Zhang, Y.H. 2024b. Molecular kinetic modelling of non-equilibrium evaporative flows. Journal of Fluid Mechanics, 994: A16. [62] Li, X., Geng, J.Y., Yue, Y.X., Han, N., Sun, W.J., Yang, C., Hu, Y., Feng, G., Meng, X., Cao, J.W., Huang, H.J. 2025. Structural and configurational optimization of spacecrafts in very low earth orbit using atmosphere-breathing electric propulsion. Acta Astronautica, 233: 82-98 doi: 10.1016/j.actaastro.2025.03.041 [63] Li, Z.H., Zhang, H.X. 2004. Study on gas kinetic unified algorithm for flows from rarefied transition to continuum. Journal of Computational Physics, 193: 708-738 doi: 10.1016/j.jcp.2003.08.022 [64] Lino Da Silva, M., Beck, J., 2011. Contribution of CO2 IR radiation to martian entries radiative wall fluxes, in: 49th AIAA Aerospace Sciences Meeting, p. 135. [65] Liu, C., Zhu, Y.J., Xu, K. 2020. Unified gas-kinetic wave-particle methods I: Continuum and rarefied gas flow. Journal of Computational Physics, 401: 108977 doi: 10.1016/j.jcp.2019.108977 [66] Liu, W., Zhang, Y.B., Zeng, J.N., Wu, L. 2024. Further acceleration of multiscale simulation of rarefied gas flow via a generalized boundary treatment. Journal of Computational Physics, 503: 112830 doi: 10.1016/j.jcp.2024.112830 [67] Luo, L.Y., Tian, S.Y., Wu, L. 2025. Multiscale simulation of interacting turbulent and rarefied gas flows in the DSMC framework. Theoretical & Applied Mechanics Letters, 15: 100606 doi: 10.1016/j.taml.2025.100606 [68] Luo, L.Y., Wu, L. 2024. Multiscale simulation of rarefied gas dynamics via direct intermittent GSIS-DSMC coupling. Advances in Aerodynamics, 6: 22 doi: 10.1186/s42774-024-00188-y [69] Luo, L.Y., Zeng, J.N., Zhang, Y.B., Li, W., Li, Q., Wu, L. 2026. Enhancing DSMC simulations of rarefied gas mixtures using a fast-converging and asymptotic-preserving scheme. Computer Methods in Applied Mechanics and Engineering, 449: 118508 doi: 10.1016/j.cma.2025.118508 [70] Matsushima, K., Murayama, M., Nakahashi, K., 2002. Unstructured dynamic mesh for large movement and deformation, in: 40th AIAA Aerospace Sciences Meeting, p. 122. [71] Montanero, J.M., Santos, A. 1997. Simulation of the Enskog equation à la Bird. Physics of Fluids, 9: 2057-2060 doi: 10.1063/1.869325 [72] Sato, A., Yamada, T., Izui, K., Nishiwaki, S., Takata, S. 2019. A topology optimization method in rarefied gas flow problems using the Boltzmann equation. Journal of Computational Physics, 395: 60-84 doi: 10.1016/j.jcp.2019.06.022 [73] Schwartzentruber, T.E., Scalabrin, L.C., Boyd, I.D. 2007. A modular particle-continuum numerical method for hypersonic non-equilibrium gas flows. Journal of Computational Physics, 225: 1159-1174 doi: 10.1016/j.jcp.2007.01.022 [74] Shakhov, E. 1968. Approximate kinetic equations in rarefied gas theory. Fluid Dynamics, 3: 112-115 doi: 10.1007/bf01016254 [75] Sharipov, F. 2011. Data on the velocity slip and temperature jump on a gas-solid interface. Journal of Physical and Chemical Reference Data, 40: 023101 doi: 10.1063/1.3580290 [76] Struchtrup, H., 2005. Macroscopic Transport Equations for Rarefied Gas Fows: Approximation Methods in Kinetic Theory. Springer, Heidelberg, Germany. [77] Struchtrup, H., Frezzotti, A. 2022. Twenty-six moment equations for the Enskog-Vlasov equation. Journal of Fluid Mechanics, 940: A40. [78] Su, W., Ho, M.T., Zhang, Y.H., Wu, L. 2020a. GSIS: an efficient and accurate numerical method to obtain the