留言板

尊敬的读者、作者、审稿人, 关于本刊的投稿、审稿、编辑和出版的任何问题, 您可以本页添加留言。我们将尽快给您答复。谢谢您的支持!

姓名
邮箱
手机号码
标题
留言内容
验证码

同轴涡环相互作用过程的噪声分析

臧振宇 周志腾 王士召

臧振宇, 周志腾, 王士召. 同轴涡环相互作用过程的噪声分析. 力学进展, 2026, 56(1): 260-274 doi: 10.6052/1000-0992-25-020
引用本文: 臧振宇, 周志腾, 王士召. 同轴涡环相互作用过程的噪声分析. 力学进展, 2026, 56(1): 260-274 doi: 10.6052/1000-0992-25-020
Zang Z Y, Zhou Z T, Wang S Z. Investigation of noise generated by the interactions of coaxial vortex rings. Advances in Mechanics, 2026, 56(1): 260-274 doi: 10.6052/1000-0992-25-020
Citation: Zang Z Y, Zhou Z T, Wang S Z. Investigation of noise generated by the interactions of coaxial vortex rings. Advances in Mechanics, 2026, 56(1): 260-274 doi: 10.6052/1000-0992-25-020

同轴涡环相互作用过程的噪声分析

doi: 10.6052/1000-0992-25-020 cstr: 32046.14.1000-0992-25-020
基金项目: 感谢基础科学中心项目“非线性力学的多尺度问题” (No. 11988102)、国家自然科学基金 (92252203) 和中国科学院稳定支持基础研究领域青年团队计划 (YSBR-087) 对本文研究工作的大力支持.
详细信息
    作者简介:

    王士召, 中国科学院力学研究所研究员, 博士生导师; 研究方向为湍流与计算流体力学, 致力于发展湍流大涡模拟的近壁模型、复杂边界流动的数值方法和大规模并行算法, 并将其应用于湍流噪声和高性能推进机理方面的研究

    通讯作者:

    wangsz@lnm.imech.ac.cn

  • 中图分类号: O351

Investigation of noise generated by the interactions of coaxial vortex rings

More Information
  • 摘要: 涡环同轴相互作用是亚音速射流中的典型流动结构和重要的噪声来源. 调控涡环相互作用过程的加减速运动是降低射流噪声的关键. 已有的研究工作发现, 弱涡环径向加速度是低频高振幅噪声的主导因素. 本文基于Dyson薄核涡环模型研究了这一现象的成立条件和规律. 通过将声源分解为涡环轴向和径向动力学参数乘积的形式, 研究了不同初始环量比和初始半径比条件下的涡环相互作用过程, 发现了主导总声源脉冲的临界初始半径比. 只有当初始涡环半径比小于临界初始半径比时, 弱涡环径向加速度声源项对总声源的贡献才大于强涡环. 通过对涡环相互作用过程的定量分析, 发现了声源脉冲峰值与涡环轴向速度、径向加速度峰值的关联关系, 并发现强涡环的反向运动, 会造成强涡环声源项产生反相位脉冲.

     

  • 图  1  涡环及坐标系示意图

    图  2  (a) 涡环总声源与六项声源分量随时间的变化, (b)涡环总声源强度与径向加速度声源项的关系

    图  3  (a)总声源波动的负脉冲峰值随不同初始环量比与半径比的变化, (b)初始环量比$\eta = 1.5$的涡环同轴相互作用产生的总声源波动负脉冲峰值随不同初始半径比的变化

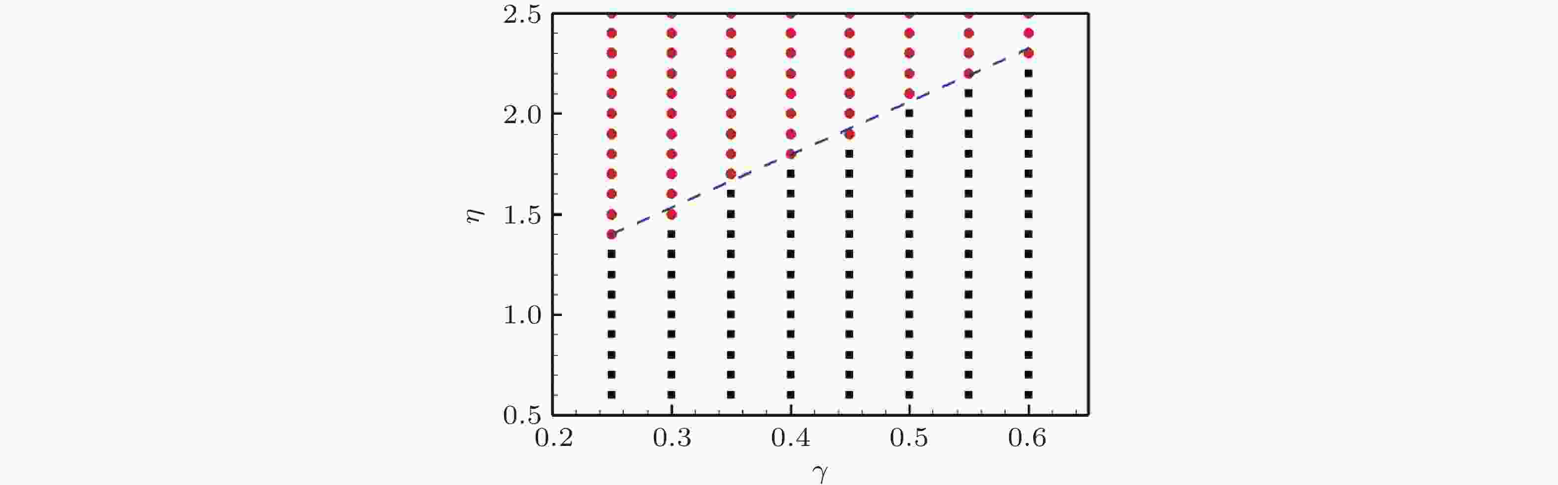
    图  4  涡环径向加速度声源项对总声源贡献的变化. ■表示弱涡环径向加速度声源项对总声源的贡献更大, ●表示强涡环径向加速度声源项对总声源的贡献更大

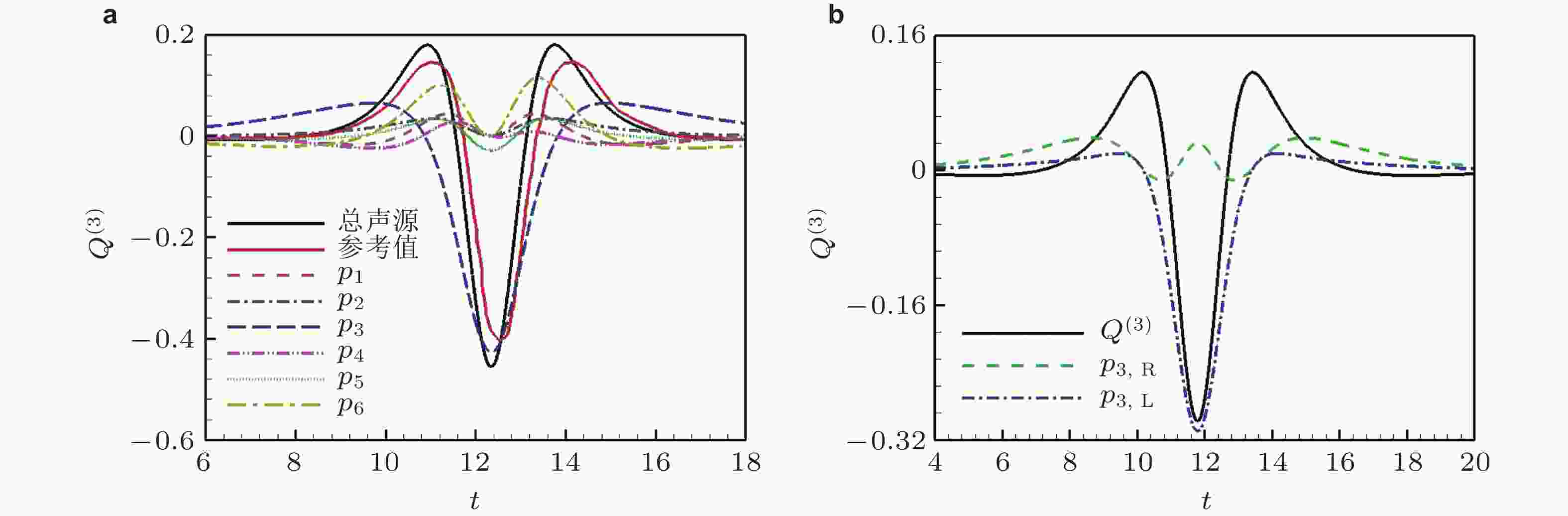
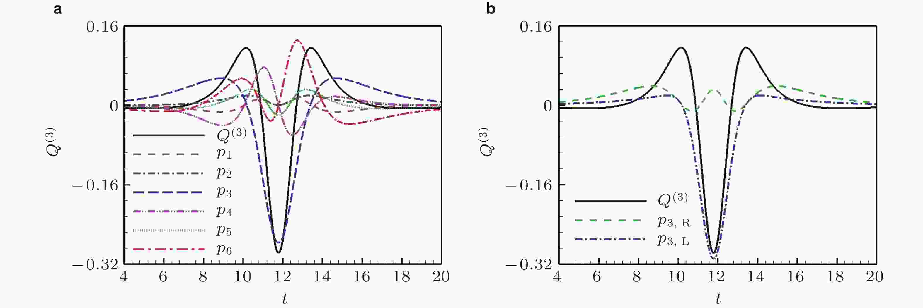
    图  5  (a) 初始条件为$\gamma = 0.3,\;\eta = 1.8$的同轴双涡环相互作用中噪声源的分解; (b) 涡环总声源强度与径向加速度声源项的关系

