留言板

尊敬的读者、作者、审稿人, 关于本刊的投稿、审稿、编辑和出版的任何问题, 您可以本页添加留言。我们将尽快给您答复。谢谢您的支持!

姓名
邮箱
手机号码
标题
留言内容
验证码

AI+聚变: 全球能源格局变革的重要机遇

梁云峰

梁云峰. AI+聚变: 全球能源格局变革的重要机遇. 力学进展, 待出版 doi: 10.6052/1000-0992-25-045
引用本文: 梁云峰. AI+聚变: 全球能源格局变革的重要机遇. 力学进展, 待出版 doi: 10.6052/1000-0992-25-045
Liang Y F. AI+ nuclear fusion: A crucial opportunity for the transformation of the global energy pattern. Advances in Mechanics, in press doi: 10.6052/1000-0992-25-045
Citation: Liang Y F. AI+ nuclear fusion: A crucial opportunity for the transformation of the global energy pattern. Advances in Mechanics, in press doi: 10.6052/1000-0992-25-045

AI+聚变: 全球能源格局变革的重要机遇

doi: 10.6052/1000-0992-25-045 cstr: 32046.14.1000-0992-25-045
详细信息
    作者简介:

    梁云峰, 德国于利希研究中心聚变能与核废料管理研究院等离子体物理研究所(IFN-1)主任研究员, 杜塞尔多夫大学教授、北京大学客座教授, IOP期刊 《Plasma Science and Technology》主编. 30余年深耕磁约束聚变等离子体物理, 在JT-60SA、JET、W7-X、EAST等16台装置上开展实验研究. 曾获亥姆霍兹学会青年科学家基金, 入选中国国家特聘教授. 截至2025年底, 发表SCI论文500余篇, 总引用逾15,000次, 第一作者单篇最高引用730多次, 其中16篇发表于 《Physical Review Letters》, H指数为67

    通讯作者:

    y.liang@ipp.ac.cn

AI+ nuclear fusion: A crucial opportunity for the transformation of the global energy pattern

More Information
  • 摘要: 人工智能 (AI) 的崛起, 尤其在算法优化和大规模数据处理等方面跨越式的能力提升, 为人类解决能源危机提供了全新路径. 核聚变作为未来终极能源形式, 历经70余年发展已从基础研究迈向商业化临界点. 本文系统阐述了全球核聚变研究的发展现状与核心挑战, 深入分析了AI技术在核聚变装置控制、数据处理、模型优化、风险防控等关键领域的应用场景与实践成果, 探讨了AI与核聚变融合对全球能源格局的变革性影响, 最后展望了该领域的未来发展方向与行业布局, 为推动能源革命与科技进步提供参考.

     

  • 图  1  全球数据中心能源消耗(IEA 2025)

    图  2  (a) 托卡马克和 (b) 仿星器装置概念图

    图  3  JT-60SA概述及其与其他超导托卡马克装置的比较(Tomarchio et al. 2017)

    图  4  托卡马克L模与H模等离子体的压力分布及边界局域模崩塌特征示意图(Igochine 2015)

    图  5  托卡马克等离子体湍流涡旋与极方向纬向流之间的主导性非线性相互作用(Waltz et al. 1994)

    图  6  W7-X高旋转变换位形真空条件磁拓扑 (Z>0: 蓝色) 与有限比压平衡条件磁拓扑 (Z<0: 红色) 的庞加莱图. X形十字分别标示磁轴在豆形平面中的位置. 灰色线条表示偏滤器和挡板的容器内组件(Zhou et al. 2022)

    图  7  聚变能源研究中的AI技术应用

    图  8  TCV托卡马克上多种不同等离子体位形AI控制演示. (a) 大纵向拉长比位形, (b) 类ITER位形, (c) 负三角度位形, (d) 雪花偏滤器位形. 图中半径为2 cm的蓝色圆圈标注目标位形; 黑色实线为平衡重建等离子体边界; 首帧时间切片显示交接状态(Degrave et al. 2022)

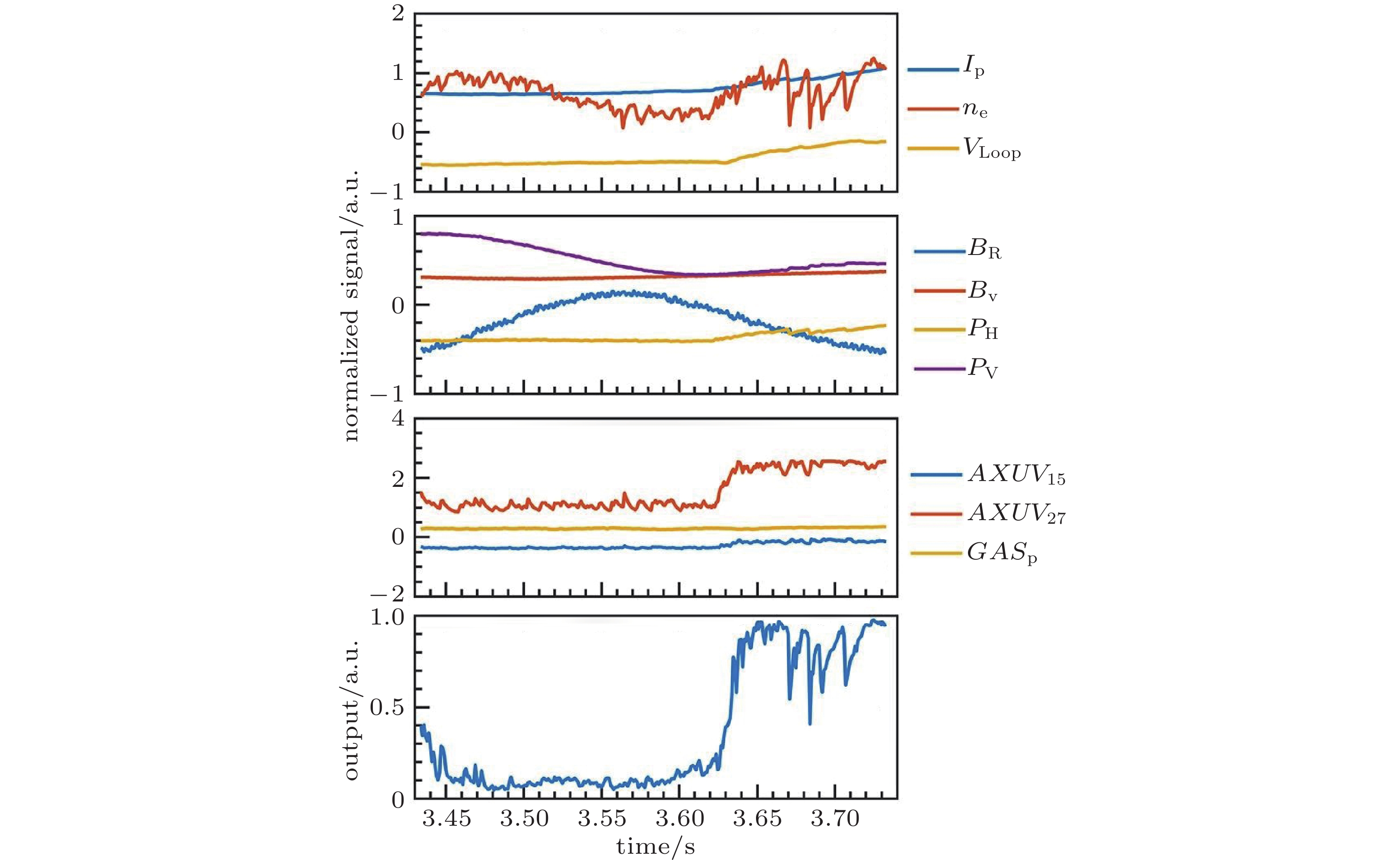
    图  9  DIII-D托卡马克装置(a) ~ (b)人工智能撕裂模控制整体架构系统, 及其(c) ~ (d)对等离子体控制响应示意图(Seo et al. 2024)

    图  10  低辐射比例情况下边界等离子体电子温度预测结果与真实模拟值的对比. (a) EMC3-EIRENE 模拟参考值; (b) 联合微调代理模型的预测结果; (c) 预测值与模拟值之间的偏差; (d) 二者之间的相对误差(Luo et al. 2026)

    图  11  EXL-50装置等离子体破裂预测示例(Cai et al. 2024)

    图  12  用于Stellaris的QI仿星器装置可视化示意图. 图中展示了VMEC自由边界平衡等离子体计算边界及其对应的磁场强度分布. 图中展示了一个旋转对称模块 (即一个完整磁场周期) 的结构, 及其对应的线圈组(Lion et al. 2025)

    图  13  数字化转型背景下数字孪生框架的示例(Battye & Perinpanayagam 2025)

  • [1] Abdou M, Morley N B, Smolentsev S, et al. 2015. Blanket/first wall challenges and required R&D on the pathway to DEMO. Fusion Engineering and Design, 100: 2-43. doi: 10.1016/j.fusengdes.2015.07.021
    [2] Abdou M, Riva M, Ying A, et al. 2021. Physics and technology considerations for the deuterium–tritium fuel cycle and conditions for tritium fuel self sufficiency. Nuclear Fusion, 61(1): 013001. doi: 10.1088/1741-4326/abbf35
    [3] Anand H, Bardsley O, Humphreys D, et al. 2023. Modelling, design and simulation of plasma magnetic control for the spherical tokamak for energy production (STEP). Fusion Engineering and Design, 194: 113724. doi: 10.1016/j.fusengdes.2023.113724
    [4] Andreeva T, Beidler C D, Harmeyer E, et al. 2004. The helias reactor concept: Comparative analysis of different field period configurations. Fusion Science and Technology, 46(2): 395-400. doi: 10.13182/FST04-A579
    [5] Battye M I, Perinpanayagam S. 2025. Digital twins in fusion energy research: Current state and future directions. IEEE Access, 13: 75787-75821. doi: 10.1109/ACCESS.2025.3561920
    [6] Bucalossi J, Achard J, Agullo O, et al. 2022. Operating a full tungsten actively cooled tokamak: Overview of WEST first phase of operation. Nuclear Fusion, 62(4): 042007. doi: 10.1088/1741-4326/ac2525
    [7] Cai J, Liang Y, Knieps A, et al. 2024. Improved training framework in a neural network model for disruption prediction and its application on EXL-50. Plasma Science and Technology, 26(5): 055102. doi: 10.1088/2058-6272/ad1571
    [8] CEA. 2025. Nuclear fusion: WEST beats the world record for plasma duration. https://www.cea.fr/english/Pages/News/nuclear-fusion-west-beats-the-world-record-for-plasma-duration.aspx. Accessed.
    [9] Chen M W, Yang K J, Zhu J J, et al. 2026. Vi-DP: Low-latency video-based disruption prediction with multi-FOV fusion in EAST. Nuclear Fusion, 66(1): 016002. doi: 10.1088/1741-4326/ae15a2
    [10] Cheng J, Xu Y, Liu H F, et al. 2025. Construction progress of the Chinese first quasi-axisymmetric stellarator (CFQS) and preliminary experimental results on the CFQS-test device. Plasma Physics and Controlled Fusion, 67(10): 105011. doi: 10.1088/1361-6587/ae0878
    [11] De Vries P C, Johnson M F, Segui I, et al. 2009. Statistical analysis of disruptions in JET. Nuclear Fusion, 49(5): 055011. doi: 10.1088/0029-5515/49/5/055011
    [12] Degrave J, Felici F, Buchli J, et al. 2022. Magnetic control of tokamak plasmas through deep reinforcement learning. Nature, 602(7897): 414-419. doi: 10.1038/s41586-021-04301-9
    [13] Ding R, Chan V S, Li J. 2025. Integrated physics design of conventional H-mode scenario for China fusion engineering demo reactor. Plasma Science and Technology, 27(10): 100101. doi: 10.1088/2058-6272/ade22a
    [14] Esteva A, Kuprel B, Novoa R A, et al. 2017. Dermatologist-level classification of skin cancer with deep neural networks. Nature, 542(7639): 115-118. doi: 10.1038/nature21056
    [15] Feng Y, Wan C, Huang J, et al. 2026. Fast end-to-end plasma density profile reconstruction from microwave reflectometer data on EAST. Nuclear Fusion, 66(1): 014004. doi: 10.1088/1741-4326/ae2694
    [16] Fenstermacher M E, Abbate J, Abe S, et al. 2022. DIII-D research advancing the physics basis for optimizing the tokamak approach to fusion energy. Nuclear Fusion, 62(4): 042024. doi: 10.1088/1741-4326/ac2ff2
    [17] Fleschner F. 2025. Wendelstein 7-X sets new performance records in fusion research. https://www.ipp.mpg.de/5532945/w7x. Accessed.
    [18] Fujita T, Kamada Y, Ishida S, et al. 1999. High performance experiments in JT-60U reversed shear discharges. Nuclear Fusion, 39(11Y): 1627. doi: 10.1088/0029-5515/39/11Y/302
    [19] Goldman L M, Spitzer L J. 1953. Preliminary experimental results with the model a stellarator. https://doi.org/10.2172/4285864. Accessed.
    [20] Guo B H, Chen D L, Rea C, et al. 2023. Disruption prediction on EAST with different wall conditions based on a multi-scale deep hybrid neural network. Nuclear Fusion, 63(9): 094001. doi: 10.1088/1741-4326/ace2d4
    [21] Hu W H, Rea C, Yuan Q P, et al. 2021. Real-time prediction of high-density EAST disruptions using random forest. Nuclear Fusion, 61(6): 066034. doi: 10.1088/1741-4326/abf74d
    [22] IEA. 2025. Energy and AI. https://www.iea.org/reports/energy-and-ai. Accessed.
    [23] Igochine V. 2015. Edge localized mode (ELM). In: Igochine V (eds) active control of magneto-hydrodynamic instabilities in hot plasmas. Springer Series on Atomic: Springer.
    [24] Itoh S, Sato K N, Nakamura K, et al. 1999. Recent progress in the superconducting tokamak TRIAM-1M. Plasma Physics and Controlled Fusion, 41(3A): A587.
    [25] Kappatou A, Baruzzo M, Hakola A, et al. 2025. Overview of the third JET deuterium-tritium campaign. Plasma Physics and Controlled Fusion, 67(4): 045039. doi: 10.1088/1361-6587/adbd75
    [26] Klinger T, Andreeva T, Bozhenkov S, et al. 2019. Overview of first Wendelstein 7-X high-performance operation. Nuclear Fusion, 59(11): 112004. doi: 10.1088/1741-4326/ab03a7
    [27] Ko W, Yoon S W, Kim W C, et al. 2024. Overview of the KSTAR experiments toward fusion reactor. Nuclear Fusion, 64(11): 112010. doi: 10.1088/1741-4326/ad3b1d
    [28] Komori A, Yamada H, Kaneko O, et al. 2000. Overview of the large helical device. Plasma Physics and Controlled Fusion, 42(11): 1165. doi: 10.1088/0741-3335/42/11/303
    [29] Li J, Guo H Y, Wan B N, et al. 2013. A long-pulse high-confinement plasma regime in the experimental advanced superconducting tokamak. Nature Physics, 9(12): 817-821. doi: 10.1038/nphys2795
    [30] Li J, Wan B N, Luo J R, et al. 2003. Long pulse enhanced confinement discharges in the HT-7 superconducting tokamak by ion Bernstein wave heating and lower hybrid wave current drive. Physics of Plasmas, 10(5): 1653-1658. doi: 10.1063/1.1556297
    [31] Liang Y, Koslowski H R, Krämer-Flecken A, et al. 2007a. Observations of secondary structures after collapse events occurring at the q = 2 magnetic surface in the TEXTOR tokamak. Nuclear Fusion, 47(9): L21. doi: 10.1088/0029-5515/47/9/L02
    [32] Liang Y, Koslowski H R, Thomas P R, et al. 2007b. Active control of type-I edge-localized modes with $n=1$ perturbation fields in the JET tokamak. Physical Review Letters, 98(26): 265004. doi: 10.1103/PhysRevLett.98.265004
    [33] Lin Z, Zhang H, Wang F, et al. 2024. Prediction of plasma rotation velocity and ion temperature profiles in EAST tokamak using artificial neural network models. Nuclear Fusion, 64(10): 106061. doi: 10.1088/1741-4326/ad73e8
    [34] Lin Z, Zhang H, Wang F, et al. 2025. Development of a neural network-based model for electron temperature inference via modelled and experimental argon spectra measured by x-ray crystal spectrometer with an extension to tungsten spectra on EAST. Nuclear Fusion, 65(11): 116035. doi: 10.1088/1741-4326/ae130a
    [35] Linke J, Du J, Loewenhoff T, et al. 2019. Challenges for plasma-facing components in nuclear fusion. Matter and Radiation at Extremes, 4(5): 056201. doi: 10.1063/1.5090100
    [36] Lion J, Anglès J C, Bonauer L, et al. 2025. Stellaris: A high-field quasi-isodynamic stellarator for a prototypical fusion power plant. Fusion Engineering and Design, 214: 114868. doi: 10.1016/j.fusengdes.2025.114868
    [37] Liu M, Xie H, Wang Y, et al. 2024. ENN's roadmap for proton-boron fusion based on spherical torus. Physics of Plasmas, 31(6): 062507. doi: 10.1063/5.0199112
    [38] Luo Y, Xu S, Liang Y, et al. 2025. A neural network-based method for input parameter optimization of edge transport modeling utilizing experimental diagnostics. Nuclear Fusion, 65(9): 096016. doi: 10.1088/1741-4326/adf75f
    [39] Luo Y, Xu S, Liang Y, et al. 2026. Neural network-based surrogate model for 3D edge-plasma transport in the standard configuration of W7-X. Nuclear Fusion, 66(1): 016038. doi: 10.1088/1741-4326/ae203d
    [40] Meade D. 1988. Results and plans for the tokamak fusion test reactor. Journal of Fusion Energy, 7(2): 107-114. doi: 10.1007/bf01054629
    [41] Pamela J. 1999. Ten years of operation and developments on Tore Supra. Fusion Engineering and Design, 46(2): 313-322.
    [42] Peacock N J, Robinson D C, Forrest M J, et al. 1969. Measurement of the electron temperature by thomson scattering in tokamak T3. Nature, 224(5218): 488-490. doi: 10.1038/224488a0
    [43] Rossi R, Murari A, Craciunescu T, et al. 2025. Time-resolved, physics-informed neural networks for tokamak total emission reconstruction and modelling. Nuclear Fusion, 65: 036030. doi: 10.1088/1741-4326/adb3bc
    [44] Seo J, Kim S, Jalalvand A, et al. 2024. Avoiding fusion plasma tearing instability with deep reinforcement learning. Nature, 626(8000): 746-751. doi: 10.1038/s41586-024-07024-9
    [45] Shi Y, Song X, Guo D, et al. 2025. Strategy and experimental progress of the EXL-50U spherical torus in support of the EHL-2 project. Plasma Science and Technology, 27(2): 024003. doi: 10.1088/2058-6272/ad9e8f
    [46] Silver D, Huang A, Maddison C J, et al. 2016. Mastering the game of Go with deep neural networks and tree search. Nature, 529(7587): 484-489. doi: 10.1038/nature16961
    [47] Song Y, Zou X, Gong X, et al. 2023. Realization of thousand-second improved confinement plasma with super I-mode in tokamak EAST. Sci Adv, 9(1): eabq5273.
    [48] Sorbom B N, Ball J, Palmer T R, et al. 2015. ARC: A compact, high-field, fusion nuclear science facility and demonstration power plant with demountable magnets. Fusion Engineering and Design, 100: 378-405. doi: 10.1016/j.fusengdes.2015.07.008
    [49] Spitzer L. 1981. The stellarator concept. IEEE Transactions on Plasma Science, 9(4): 130-141. doi: 10.1109/TPS.1981.4317418
    [50] Tan Y, Wang B, Wang S, et al. 2025a. NTST, a negative triangularity spherical tokamak. In: Proceedings of IAEA Fusion Energy. Conference, Conference.
    [51] Tan Y, Wang B, Wang S, et al. 2025b. Recent progress on the SUNIST-2 spherical tokamak. In: Proceedings of IAEA Fusion Energy. Conference, Conference.
    [52] Tindall M, Rosini S, Bowden N, et al. 2023. Towards a fusion component digital twin-virtual test and monitoring of components in CHIMERA by systems simulation. Fusion Engineering and Design, 191: 113773. doi: 10.1016/j.fusengdes.2023.113773
    [53] Tomarchio V, Barabaschi P, Di Pietro E, et al. 2017. Status of the JT-60SA project: An overview on fabrication, assembly and future exploitation. Fusion Engineering and Design, 123: 3-10. doi: 10.1016/j.fusengdes.2017.05.041
    [54] Townshend R J L, Eismann S, Watkins A M, et al. 2021. Geometric deep learning of RNA structure. Science, 373(6558): 1047-1051. doi: 10.1126/science.abe5650
    [55] Vega J, Murari A, Dormido-Canto S, et al. 2022. Disruption prediction with artificial intelligence techniques in tokamak plasmas. Nature Physics, 18(7): 741-750. doi: 10.1038/s41567-022-01602-2
    [56] Vries G. 2024. EUROfusion spearheads advances in artificial intelligence and machine learning to unlock fusion energy. https://euro-fusion.org/eurofusion-news/eurofusion-spearheads-advances-in-artificial-intelligence-and-machine-learning-to-unlock-fusion-energy/. Accessed.
    [57] Waltz R E, Kerbel G D, Milovich J. 1994. Toroidal gyro-Landau fluid model turbulence simulations in a nonlinear ballooning mode representation with radial modes. Physics of Plasmas, 1(7): 2229-2244. doi: 10.1063/1.870934
    [58] Wan C, Yu Z, Pau A, et al. 2022. EAST discharge prediction without integrating simulation results. Nuclear Fusion, 62(12): 126060. doi: 10.1088/1741-4326/ac9c1a
    [59] Wan C, Yu Z, Pau A, et al. 2023. A machine-learning-based tool for last closed-flux surface reconstruction on tokamaks. Nuclear Fusion, 63(5): 056019. doi: 10.1088/1741-4326/acbfcc
    [60] Wang T, He X, Li M, et al. 2024. Ab initio characterization of protein molecular dynamics with AI2BMD. Nature, 635(8040): 1019-1027. doi: 10.1038/s41586-024-08127-z
    [61] Wang Z, Schuster E, Rafiq T, et al. 2025. Enabling model-based scenario control in EAST by fast surrogate modeling within COTSIM. Fusion Engineering and Design, 215: 114969. doi: 10.1016/j.fusengdes.2025.114969
    [62] Xiao C, Liu M, Yao K, et al. 2025. Ultrabroadband and band-selective thermal meta-emitters by machine learning. Nature, 643(8070): 80-88. doi: 10.1038/s41586-025-09102-y
    [63] Yang Z, Xia F, Song X, et al. 2022. Real-time disruption prediction in the plasma control system of HL-2A based on deep learning. Fusion Engineering and Design, 182: 113223. doi: 10.1016/j.fusengdes.2022.113223
    [64] Yang Z, Zhong W, Xia F, et al. 2025. Implementing deep learning-based disruption prediction in a drifting data environment of new tokamak: HL-3. Nuclear Fusion, 65(2): 026030. doi: 10.1088/1741-4326/ada396
    [65] Zhang Y C, Wang S, Yuan Q P, et al. 2024. Real-time feedback control of βp based on deep reinforcement learning on EAST. Plasma Physics and Controlled Fusion, 66(5): 055014. doi: 10.1088/1361-6587/ad3749
    [66] Zheng G H, Yang Z Y, Liu S F, et al. 2024. Real-time equilibrium reconstruction by multi-task learning neural network based on HL-3 tokamak. Nuclear Fusion, 64(12): 126041. doi: 10.1088/1741-4326/ad8014
    [67] Zheng J, Qin J, Lu K, et al. 2022. Recent progress in Chinese fusion research based on superconducting tokamak configuration. The Innovation, 3(4): 100269. doi: 10.1016/j.xinn.2022.100269
    [68] Zheng W, Hu F R, Zhang M, et al. 2018. Hybrid neural network for density limit disruption prediction and avoidance on J-TEXT tokamak. Nuclear Fusion, 58(5): 056016. doi: 10.1088/1741-4326/aaad17
    [69] Zhong W. 2024. China’s HL-3 tokamak achieves H-mode operation with 1 MA plasma current. The Innovation, 5(1): 100555. doi: 10.1016/j.xinn.2023.100555
    [70] Zhong W, Chen W, Ji X. 2026. Breakthrough in China’s fusion energy: HL-3 tokamak achieves high ion temperature and fusion triple product. The Innovation, 7(2).
    [71] Zhou S, Liang Y, Knieps A, et al. 2022. Equilibrium effects on the structure of island divertor and its impact on the divertor heat flux distribution in Wendelstein 7-X. Nuclear Fusion, 62(10): 106002. doi: 10.1088/1741-4326/ac8439
  • 加载中
图(13)
计量
  • 文章访问数:  206
  • HTML全文浏览量:  66
  • PDF下载量:  75
  • 被引次数: 0
出版历程
  • 收稿日期:  2025-12-31
  • 录用日期:  2026-04-07
  • 网络出版日期:  2026-04-15

目录

    /

    返回文章
    返回