apparent gas permeability of porous media. Computers & Fluids, 206: 104576. [79] Su, W., Wang, P., Liu, H., Wu, L. 2019. Accurate and efficient computation of the Boltzmann equation for Couette flow: Influence of intermolecular potentials on Knudsen layer function and viscous slip coefficient. Journal of Computational Physics, 378: 573-590 doi: 10.1016/j.jcp.2018.11.015 [80] Su, W., Zhang, Y.H., Wu, L. 2021. Multiscale simulation of molecular gas flows by the general synthetic iterative scheme. Computer Methods in Applied Mechanics and Engineering, 373: 113548 doi: 10.1016/j.cma.2020.113548 [81] Su, W., Zhu, L.H., Wang, P., Zhang, Y.H., Wu, L. 2020b. Can we find steady-state solutions to multiscale rarefied gas flows within dozens of iterations?. Journal of Computational Physics, 407: 109245. [82] Su, W., Zhu, L.H., Wu, L. 2020c. Fast convergence and asymptotic preserving of the general synthetic iterative scheme. SIAM Journal on Scientific Computing, 42: B1517-B1540. [83] Sun, Q.H., Boyd, I.D., Candler, G.V. 2004. A hybrid continuum/particle approach for modeling subsonic, rarefied gas flows. Journal of Computational Physics, 194(1): 256-277 doi: 10.1016/j.jcp.2003.09.005 [84] Szalmás, L. 2016. An accelerated discrete velocity method for flows of rarefied ternary gas mixtures in long rectangular channels. Computers & Fluids, 128: 91-97 doi: 10.1016/j.compfluid.2016.01.010 [85] Taitano, W.T., Knoll, D.A., Chacón, L., Reisner, J.M., Prinja, A.K. 2014. Moment-based acceleration for neutral gas kinetics with BGK collision operator. Journal of Computational and Theoretical Transport, 43: 83-108 doi: 10.1080/00411450.2014.910228 [86] Tian, S.Y., Wu, L. 2025. Multiscale simulation of coexisting turbulent and rarefied gas flows. Journal of Fluid Mechanics, 1002: A10 doi: 10.1017/jfm.2024.1162 [87] Tian, S.Y., Wu, L., Wan, M.P. 2026. Lateral turbulent jet in rarefied environment. Acta Mechanica Sinica, 42: 725040 doi: 10.1007/s10409-025-25040-x [88] Tiwari, S., Klar, A., Russo, G. 2020. Interaction of rigid body motion and rarefied gas dynamics based on the BGK model. Mathematics in Engineering, 2: 203-229 doi: 10.3934/mine.2020010 [89] Torrilhon, M. 2016. Modeling nonequilibrium gas flow based on moment equations. Annual Review of Fluid Mechanics, 48: 429-458 doi: 10.1146/annurev-fluid-122414-034259 [90] Tsien, H.S. 1946. Superaerodynamics, mechanics of rarefied gases. Journal of the Aeronautical Sciences, 13(12): 653-664 doi: 10.2514/8.11476 [91] Valougeorgis, D., Naris, S. 2003. Acceleration schemes of the discrete velocity method: Gaseous flows in rectangular microchannels. SIAM Journal on Scientific Computing, 25: 534-552 doi: 10.1137/S1064827502406506 [92] Wang, P., Ho, M.T., Wu, L., Guo, Z.L., Zhang, Y.H. 2018. A comparative study of discrete velocity methods for low-speed rarefied gas flows. Computers & Fluids, 161: 33-46 doi: 10.1016/j.compfluid.2017.11.006 [93] Wang-Chang, C.S., Uhlenbeck, G.E., 1951. Transport Phenomena in Polyatomic Gases. University of Michigan Engineering Research Rept. No. CM-681. [94] Wilcox, D.C., 2006. Turbulence Modeling for CFD. DCW Industries. [95] Wu, L. 2026. Efficient solutions of eigenvalue problems in rarefied gas flows. Journal of Computational Physics, 549: 114607 doi: 10.1016/j.jcp.2025.114607 [96] Wu, L., Liu, H., Reese, J.M., Zhang, Y. 2016. Non-equilibrium dynamics of dense gas under tight confinement. Journal