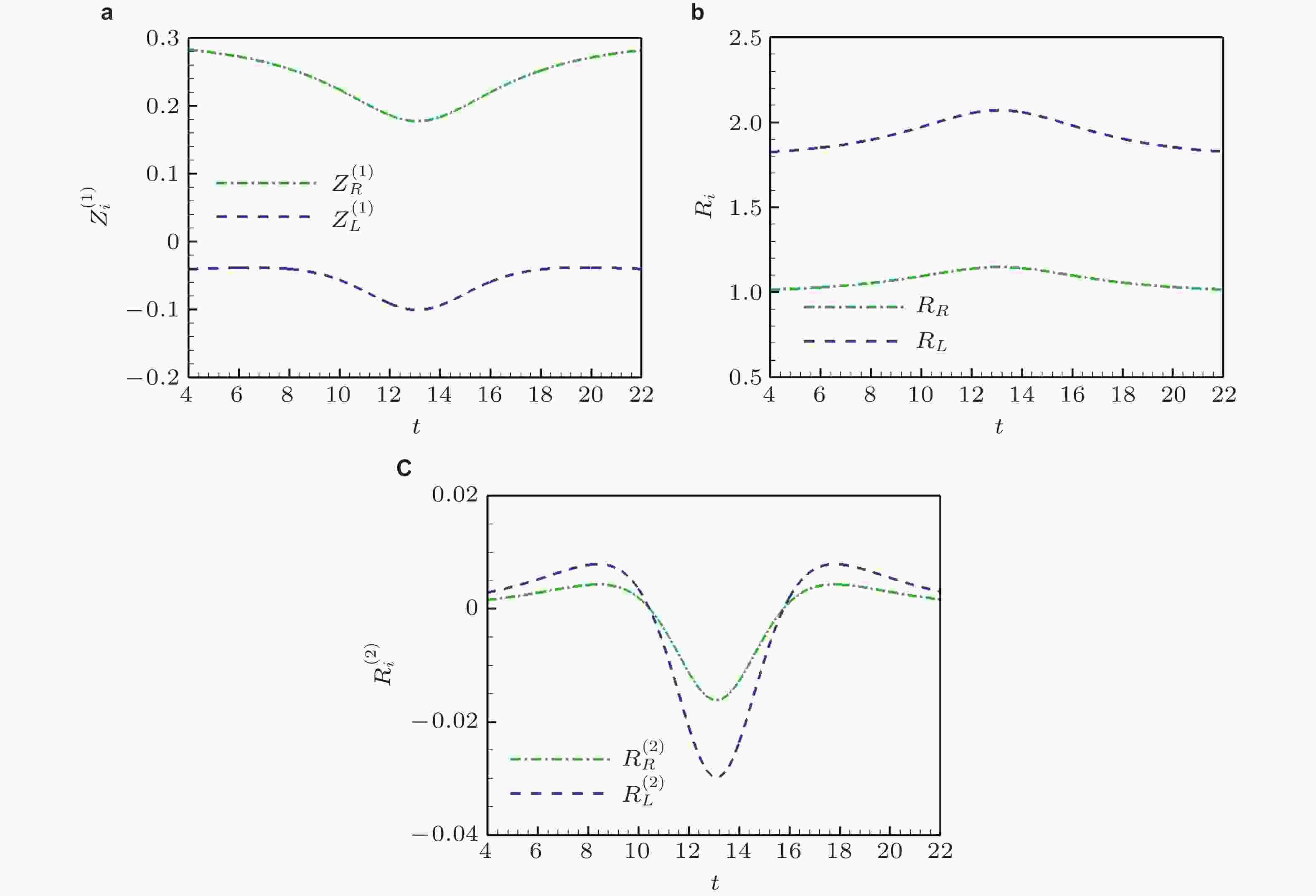
    图  6  初始条件为$\gamma = 0.3, \; \eta = 1.8$的同轴双涡环相互作用中 (a) 涡环轴向速度随时间的变化; (b) 涡环半径随时间的变化; (c) 涡环径向加速度随时间的变化

    图  7  (a) 初始条件为$ \gamma=0.5,\ \eta=1.2 $的同轴双涡环相互作用中噪声源的分解; (b) 涡环总声源强度与径向加速度声源项的关系

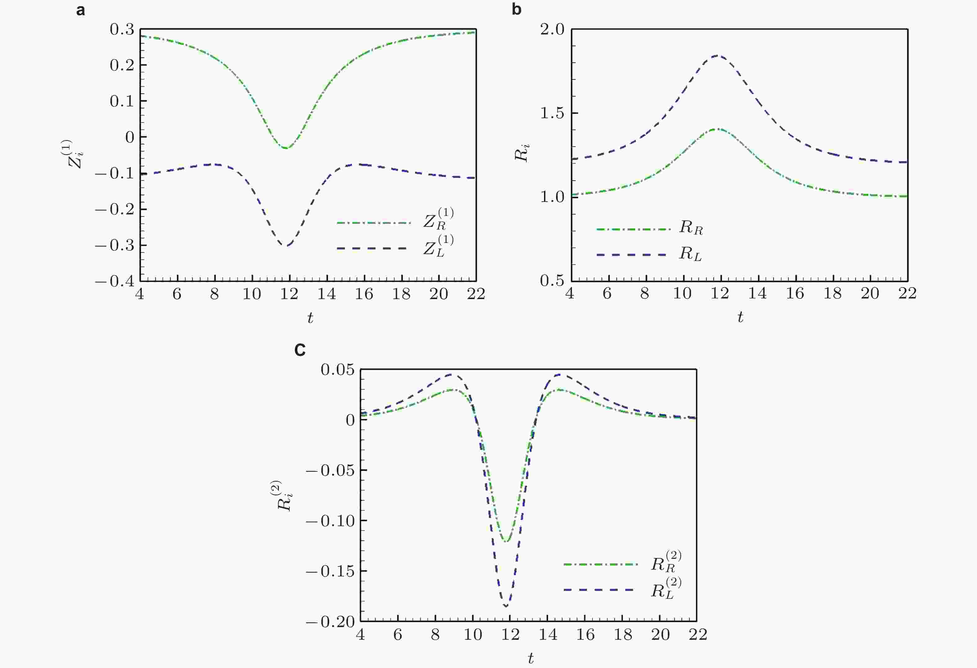
    图  8  初始条件为$\gamma = 0.5, \; \eta = 1.2$的同轴双涡环相互作用中 (a) 涡环轴向速度随时间的变化; (b) 涡环半径随时间的变化; (c) 涡环径向加速度随时间的变化

  • [1] 李晓东, 徐希海, 高军辉, 何敬玉. 2018. 喷流噪声研究进展与展望. 空气动力学学报, 36(3): 398-409 (Li X D, Xu X H, Gao J H, He J Y. 2018. Progress and prospect on jet noise study. Acta Aerodynamica Sinica, 36(3): 398-409).

    Li X D, Xu X H, Gao J H, He J Y. 2018. Progress and prospect on jet noise study. Acta Aerodynamica Sinica, 36(3): 398-409.
    [2] 吴佳峰, 黄迅. 2022. 螺旋桨中的流动噪声问题. 空气动力学学报, 40(3): 10-21 (Wu J F, Huang X. 2022. Flow-induced noise problems of propellers. Acta Aerodynamica Sinica, 40(3): 10-21).

    Wu J F, Huang X. 2022. Flow-induced noise problems of propellers. Acta Aerodynamica Sinica, 40(3): 10-21.
    [3] 毛义军, 祁大同. 2009. 叶轮机械气动噪声的研究进展. 力学进展, 39(2): 189-202. (Mao Y J, Qi D T. 2009. Review of aerodynamic noise in turbomachinery. Advances in Mechanics, 39(2): 189-202).

    Mao Y J, Qi D T. 2009. Review of aerodynamic noise in turbomachinery. Advances in Mechanics, 39(2): 189-202.
    [4] 杨海华, 周林, 万振华, 孙德军. 2016. 亚声速旋拧射流噪声中的温度效应. 航空学报, 37(8): 2436-2444 (Yang H H, Zhou L, Wan Z H, Sun D J. 2016. Temperature effects on noise in subsonic swirling jets. Acta Aeronautica et Astronautica Sinica, 37(8): 2436-2444).

    Yang H H, Zhou L, Wan Z H, Sun D J. 2016. Temperature effects on noise in subsonic swirling jets. Acta Aeronautica et Astronautica Sinica, 37(8): 2436-2444.
    [5] 翟超慧, 刘妍琛, 杜永乐. 2020. 喷流噪声声源识别与声源机理分析方法进展. 航空工程进展, 11(1): 1-9. (Zhai C H, Liu Y C, Du Y L. 2020. Progress and prospective of the identification of noise sources and analysis of noise source mechanisms in jets. Advances in Aeronautical Science and Engineering, 11(1): 1-9).

    Zhai C H, Liu Y C, Du Y L. 2020. Progress and prospective of the identification of noise sources and analysis of noise source mechanisms in jets. Advances in Aeronautical Science and Engineering, 11(1): 1-9.
    [6] Borisov A V, Kilin A A, Mamaev, I S. 2013. The dynamics of vortex rings: Leapfrogging, choreographies and the stability problem. Regular and Chaotic Dynamics, 18: 33-62. doi: 10.1134/S1560354713010036
    [7] Chatelain P, Kivotides D, Leonard, A. 2003. Reconnection of colliding vortex rings. Physical Review Letters, 90(5), 054501.
    [8] Dyson F W. 1893. The potential of an anchor ring. Part II. Philosophical Transactions of the Royal Society of London, 1041-1106.
    [9] Feng F, Meng X, Wang Q. 2020. Sound generation by a pair of co-rotating vortices using spectral acoustic analogy. Journal of Sound and Vibration, 469: 115120. doi: 10.1016/j.jsv.2019.115120
    [10] Fraenkel L E. 1972. Examples of steady vortex rings of small cross-section in an ideal fluid. Journal of Fluid Mechanics, 51(1): 119-135. doi: 10.1017/S0022112072001107
    [11] Fukumoto Y, Moffatt H K. 2000. Motion and expansion of a viscous vortex ring. Part 1. A higher-order asymptotic formula for the velocity. Journal of Fluid Mechanics, 417: 1-45.
    [12] Helmholtz H V. 1858. Über integrale der hydrodynamischen Gleichungen, welche den Wirbelbewegungen entsprechen. J. Reine Angew. Math., 55: 25–55.
    [13] Inoue O, Hattori Y, Sasaki T. 2000. Sound generation by coaxial collision of two vortex rings. Journal of Fluid Mechanics, 424: 327-365. doi: 10.1017/S0022112000002123
    [14] Inoue O. 2002. Sound generation by the leapfrogging between two coaxial vortex rings. Physics of Fluids, 14: 3361-3364. doi: 10.1063/1.1500360
    [15] Kambe T, Minota T. 1981. Sound radiation from vortex systems. Journal of Sound and Vibration, 74: 61-72. doi: 10.1016/0022-460X(81)90491-0
    [16] Li B, Lyu B. 2023. Acoustic emission due to the interaction between shock and instability waves in two-dimensional supersonic jet flows. Journal of Fluid Mechanics, 954: A35.
    [17] Lim T T, Nickels T B. 1992. Instability and reconnection in the head-on collision of two vortex rings. Nature, 357(6375): 225-227. doi: 10.1038/357225a0
    [18] Matsuzawa T, Mitchell N P, Perrard S, Irvine W T. 2023. Creation of an isolated turbulent blob fed by vortex rings. Nature Physics, 19(8): 1193-1200. doi: 10.1038/s41567-023-02052-0
    [19] McKeown R, Ostilla-Mónico R, Pumir A, Brenner M P, Rubinstein S M. 2018. Cascade leading to the emergence of small structures in vortex ring collisions. Physical Review Fluids, 3(12): 124702. doi: 10.1103/PhysRevFluids.3.124702
    [20] Moffatt H K, Kimura Y. 2019. Towards a finite-time singularity of the Navier–Stokes equations Part 1. Derivation and analysis of dynamical system. Journal of Fluid Mechanics, 861: 930-967.
    [21] Möhring W. 1978. On vortex sound at low Mach number. Journal of Fluid Mechanics, 85(4): 685-691. doi: 10.1017/S0022112078000865
    [22] Norbury J. 1973. A family of steady vortex rings. Journal of Fluid Mechanics, 57(3): 417-431. doi: 10.1017/S0022112073001266
    [23] Powell A. 1964. Theory of vortex sound. The Journal of the Acoustical Society of America, 36: 177-195. doi: 10.1121/1.1918931
    [24] Schram C, Hirschberg A. 2003. Applicati on of vortex sound theory to vortex-pairing noise: Sensitivity to errors in flow data. Journal of Sound and Vibration, 266: 1079-1098.
    [25] Su J L, Yang D, Morgans A. 2021. Modelling of sound-vortex interaction for the flow through an annular aperture. Journal of Sound and Vibration, 509: 116250.
    [26] Sullivan I S, Niemela J J, Hershberger R E, Bolster D, Donnelly R J. 2008. Dynamics of thin vortex rings. Journal of Fluid Mechanics, 609: 319-347. doi: 10.1017/S0022112008002292
    [27] Tang S K, Ko N W M. 1993. A study on the noise generation mechanism in a circula rair jet. Journal of Fluids Engineering, Transactions of the ASME, 115: 425-435.
    [28] Tang S K, Ko N. 1994. Coherent structure interactions in an unexcited coaxial jet. Experiments in Fluids, 17(3): 147-157. doi: 10.1007/BF00190911
    [29] Tang S K, Ko N. 1995a. On sound generated from the interaction of two inviscid coaxial vortex rings moving in the same direction. Journal of Sound and Vibration, 187: 287-310. doi: 10.1006/jsvi.1995.0522
    [30] Tang S K, Ko N. 1995b. Sound generation by a vortex ring collision. The Journal of the Acoustical Society of America, 98: 3418-3427. doi: 10.1121/1.413793
    [31] Verzicco R, Iafrati A, Riccardi G, et al. 1997. Analysis of the sound generated by the pairing of two axisymmetric co-rotating vortex rings. Journal of Sound and Vibration, 200: 347-358. doi: 10.1006/jsvi.1996.0714
    [32] Wang B, Yang Y. 2024. Transition induced by a bursting vortex ring in channel flow. Journal of Fluid Mechanics, 986: A11. doi: 10.1017/jfm.2024.353
    [33] Yao J, Shen W, Yang Y, Hussain F. 2022. Helicity dynamics in viscous vortex links. Journal of Fluid Mechanics, 944: A41.
    [34] Zaman K B M Q, Hussain A K M F. 1980. Vortex pairing in a circular jet under controlled excitation. Part 1. General jet response. Journal of Fluid Mechanics, 101(3): 449-491. doi: 10.1017/S0022112080001760
    [35] Zang Z Y, Zhou Z T, Liu Y, Wang S Z. 2025. Tilting of vortex rings in the oblique collision reduces the longitudinal quadrupole and octupole modes of aerodynamic sound. Journal of Fluid Mechanics, 1015: A1.
    [36] Zhang E N, Su W D. 2025. Evolution of a family of vortex rings with zero circulation. Journal of Fluid Mechanics, 1015: A29.
    [37] Zhao Y H, Ding J, Weng P F, Zhou Q, Dong Y H, Yang X Q. 2025. Method of aerodynamic noise source identification for cylinder flows. Journal of Fluid Mechanics, 1012: A13.
    [38] Zhong S Y, Zhang X. 2017. A sound extrapolation method for aeroacoustics far-field prediction in presence of vortical waves. Journal of Fluid Mechanics, 820: 424-450.
  • 加载中
图(8)
计量
  • 文章访问数:  318
  • HTML全文浏览量:  130
  • PDF下载量:  95
  • 被引次数: 0
出版历程
  • 收稿日期:  2025-07-29
  • 录用日期:  2025-10-23
  • 网络出版日期:  2025-10-24
  • 刊出日期:  2026-03-25

目录

    /

    返回文章
    返回