of Fluid Mechanics, 794: 252-266 doi: 10.1017/jfm.2016.173 [97] Wu, L., Zhang, J., Liu, H.H., Zhang, Y.H., Reese, J.M. 2017. A fast iterative scheme for the linearized Boltzmann equation. Journal of Computational Physics, 338: 431-451 doi: 10.1016/j.jcp.2017.03.002 [98] Xu, K., Huang, J.C. 2010. A unified gas-kinetic scheme for continuum and rarefied flows. Journal of Computational Physics, 229: 7747-7764 doi: 10.1016/j.jcp.2010.06.032 [99] Yuan, R.F., Wu, L. 2024. A design optimization method for rarefied and continuum gas flows. Journal of Computational Physics, 517: 113366 doi: 10.1016/j.jcp.2024.113366 [100] Yuan, R.F., Wu, L. 2025a. Adjoint shape optimization from the continuum to free-molecular gas flows. Journal of Computational Physics, 537: 114102. [101] Yuan, R.F., Wu, L. 2025b. Wetted-area minimum and inlet-outlet reciprocity in optimal manifolds of rarefied gas flows. Physical Review Fluids, 11: 033401. [102] Zeng, J.N., Li, Q., Wu, L. 2024. General synthetic iterative scheme for rarefied gas mixture flows. Journal of Computational Physics, 519: 113420 doi: 10.1016/j.jcp.2024.113420 [103] Zeng, J.N., Li, Q., Zhang, Y.B., Su, W., Wu, L. 2026. Accelerated simulation of multiscale gas-radiation coupling flows via a general synthetic iterative scheme. arXiv: 2601.03935. [104] Zeng, J.N., Su, W., Wu, L. 2023a. General synthetic iterative scheme for unsteady rarefied gas flows. Communications in Computational Physics, 34: 173-207. [105] Zeng, J.N., Yuan, R.F., Zhang, Y.B., Li, Q., Wu, L. 2023b. General synthetic iterative scheme for polyatomic rarefied gas flows. Computers & Fluids, 265: 105998. [106] Zeng, J.N., Zhang, Y.B., Wu, L. 2025. GSIS-ALE for moving boundary problems in rarefied gas flows. Journal of Computational Physics, 525: 113761 doi: 10.1016/j.jcp.2025.113761 [107] Zhang, Y.B., Yuan, R.F., Luo, L.Y., Wu, L. 2026. An efficient treatment of heat-flux boundary conditions in GSIS for rarefied gas flows. arXiv: 2601.13870. [108] Zhang, Y.B., Yuan, R.F., Wu, L. 2025. A fast-converging and asymptotic-preserving method for adjoint shape optimization of rarefied gas flows. arXiv: 2511.18433. [109] Zhang, Y.B., Zeng, J.N., Yuan, R.F., Liu, W., Wu, L. 2024. Efficient parallel solver for rarefied gas flow using gsis. Computers & Fluids, 281: 106374 doi: 10.1016/j.compfluid.2024.106374 [110] Zhu, L.H., Pi, X.C., Su, W., Li, Z.H., Zhang, Y.H., Wu, L. 2021. General synthetic iterative scheme for nonlinear gas kinetic simulation of multi-scale rarefied gas flows. Journal of Computational Physics, 430: 110091 doi: 10.1016/j.jcp.2020.110091 [111] Zhu, Y.J., Liu, C., Zhong, C.W., Xu, K. 2019a. Unified gas-kinetic wave-particle methods. II. Multiscale simulation on unstructured mesh. Physics of Fluids, 31: 067105. [112] Zhu, Y.J., Zhong, C.W., Xu, K. 2019b. An implicit unified gas-kinetic scheme for unsteady flow in all Knudsen regimes. Journal of Computational Physics, 386: 190-217. [113] Zou, S., Bi, L., Zhong, C.W., Yuan, X.X., Tang, Z.G. 2023. A novel linear stability analysis method for plane Couette flow considering rarefaction effects. Journal of Fluid Mechanics, 963: A33 doi: 10.1017/jfm.2023.230 [114] Zou, S., Zhong, C.W., Bi, L., Yuan, X.X., Tang, Z.G. 2022. A new linear stability analysis approach for microchannel flow based on the Boltzmann Bhatnagar-Gross-Krook equation. Physics of Fluids, 34: 124114 doi: 10.1063/5.0131135 -
下载: