留言板

尊敬的读者、作者、审稿人, 关于本刊的投稿、审稿、编辑和出版的任何问题, 您可以本页添加留言。我们将尽快给您答复。谢谢您的支持!

姓名
邮箱
手机号码
标题
留言内容
验证码

飞行器多体分离数值模拟方法及应用

李欢 崔鹏程 贾洪印 唐静 张健 龚小权 吴晓军 章超 张培红 周乃春 张耀冰

李欢, 崔鹏程, 贾洪印, 唐静, 张健, 龚小权, 吴晓军, 章超, 张培红, 周乃春, 张耀冰. 飞行器多体分离数值模拟方法及应用. 力学进展, 2025, 55(3): 497-540 doi: 10.6052/1000-0992-24-040
引用本文: 李欢, 崔鹏程, 贾洪印, 唐静, 张健, 龚小权, 吴晓军, 章超, 张培红, 周乃春, 张耀冰. 飞行器多体分离数值模拟方法及应用. 力学进展, 2025, 55(3): 497-540 doi: 10.6052/1000-0992-24-040
Li H, Cui P C, Jia H Y, Tang J, Zhang J, Gong X Q, Wu X J, Zhang C, Zhang P H, Zhou N C, Zhang Y B. Numerical simulation method and application of aircraft multi-body separation. Advances in Mechanics, 2025, 55(3): 497-540 doi: 10.6052/1000-0992-24-040
Citation: Li H, Cui P C, Jia H Y, Tang J, Zhang J, Gong X Q, Wu X J, Zhang C, Zhang P H, Zhou N C, Zhang Y B. Numerical simulation method and application of aircraft multi-body separation. Advances in Mechanics, 2025, 55(3): 497-540 doi: 10.6052/1000-0992-24-040

飞行器多体分离数值模拟方法及应用

doi: 10.6052/1000-0992-24-040 cstr: 32046.14.1000-0992-24-040
基金项目: 国家自然科学基金 (12102453)、国家数值风洞项目、高层次人才项目 (pzt20220081) 资助项目. 同时向国家数值风洞工程FlowStar团队成员马明生、邓有奇、郑鸣、李彬、李明、陈江涛、周桂宇、马戎、赵炜、赵辉、程锋、付云峰、何协、向栋、赵慧勇、莫焘、杨悦悦、张杰、陈洪杨等致谢, 感谢团队成员在多体分离数值模拟技术方面的研发和应用支持.
详细信息
    作者简介:

    李欢, 第一作者. 中国空气动力研究与发展中心助理研究员. 长期从事航空航天飞行器多体分离关键技术及应用研究. 主持和参与完成各类重点项目30余项. 获部委级科技进步二等奖1项, 授权国家专利19项, 发表论文15篇

    崔鹏程, 通讯作者. 中国空气动力研究与发展中心助理研究员. 长期从事航空航天飞行器多体分离关键技术及应用研究. 发展了基于超网格的守恒型多体分离重叠网格方法、基于伴随的网格自适应优化技术和宽速域高保真度数值格式. 先后承担30余项国家及省部级科研项目, 获省部级科技进步奖2项, 授权专利20余项, 发表论文30余篇, 出版译著3部

    贾洪印, 通讯作者. 中国空气动力研究与发展中心高级工程师, 硕士研究生导师, 主要从事飞行器布局设计、气动问题攻关研究和CFD验证与确认工作, 负责完成各类项目30余项, 获部委级科技进步二等奖2项, 授权国家发明专利30余项, 发表论文40余篇

    吴晓军, 通讯作者. 中国空气动力研究与发展中心研究员, 国家数值风洞(NNW)工程副总设计师, 验证与确认系统总设计师, 计算空气动力学CFD专委会委员. 长期从事飞行器气动布局设计、飞行器气动关键技术攻关和CFD验证与确认等研究. 先后主持完成国家和省部级重大项目56项, 获省部级科技进步二等奖5项, 三等奖2项, 发表学术论文50余篇, 译著3部

    通讯作者:

    pccui@foxmail.com

  • 中图分类号: V1

Numerical simulation method and application of aircraft multi-body separation

More Information
  • 摘要: 机载投放分离、航天器串联/并联级间分离、整流罩分离和子母弹抛撒等飞行器多体分离问题在当前航空航天领域普遍存在, 安全可控的多体分离是飞行器执行航空航天任务的重要前提. 近年来, 随着飞行任务的多样化和飞行边界的扩展, 飞行器面临更加复杂的多体分离场景, 多体分离方案设计更加精细化, 对多体分离数值模拟的精细度提出了更高的要求. 近年来, 针对极具复杂性和挑战性的多体分离问题, 计算流体力学在复杂场景精细化模拟方面取得了巨大的进步. 本文针对飞行器多体分离数值模拟方法及应用的最新研究进展进行了回顾与展望. 首先总结了飞行器多体分离精细化数值模拟方法, 主要包括耦合网格动态优化技术、耦合分离涡模拟方法以及高精度时间推进耦合算法. 其次总结了复杂约束/流场/控制下的飞行器多体分离耦合模拟方法及其应用, 介绍典型复杂场景飞行器多体分离动态干扰复杂机理认识. 最后指出了飞行器多体分离数值模拟存在的问题及未来发展方向.

     

  • 图  1  非结构混合网格单元加密模式. (a)三角形单元加密方法, (b)四边形单元加密方法, (c)四面体单元加密方法, (d)三棱柱单元加密方法, (e)六面体单元加密方法, (f)金字塔单元加密方法 (唐静 等 2023b)

    图  2  网格层级关系和对应的树形数据结构图 (唐静 等 2023b)

    图  3  TSTO初始网格和不同网格规模计算的俯仰角对比. (a) TSTO初始网格, (b)不同网格规模计算的俯仰角 (唐静 等 2023b)

    图  4  分离过程法向位移和俯仰角对比图. (a)分离过程法向位移比较, (b)分离过程俯仰角比较 (唐静 等 2023b)

    图  5  分离前期自适应后网格图. (a)分离前期流场图, (b)分离前期自适应后网格图 (唐静 等 2023b)

    图  6  分离中期自适应后网格图. (a)分离中期流场图, (b)分离中期自适应后网格图 (唐静 等 2023b)

    图  7  t = 25 ms Q准则等值面图(Q = 3 × 105, 压力系数着色). (a) DES, (b) RANS (李欢 等 2022)

    图  8  t = 25 ms 弹舱对称截面马赫数云图(导弹压力系数着色). (a) DES, (b) RANS (李欢 等 2022)

    图  9  t = 70 ms 弹舱对称截面马赫数云图(导弹压力系数着色). (a) DES, (b) RANS (李欢 等 2022)

    图  10  t = 100 ms弹舱对称截面马赫数云图和压力系数云图(DES模拟) (李欢 等 2022)

    图  11  导弹所受俯仰力矩、角速度和俯仰姿态角随时间变化图. (a)俯仰力矩, (b)俯仰角速度, (c)俯仰角 (李欢 等 2022)

    图  12  时间推进耦合策略示意图. (a)松耦合, (b)紧耦合

    图  13  新的时间推进耦合策略示意图

    图  14  子母弹分离计算结果. (a)典型时刻空间对称面和子弹等值线图及压力差量云图, (b)不同方法子弹1所受俯仰力矩及俯仰角对比

    图  15  耦合舵面控制的多体分离仿真流程 (周乃春 等 2013)

    图  16  WPSF模型舵面偏转随时间变化方式A和B. (a)舵面偏转规律A, (b)舵面偏转规律B (周乃春 等 2013)

    图  17  外挂物姿态随时间变化曲线. (a)偏航角, (b)俯仰角, (c)滚转角 (周乃春 等 2013)

    图  18  不同控制律外挂物的位置和姿态对比图. (a) t = 0.15 s, (b) 0.30 s (周乃春 等 2013)

    图  19  头罩分离的数值模拟方案图

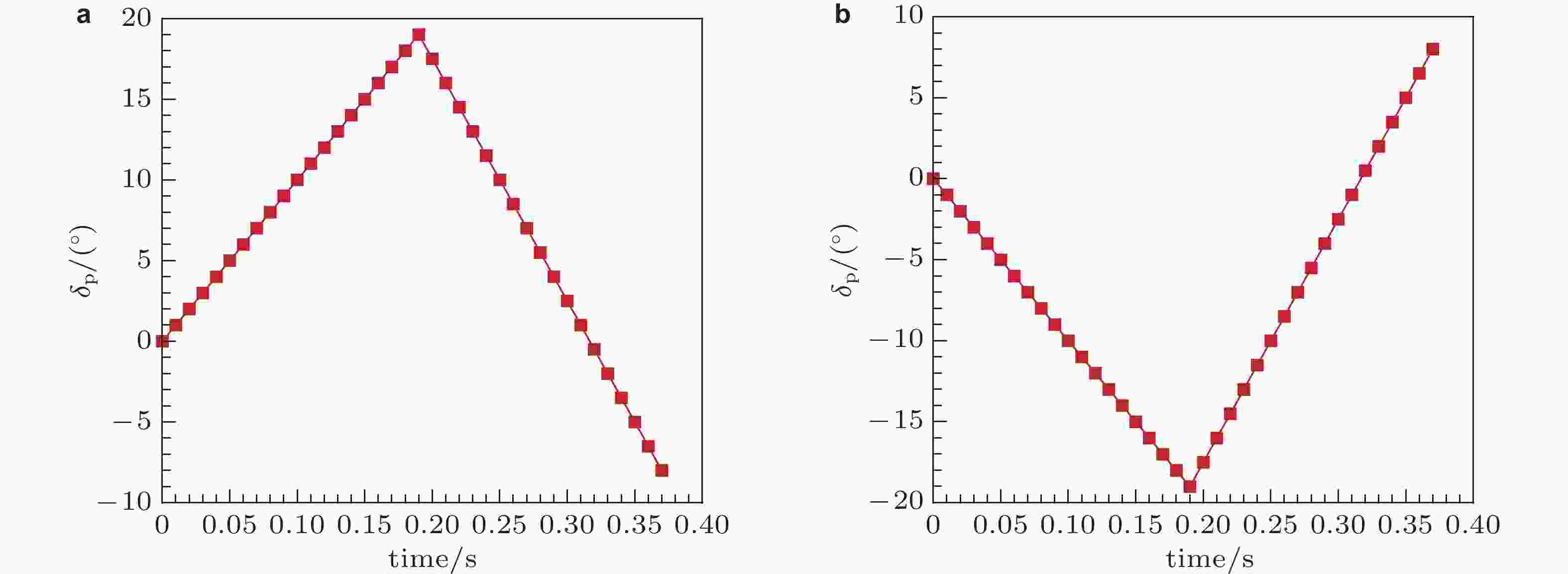
    图  20  弹体俯仰姿态角及所受俯仰力矩随时间变化图. (a)弹体俯仰姿态角, (b)弹体受俯仰力矩

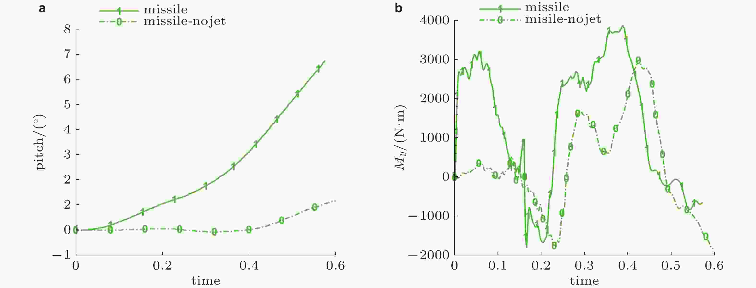
    图  21  t = 38 ms时刻截面的压力系数等值线图和表面压力系数分布云图. (a)耦合喷流, (b)不耦合喷流

    图  22  t = 78 ms时刻截面的压力系数等值线图和表面压力系数分布云图. (a)耦合喷流, (b)不耦合喷流

    图  23  轨道级横向分离不同时刻流场涡结构图. (a)轨道级重心为0.75, (b)轨道级重心为0.80 (Wang et al. 2023a)

    图  24  轨道级纵向分离不同时刻流场图. (a)尖锥模型, (b)轨道级头部无尖锥 (Wang Y & Wang Y P 2024)

    图  25  约束力节点分解示意图 (Toniolo et al. 2008)

    图  26  TSTO耦合约束反力控制的级间分离模拟流程图及尾部约束示意图. (a)模拟流程图, (b)尾部约束示意图

    图  27  t = 0 ms级间流场结构. (a) 激波IS作用干扰区的空间流场, (b) 激波RS1作用干扰区的空间流场(范孝华 等 2023)

    图  28  TSTO两级俯仰角和垂直方向位移随时间示意图. (a) 两级俯仰角, (b)垂直方向位移

    图  29  不同计算方法的网格和结果云图对比. (a)旋翼贴体网格和计算结果云图, (b)旋翼桨盘网格和计算结果云图(Li et al. 2020)

    图  30  不同计算方法的动压对比图. (a)距离桨盘下方0.215倍桨盘半径, (b)距离桨盘下方0.325倍桨盘半径(Li et al. 2020)

    图  31  有无滑流分离体角速度对比. (a)外挂物俯仰方向角速度, (b)外挂物偏航方向角速度图

    图  32  有无滑流数值模拟下洗速度等值线图对比 (空间截面为下洗速度着色, 直升机和外挂物表面为压力系数分布着色). (a)考虑直升机滑流, (b)不考虑直升机滑流

    图  33  无扰流板数值计算结果. (a)压力系数云图和马赫数云图, (b)流线和涡量等值面 (Cui et al. 2022b)

    图  35  扰流板高度h = 4.8δ数值计算结果. (a)压力系数云图和马赫数云图, (b)流线和涡量等值面 (Cui et al. 2022b)

    图  36  有无扰流板空腔流动示意图. (a)无扰流板, (b)带扰流板 (Cui et al. 2022b)

    图  37  不同扰流板高度分离特性对比. (a)分离物姿态角对比图, (b)分离安全性对比图 (Cui et al. 2022b)

    图  34  扰流板高度h = δ数值计算结果. (a)压力系数云图和马赫数云图, (b)流线和涡量等值面 (Cui et al. 2022b)

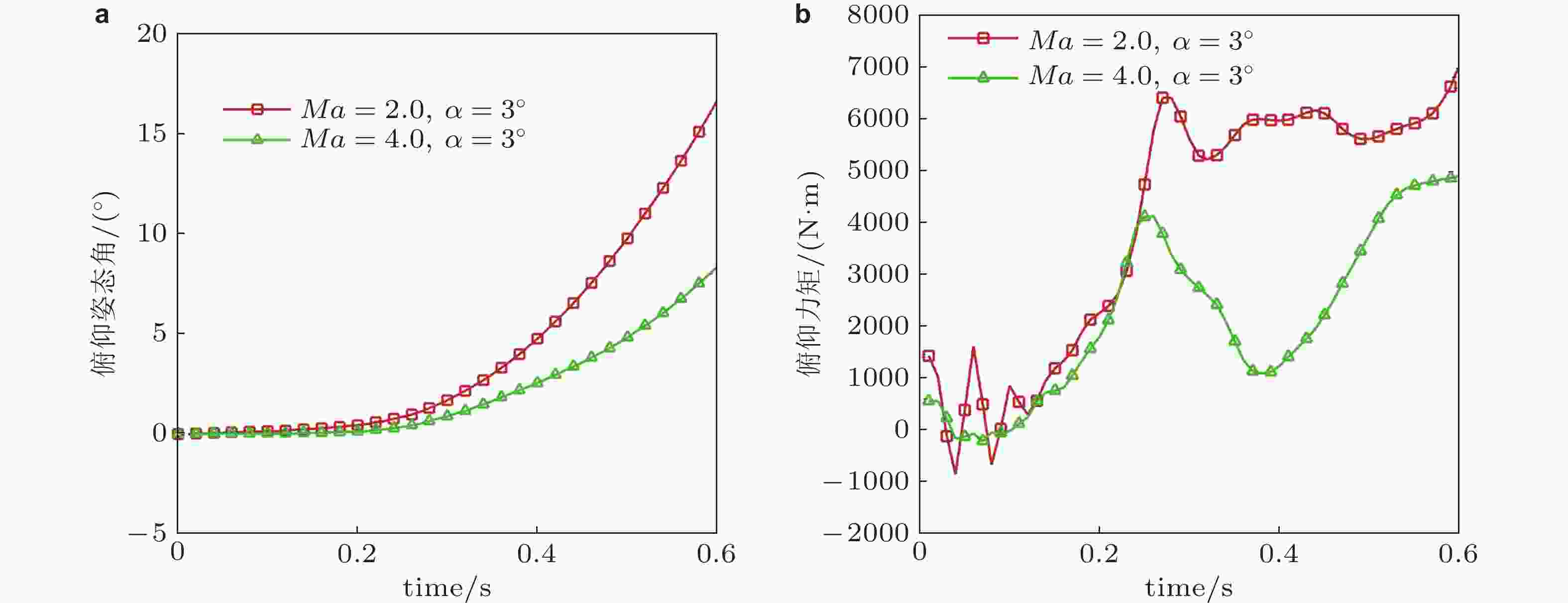
    图  38  马赫数2和马赫数4时俯仰姿态角和俯仰力矩对比. (a)仰姿态角, (b)俯仰力矩 (陈兵 等 2024)

    图  39  t = 0.2 s, 马赫数2和马赫数4压力云图对比. (a)马赫数2, (b)马赫数4 (陈兵 等 2024)

    图  40  t = 0.26 s, 马赫数2和马赫数4压力云图对比. (a)马赫数2, (b)马赫数4 (陈兵 等 2024)

    图  41  t = 0.38 s, 马赫数2和马赫数4压力云图对比. (a)马赫数2, (b)马赫数4 (陈兵 等 2024)

    图  42  头罩分离气动力图. (a)法向力, (b)俯仰力矩 (Cui et al. 2022a)

    图  43  A类涡动态转移演化. (a) 19.8 ms, (b) 20.7 ms, (c) 21.6 ms, (d) 24.3 ms (Cui et al. 2022a)

  • [1] 艾邦成, 宋威, 董垒, 等. 2020. 内埋武器机弹分离相容性研究进展综述. 航空学报, 41(10): 023809 (Ai B C, Song W, Dong L, et al. 2020. Review on aircraft-store separation compatibility for the internal weapons. Acta Aeronautica et Astronautica Sinica, 41(10): 023809).

    Ai B C, Song W, Dong L, et al. 2020. Review on aircraft-store separation compatibility for the internal weapons. Acta Aeronautica et Astronautica Sinica, 41(10): 023809.
    [2] 曹琳婷, 王丁喜, 黄秀全. 2022. 叶轮机气弹耦合方程求解的时间推进方法评估. 航空发动机, 48(5): 94-100 (Cao L T, Wang D X, Huang X Q. 2022. Evaluation of time-marching method for solving aeroelastic coupled equations of turbomachinery. Aeroengine, 48(5): 94-100).

    Cao L T, Wang D X, Huang X Q. 2022. Evaluation of time-marching method for solving aeroelastic coupled equations of turbomachinery. Aeroengine, 48(5): 94-100
    [3] 陈兵, 罗磊, 蒋安林, 等. 2024. 高马赫数内埋武器分离特性数值模拟研究. 北京航空航天大学学报, 50(7): 2113-2122 (Chen B, Luo L, Jiang A L, et al. 2024. Numerical simulation of separation characteristics for internally buried weapon at high Mach number. Journal of Beijing University of Aeronautics and Astronautics, 50(7): 2113-2122).

    Chen B, Luo L, Jiang A L, et al. 2024. Numerical simulation of separation characteristics for internally buried weapon at high Mach number. Journal of Beijing University of Aeronautics and Astronautics, 50(7): 2113-2122
    [4] 陈坚强, 吴晓军, 张健, 等. 2021. FlowStar: 国家数值风洞(NNW)工程非结构通用CFD软件. 航空学报, 42(9): 625739 (Chen J Q, Wu X J, Zhang J, et al. 2021. FlowStar: General unstructured-grid CFD software for national numerical wind tunnel (NNW) Project. Acta Aeronautica et Astronautica Sinica, 42(9): 625739).

    Chen J Q, Wu X J, Zhang J, et al. 2021. FlowStar: General unstructured-grid CFD software for national numerical wind tunnel (NNW) Project. Acta Aeronautica et Astronautica Sinica, 42(9): 625739
    [5] 陈坚强. 2021. 国家数值风洞(NNW)工程关键技术研究进展. 中国科学: 技术科学, 51: 1326-1347 (Chen J Q. 2021. Advances in the key technologies of Chinese national numerical wind tunnel project. Sci Sin Tech, 51: 1326-1347). doi: 10.1360/SST-2020-0334

    Chen J Q. 2021. Advances in the key technologies of Chinese national numerical wind tunnel project. Sci Sin Tech, 51: 1326-1347 doi: 10.1360/SST-2020-0334
    [6] 陈坚强, 等. 2023. 计算流体力学2035愿景. 北京: 科学出版社 (Chen J Q, et al. 2023. Computational Fluid Dynamics 2035 Vision in China. Beijing: Science Press).

    Chen J Q, et al. 2023. Computational Fluid Dynamics 2035 Vision in China. Beijing: Science Press.
    [7] 陈琦, 郭勇颜, 谢昱飞, 等. 2016. PID控制器与CFD的耦合模拟技术研究及应用. 航空学报, 37(8): 2507-2516 (Chen Q, Guo Y Y, Xie Y F, et al. 2016. Research and application of coupled simulation techniques of PID controller and CFD. Acta Aeronautica et Astronautica Sinica, 37(8): 2507-2516).

    Chen Q, Guo Y Y, Xie Y F, et al. 2016. Research and application of coupled simulation techniques of PID controller and CFD. Acta Aeronautica et Astronautica Sinica, 37(8): 2507-2516.
    [8] 陈武栋, 姜长生, 武国庆. 2003. 武装直升机旋翼下洗流对空空导弹发射的影响. 电光与控制, 10(2): 18-20 (Chen W D, Jiang C S, Wu G Q. 2003. Influence of downwash turbulence from armed helicopter rotor to launching of air-to-air missile. Electronics Optics & Control, 10(2): 18-20). doi: 10.3969/j.issn.1671-637X.2003.02.004

    Chen W D, Jiang C S, Wu G Q. 2003. Influence of downwash turbulence from armed helicopter rotor to launching of air-to-air missile. Electronics Optics & Control, 10(2): 18-20 doi: 10.3969/j.issn.1671-637X.2003.02.004
    [9] 崔鹏程, 邓有奇, 唐静, 等. 2016. 基于伴随方程的网格自适应及误差修正. 航空学报, 37(10): 2992-3002 (Cui P C, Deng Y Q, Tang J, et al. 2016. Adjoint equations-based grid adaptation and error correction. Acta Aeronautica et Astronautica Sinica, 37(10): 2992-3002).

    Cui P C, Deng Y Q, Tang J, et al. 2016. Adjoint equations-based grid adaptation and error correction. Acta Aeronautica et Astronautica Sinica, 37(10): 2992-3002
    [10] 崔鹏程, 唐静, 李彬, 等. 2018. 基于超网格的重叠网格守恒插值方法. 航空学报, 39(3): 121569 (Cui P C, Tang J, Li B, et al. 2018. A conservative interpolation method for overset mesh. Acta Aeronautica et Astronautica Sinica, 39(3): 121569).

    Cui P C, Tang J, Li B, et al. 2018. A conservative interpolation method for overset mesh. Acta Aeronautica et Astronautica Sinica, 39(3): 121569
    [11] 达兴亚, 陶洋, 赵忠良. 2012. 基于预估校正和嵌套网格的虚拟飞行数值模拟. 航空学报, 33(6): 977-983 (Da X Y, Tao Y, Zhao Z L. 2012. Numerical simulation of virtual flight based on prediction-correction coupling method and chimera grid. Acta Aeronautica et Astronautica Sinica, 33(6): 977-983).

    Da X Y, Tao Y, Zhao Z L. 2012. Numerical simulation of virtual flight based on prediction-correction coupling method and chimera grid. Acta Aeronautica et Astronautica Sinica, 33(6): 977-983.
    [12] 董富祥, 洪嘉振. 2009. 多体系统动力学碰撞问题研究综述. 力学进展, 39(3): 352-359 (Dong F X, Hong J Z. 2009. Review of impact problem for dynamics of multibody system. Advances in Mechanics, 39(3): 352-359). doi: 10.3321/j.issn:1000-0992.2009.03.007

    Dong F X, Hong J Z. 2009. Review of impact problem for dynamics of multibody system. Advances in Mechanics, 39(3): 352-359 doi: 10.3321/j.issn:1000-0992.2009.03.007
    [13] 傅杨奥骁, 刘庆宗, 丁明松, 等. 2022. 热喷干扰气体模型对飞行器气动特性影响分析. 力学学报, 54(5): 1229-1241 (Fu Y A X, Liu Q Z, Ding M S, et al. 2022. Analysis of gas model’s influence on aerodynamic characteristics for hypersonic vehicle over hot jet interaction flow field. Chinese Journal of Theoretical and Applied Mechanics, 54(5): 1229-1241).

    Fu Y A X, Liu Q Z, Ding M S, et al. 2022. Analysis of gas model’s influence on aerodynamic characteristics for hypersonic vehicle over hot jet interaction flow field. Chinese Journal of Theoretical and Applied Mechanics, 54(5): 1229-1241
    [14] 范孝华, 张庆虎, 罗磊, 等. 2023. TSTO 并联分离激波/边界层干扰流动特性分析. 空气动力学学报, 41(5): 87-97 (Fan X H, Zhang Q H, Luo L, et al. 2023. Flow-field characteristics analyses on shock-wave/boundary-layer interaction of TSTO parallelseparation. Acta Aerodynamica Sinica, 41(5): 87-97).

    Fan X H, Zhang Q H, Luo L, et al. 2023. Flow-field characteristics analyses on shock-wave/boundary-layer interaction of TSTO parallelseparation. Acta Aerodynamica Sinica, 41(5): 87-97
    [15] 龚小权, 贾洪印, 赵辉, 等. 2023. TSTO级间分离气动特性数值仿真分析. 空气动力学学报, 41(5): 109-118 (Gong X Q, Jia H Y, Zhao H, et al. 2023. Numerical simulation analysis on aerodynamic characteristics of TSTO interstage separation. Acta Aerodynamica Sinica, 41(5): 109-118). doi: 10.7638/kqdlxxb-2022.0025

    Gong X Q, Jia H Y, Zhao H, et al. 2023. Numerical simulation analysis on aerodynamic characteristics of TSTO interstage separation. Acta Aerodynamica Sinica, 41(5): 109-118 doi: 10.7638/kqdlxxb-2022.0025
    [16] 黄明星, 王文强, 李健, 等. 2020. 基于有效透气量对火星降落伞气动力系数预测分析. 宇航学报, 41(9): 1132-1140 (Huang M X, Wang W Q, Li J, et al. 2020. Prediction and analysis of aerodynamic coefficient of parachute underMars conditions based on effective porosity. Journal of Astronautics, 41(9): 1132-1140).

    Huang M X, Wang W Q, Li J, et al. 2020. Prediction and analysis of aerodynamic coefficient of parachute underMars conditions based on effective porosity. Journal of Astronautics, 41(9): 1132-1140
    [17] 贾洪印, 吴晓军, 周乃春, 等. 2017. 导弹侧向喷流干扰及多喷口耦合效应数值模拟. 空气动力学学报, 35(6): 837-840 (Jia H Y, Wu X J, Zhou N C, et al. 2017. Numerical investigation on coupling effects of multiple spouts and lateral jet interaction over missile configuration. Acta Aerodynamica Sinica, 35(6): 837-840).

    Jia H Y, Wu X J, Zhou N C, et al. 2017. Numerical investigation on coupling effects of multiple spouts and lateral jet interaction over missile configuration. Acta Aerodynamica Sinica, 35(6): 837-840
    [18] 蒋跃文, 叶正寅, 张伟伟. 2012. 一种半隐式的气动弹性时域求解方法. 工程力学, 29(4): 66-71 (Jiang Y W, Ye Z Y, Zhang W W. 2012. Semi-implicit solution of aeroelastice quations in time domain. Engineering Mechanics, 29(4): 66-71).

    Jiang Y W, Ye Z Y, Zhang W W. 2012. Semi-implicit solution of aeroelastice quations in time domain. Engineering Mechanics, 29(4): 66-71
    [19] 靳晨晖, 李典, 王泽汉, 等. 2023. 基于舵面控制的外挂物分离仿真方法研究. 航空科学技术, 34(8): 18-27 (Jin C H, Li D, Wang Z H, et al. 2023. Research on exteral store sparation simulation method based on rudder surface control. Aeronautical Science & Technology, 34(8): 18-27).

    Jin C H, Li D, Wang Z H, et al. 2023. Research on exteral store sparation simulation method based on rudder surface control. Aeronautical Science & Technology, 34(8): 18-27.
    [20] 赖江, 赵忠良, 王晓冰, 等. 2019. 匀速俯仰运动及角速率对横向喷流的影响. 航空学报, 40(10): 65-74 (Lai J, Zhao Z L, Wang X B, et al. 2019. Uniform pitching motion and angular rate effects on transverse jet interaction. Acta Aeronautica et Astronautica Sinica, 40(10): 65-74).

    Lai J, Zhao Z L, Wang X B, et al. 2019. Uniform pitching motion and angular rate effects on transverse jet interaction. Acta Aeronautica et Astronautica Sinica, 40(10): 65-74
    [21] 雷娟棉, 牛健平, 王锁柱, 等. 2016. 初始分离条件对航弹与载机分离安全性影响的数值模拟研究. 兵工学报, 37(2): 357-366 (Lei J M, Niu J P, Wang S Z, et al. 2016. Numerical simulation about the effect of initial separation condition on safety of aerial bomb separated from an aircraft. Acta Armamentarii, 37(2): 357-366).

    Lei J M, Niu J P, Wang S Z, et al. 2016. Numerical simulation about the effect of initial separation condition on safety of aerial bomb separated from an aircraft. Acta Armamentarii, 37(2): 357-366
    [22] 李春华, 徐国华. 2005. 悬停和前飞状态下旋翼在导弹发射线上的诱导影响计算. 空气动力学学报, 23(4): 449-454 (Li C H, Xu G H. 2005. Calculations of the induced effect of helicopter rotors on missile trajectory in hover and forward flight. Acta Aerodynamica Sinica, 23(4): 449-454). doi: 10.3969/j.issn.0258-1825.2005.04.010

    Li C H, Xu G H. 2005. Calculations of the induced effect of helicopter rotors on missile trajectory in hover and forward flight. Acta Aerodynamica Sinica, 23(4): 449-454 doi: 10.3969/j.issn.0258-1825.2005.04.010
    [23] 李锋, 杨云军, 刘周, 等. 2015. 飞行器气动/飞行/控制一体化耦合模拟技术. 空气动力学学报, 33(2): 156-161 (Li F, Yang Y J, Liu Z, et al. 2015. Integrative simulation technique of coupled aerodynamics and flight dynamics with control law on a vehicle. Acta Aerodynamica Sinica, 33(2): 156-161).

    Li F, Yang Y J, Liu Z, et al. 2015. Integrative simulation technique of coupled aerodynamics and flight dynamics with control law on a vehicle. Acta Aerodynamica Sinica, 33(2): 156-161
    [24] 李欢, 杨悦悦, 张杰, 等. 2022. 分离涡模拟方法在内埋弹舱机弹分离模拟中的应用. 空气动力学学报, 40(3): 190-202 (Li H, Yang Y Y, Zhang J, et al. 2022. Application of DES method in internal weapon separation simulation. Acta Aerodynamica Sinica, 40(3): 190-202). doi: 10.7638/kqdlxxb-2021.0420

    Li H, Yang Y Y, Zhang J, et al. 2022. Application of DES method in internal weapon separation simulation. Acta Aerodynamica Sinica, 40(3): 190-202 doi: 10.7638/kqdlxxb-2021.0420
    [25] 梁益铭, 李广宁, 徐敏. 2023. 基于机器学习的智能控制数值虚拟飞行方法. 航空学报, 44(17): 128098 (Liang Y M, Li G N, Xu M. 2023. Method for numerical virtual flight with intelligent control based on machine learning. Acta Aeronautica et Astronautica Sinica, 44(17): 128098).

    Liang Y M, Li G N, Xu M. 2023. Method for numerical virtual flight with intelligent control based on machine learning. Acta Aeronautica et Astronautica Sinica, 44(17): 128098
    [26] 林敬周, 解福田, 钟俊, 等. 2023. 高超声速风洞双体同步分离捕获轨迹试验技术. 空气动力学学报, 41(5): 77-86 (Lin J Z, Xie F T, Zhong J, et al. 2023. Dual-body synchronous captive trajectory test technique in hypersonic wind tunnel. Acta Aerodynamica Sinica, 41(5): 77-86). doi: 10.7638/kqdlxxb-2022.0088

    Lin J Z, Xie F T, Zhong J, et al. 2023. Dual-body synchronous captive trajectory test technique in hypersonic wind tunnel. Acta Aerodynamica Sinica, 41(5): 77-86 doi: 10.7638/kqdlxxb-2022.0088
    [27] 林敬周. 2021. 我国首次形成高超声速风洞双分离轨迹捕获(CTS)试验能力. 实验流体力学, 35(1): 126 (Lin J Z. 2021. China’s first hypersonic wind tunnel dual CTS test capability formed in CARDC. Journal of Experiments in Fluid Mechanics, 35(1): 126).

    Lin J Z. 2021. China’s first hypersonic wind tunnel dual CTS test capability formed in CARDC. Journal of Experiments in Fluid Mechanics, 35(1): 126
    [28] 刘刚, 肖中云, 王建涛, 等. 2015. 考虑约束的机载导弹导轨发射数值模拟. 空气动力学学报, 33(2): 192-197 (Liu G, Xiao Z Y, Wang J T, et al. 2015. Numerical simulation of missile air launching process under rail slideway constraints. Acta Aerodynamica Sinica, 33(2): 192-197).

    Liu G, Xiao Z Y, Wang J T, et al. 2015. Numerical simulation of missile air launching process under rail slideway constraints. Acta Aerodynamica Sinica, 33(2): 192-197
    [29] 马戎, 常兴华, 赫新, 等. 2016. 流动/运动松耦合与紧耦合计算方法及稳定性分析. 气体物理, 1(6): 36-49 (Ma R, Chang X H, He X, et al. 2016. Loose and strong coupling methods for flow/kinematics coupled simulations and stability analysis. Physics of Gases, 1(6): 36-49).

    Ma R, Chang X H, He X, et al. 2016. Loose and strong coupling methods for flow/kinematics coupled simulations and stability analysis. Physics of Gases, 1(6): 36-49
    [30] 庞川博, 蒋胜矩. 2022. 云爆式子母弹超声速分离气动特性研究. 弹箭与制导学报, 42(2): 75-82 (Pang C B, Jiang S J. 2022. Research on aerodynamic characteristics of fuel-air-explosive cluster munitions separation in supersonic flow field. Journal of Projectiles, Rockets, Missiles and Guidance, 42(2): 75-82).

    Pang C B, Jiang S J. 2022. Research on aerodynamic characteristics of fuel-air-explosive cluster munitions separation in supersonic flow field. Journal of Projectiles, Rockets, Missiles and Guidance, 42(2): 75-82
    [31] 宋威, 艾邦成. 2021. 多体飞行器分离动力学问题研究进展. 航空学报, 43(6): 025950 (Song W, Ai B C. 2021. Review of multibody separation dynamics. Acta Aeronautica et Astronautica Sinica, 43(6): 025950). doi: 10.7527/S1000-6893.2021.25950

    Song W, Ai B C. 2021. Review of multibody separation dynamics. Acta Aeronautica et Astronautica Sinica, 43(6): 025950 doi: 10.7527/S1000-6893.2021.25950
    [32] 宋威, 艾邦成. 2022. 多体空气动力学研究进展. 力学学报, 54(6): 1461-1484 (Song W, Ai B C. 2022. Research progress on multibody aerodynamics. Chinese Journal of Theoretical and Applied Mechanics, 54(6): 1461-1484). doi: 10.6052/0459-1879-22-096

    Song W, Ai B C. 2022. Research progress on multibody aerodynamics. Chinese Journal of Theoretical and Applied Mechanics, 54(6): 1461-1484 doi: 10.6052/0459-1879-22-096
    [33] 宋威, 鲁伟, 蒋增辉. 2017. 超声速飞行器头罩分离风洞投放模型试验. 实验流体力学, 31(6): 7 (Song W, Lu W, Jiang Z H. 2017. Wind tunnel drop model test of nose cap separation of supersonic vehicle. Journal of Experiments in Fluid Mechanic, 31(6): 7). doi: 10.11729/syltlx20170026

    Song W, Lu W, Jiang Z H. 2017. Wind tunnel drop model test of nose cap separation of supersonic vehicle. Journal of Experiments in Fluid Mechanic, 31(6): 7 doi: 10.11729/syltlx20170026
    [34] 唐静, 张健, 李彬, 等. 2020. 非结构混合网格自适应并行技术. 航空学报, 41: 123202 (Tang J, Zhang J, Li B, et al. 2020. Parallel algorithms for unstructured hybrid mesh adaptation. Acta Aeronautica et Astronautica Sinica, 41: 123202).

    Tang J, Zhang J, Li B, et al. 2020. Parallel algorithms for unstructured hybrid mesh adaptation. Acta Aeronautica et Astronautica Sinica, 41: 123202.
    [35] 唐静, 崔鹏程, 张健, 等. 2023a. 流体数值模拟网格自适应技术研究进展. 力学进展, 53(3): 661-692 (Tang J, Cui P C, Zhang J, et al. 2023a. Review of mesh adaptation for fluid numerical simulation. Advances in Mechanics, 53(3): 661-692). doi: 10.6052/1000-0992-23-013

    Tang J, Cui P C, Zhang J, et al. 2023a. Review of mesh adaptation for fluid numerical simulation. Advances in Mechanics, 53(3): 661-692 doi: 10.6052/1000-0992-23-013
    [36] 唐静, 张健, 张耀冰, 等. 2023b. 一种用于TSTO级间分离CFD计算的网格动态优化技术. 空气动力学学报, 41(6): 102-108 (Tang J, Zhang J, Zhang Y B, et al. 2023b. A mesh adaptation method for TSTO stages separation CFD simulation. Acta Aerodynamica Sinica, 41(6): 102-108). doi: 10.7638/kqdlxxb-2022.0028

    Tang J, Zhang J, Zhang Y B, et al. 2023b. A mesh adaptation method for TSTO stages separation CFD simulation. Acta Aerodynamica Sinica, 41(6): 102-108 doi: 10.7638/kqdlxxb-2022.0028
    [37] 唐志共, 袁先旭, 钱炜祺, 等. 2023. 高速空气动力学三大手段数据融合研究进展. 空气动力学学报, 41(8): 44-58 (Tang Z G, Yuan X X, Qian W Q, et al. 2023. Research progress on the fusion of data obtained by high-speed wind tunnels, CFD and model flight. Acta Aerodynamica Sinica, 41(8): 44-58). doi: 10.7638/kqdlxxb-2023.0096

    Tang Z G, Yuan X X, Qian W Q, et al. 2023. Research progress on the fusion of data obtained by high-speed wind tunnels, CFD and model flight. Acta Aerodynamica Sinica, 41(8): 44-58 doi: 10.7638/kqdlxxb-2023.0096
    [38] 田书玲, 伍贻兆, 夏健. 2008. 基于非结构重叠网格的二维N-S方程求解与应用研究. 空气动力学学报, 26(3): 405-411 (Tian S L, Wu Y Z, Xia J. 2008. The solution and application of 2D N-S equation on overset unstructured grid. Acta Aerodynamica Sinica, 26(3): 405-411). doi: 10.3969/j.issn.0258-1825.2008.03.024

    Tian S L, Wu Y Z, Xia J. 2008. The solution and application of 2D N-S equation on overset unstructured grid. Acta Aerodynamica Sinica, 26(3): 405-411. doi: 10.3969/j.issn.0258-1825.2008.03.024
    [39] 万志强, 张珊珊, 王晓喆, 等. 2024. 弹性飞机机动载荷分析与减缓技术综述. 航空学报, 45: 1-36 (Wan Z Q, Zhang S S, Wang X Z, et al. 2024. Review of maneuver load analysis and alleviation technology of flexible aircraft. Acta Aeronautica et Astronautica Sinica, 45: 1-36).

    Wan Z Q, Zhang S S, Wang X Z, et al. 2024. Review of maneuver load analysis and alleviation technology of flexible aircraft. Acta Aeronautica et Astronautica Sinica, 45: 1-36
    [40] 王芳, 龚军锋. 2013. CFD/CSD与机弹分离的耦合模拟技术. 弹箭与制导学报, 33(6): 193-196 (Wang F, Gong J F. 2013. CFD/CSD and missile separation integrative simulation method. Journal of Projectiles, Rockets, Missiles and Guidance, 33(6): 193-196). doi: 10.3969/j.issn.1673-9728.2013.06.053

    Wang F, Gong J F. 2013. CFD/CSD and missile separation integrative simulation method. Journal of Projectiles, Rockets, Missiles and Guidance, 33(6): 193-196 doi: 10.3969/j.issn.1673-9728.2013.06.053
    [41] 王庚祥, 马道林, 刘洋, 等. 2022. 多体系统碰撞动力学中接触力模型的研究进展. 力学学报, 54(12): 3239-3266 (Wang G X, Ma D L, Liu Y, et al. 2022. Research progress of contact force models in the collision mechanics of multibody system. Chinese Journal of Theoretical and Applied Mechanics, 54(12): 3239-3266). doi: 10.6052/0459-1879-22-266

    Wang G X, Ma D L, Liu Y, et al. 2022. Research progress of contact force models in the collision mechanics of multibody system. Chinese Journal of Theoretical and Applied Mechanics, 54(12): 3239-3266 doi: 10.6052/0459-1879-22-266
    [42] 王金龙, 王浩, 陶如意, 等. 2016. 子母弹不同舱段分离流场特性及运动特性研究. 空气动力学学报, 34(4): 490-496 (Wang J L, Wang H, Tao R Y, et al. 2016. The movement characteristics analysis of interference flow field on the separation of multi-bay cluster munition. Acta Aerodynamic Sinica, 34(4): 490-496).

    Wang J L, Wang H, Tao R Y, et al. 2016. The movement characteristics analysis of interference flow field on the separation of multi-bay cluster munition. Acta Aerodynamic Sinica, 34(4): 490-496
    [43] 王永骥, 李棒棒, 刘磊, 等. 2019. CFE方法在飞行器级间分离动力学仿真中的应用. 系统仿真学报, 31(4): 632-640 (Wang Y J, Li B B, Liu L, et al. 2019. Application of constraint force equation methodology in aircraft stage separation dynamics simulation. Journal of System Simulation, 31(4): 632-640).

    Wang Y J, Li B B, Liu L, et al. 2019. Application of constraint force equation methodology in aircraft stage separation dynamics simulation. Journal of System Simulation, 31(4): 632-640
    [44] 王粤, 汪运鹏, 姜宗林. 2023a. 激波风洞两级入轨飞行器纵向级间分离试验技术. 航空学报, 44(17): 128126 (Wang Y, Wang Y P, Jiang Z L. 2023a. Test technology of longitudinal stage separation for two-stage-to-orbit vehicle inshock tunnel. Acta Aeronautica et Astronautica Sinica, 44(17): 128126).

    Wang Y, Wang Y P, Jiang Z L. 2023a. Test technology of longitudinal stage separation for two-stage-to-orbit vehicle inshock tunnel. Acta Aeronautica et Astronautica Sinica, 44(17): 128126
    [45] 王粤, 汪运鹏, 王春, 等. 2023b. 一种并联两级入轨飞行器纵向分离方案的数值研究. 航空学报, 44(11): 127634 (Wang Y, Wang Y P, Wang C, et al. 2023b. Numerical study of longitudinal stage separation for parallel-staged two-stage-to-orbit vehicle. Acta Aeronautica et Astronautica Sinica, 44(11): 127634).

    Wang Y, Wang Y P, Wang C, et al. 2023b. Numerical study of longitudinal stage separation for parallel-staged two-stage-to-orbit vehicle. Acta Aeronautica et Astronautica Sinica, 44(11): 127634
    [46] 王粤, 汪运鹏, 薛晓鹏, 等. 2022. TSTO马赫7安全级间分离问题的数值研究. 力学学报, 54(2): 526-542 (Wang Y, Wang Y P, Xue X P, et al. 2022. Numerical investigation on safe stage separation problem of a TSTO model at Mach 7. Chinese Journal of Theoretical and Applied Mechanics, 54(2): 526-542). doi: 10.6052/0459-1879-21-423

    Wang Y, Wang Y P, Xue X P, et al. 2022. Numerical investigation on safe stage separation problem of a TSTO model at Mach 7. Chinese Journal of Theoretical and Applied Mechanics, 54(2): 526-542 doi: 10.6052/0459-1879-21-423
    [47] 吴晓军, 邓有奇, 周乃春, 等. 2011. 尖拱弹身横向喷流数值模拟. 空气动力学学报, 29(2): 163-169 (Wu X J, Deng Y Q, Zhou N C, et al. 2011. Numerical simulation of supersonic lateral jet interactions for an axisymmetric body in supersonic flow. Acta Aerodynamic Sinica, 29(2): 163-169). doi: 10.3969/j.issn.0258-1825.2011.02.006

    Wu X J, Deng Y Q, Zhou N C, et al. 2011. Numerical simulation of supersonic lateral jet interactions for an axisymmetric body in supersonic flow. Acta Aerodynamic Sinica, 29(2): 163-169 doi: 10.3969/j.issn.0258-1825.2011.02.006
    [48] 吴震, 吴彤薇. 2009. 直升机载导弹初始弹道影响因素分析. 电光与控制, 16(3): 63-67 (Wu Z, Wu T W. 2009. Analysis on factors influencing initial trajectory of missiles onboard helicopter. Electronics Optics & Control, 16(3): 63-67). doi: 10.3969/j.issn.1671-637X.2009.03.017

    Wu Z, Wu T W. 2009. Analysis on factors influencing initial trajectory of missiles onboard helicopter. Electronics Optics & Control, 16(3): 63-67 doi: 10.3969/j.issn.1671-637X.2009.03.017
    [49] 吴志刚, 蒋建平, 邬树楠, 等. 2024. 航天结构空间组装动力学与控制研究进展. 力学进展, 54(2): 344-390 (Wu Z G, Jiang J P, Wu S N, et al. 2024. Review on dynamics and control of space structure in the process of on-orbit assembly. Advances in Mechanics, 54(2): 344-390).

    Wu Z G, Jiang J P, Wu S N, et al. 2024. Review on dynamics and control of space structure in the process of on-orbit assembly. Advances in Mechanics, 54(2): 344-390
    [50] 闫盼盼, 张群峰, 金明, 等. 2018. 内埋武器发射参数对下落轨迹的影响. 工程力学, 35(1): 246-256 (Yan P P, Zhang Q F, Jin M, et al. 2018. Effects of launching parameters on the separation trajectory of internal weapons. Engineering Mechanics, 35(1): 246-256). doi: 10.6052/j.issn.1000-4750.2016.11.0858

    Yan P P, Zhang Q F, Jin M, et al. 2018. Effects of launching parameters on the separation trajectory of internal weapons. Engineering Mechanics, 35(1): 246-256 doi: 10.6052/j.issn.1000-4750.2016.11.0858
    [51] 阎超, 屈峰, 赵雅甜, 等. 2020. 航空航天CFD物理模型和计算方法的述评与挑战. 空气动力学学报, 38: 829-857 (Yan C, Qu F, Zhao Y T, et al. 2020. Review of development and challenges for physical modeling and numerical scheme of CFD in aeronautics and astronautics. Acta Aerodynamica Sinica, 38: 829-857). doi: 10.7638/kqdlxxb-2020.0072

    Yan C, Qu F, Zhao Y T, et al. 2020. Review of development and challenges for physical modeling and numerical scheme of CFD in aeronautics and astronautics. Acta Aerodynamica Sinica, 38: 829-857 doi: 10.7638/kqdlxxb-2020.0072
    [52] 张国成, 姚彦龙, 王慧. 2018. 美国两级入轨水平起降可重复使用空天运载器发展综述. 飞机设计, 38(2): 1-6 (Zhang G C, Yao Y L, Wang H. 2018. A survey on development of two stage-to-orbit horizontal-takeoff-horizontal-landing reusable launch vehicle in USA. Aircraft Design, 38(2): 1-6).

    Zhang G C, Yao Y L, Wang H. 2018. A survey on development of two stage-to-orbit horizontal-takeoff-horizontal-landing reusable launch vehicle in USA. Aircraft Design, 38(2): 1-6
    [53] 张来平, 邓小刚, 张涵信. 2010. 动网格生成技术及非定常计算方法进展综述. 力学进展, 40(4): 424-447 (Zhang L P, Deng X G, Zhang H X. 2010. Reviews of moving grid generation techniques and numerical methods for unsteady flow. Advances in Mechanics, 40(4): 424-447).

    Zhang L P, Deng X G, Zhang H X. 2010. Reviews of moving grid generation techniques and numerical methods for unsteady flow. Advances in Mechanics, 40(4): 424-447
    [54] 张来平, 赫新, 常兴华, 等. 2016. 复杂外形静动态混合网格生成技术研究新进展. 气体物理, 1(1): 42-61 (Zhang L P, He X, Chang X H, et al. 2016. Recent progress of static and dynamic hybrid grid generation techniques over complex geometries. Physics of Gases, 1(1): 42-61).

    Zhang L P, He X, Chang X H, et al. 2016. Recent progress of static and dynamic hybrid grid generation techniques over complex geometries. Physics of Gases, 1(1): 42-61
    [55] 张来平, 马戎, 常兴华, 等. 2014. 虚拟飞行中气动、运动和控制耦合的数值模拟技术. 力学进展, 44: 201410 (Zhang L P, Ma R, Chang X H, et al. 2014. Reviewofaerodynamics/kinematics/flight control coupling methods invirtual flight simulations. Advances in Mechanics, 44: 201410). doi: 10.6052/1000-0992-14-027

    Zhang L P, Ma R, Chang X H, et al. 2014. Reviewofaerodynamics/kinematics/flight control coupling methods invirtual flight simulations. Advances in Mechanics, 44: 201410 doi: 10.6052/1000-0992-14-027
    [56] 张培红, 陈洪杨, 张杰, 等. 2023. 高马赫数内埋武器舱被动流动控制措施. 北京航空航天大学学报, 49(11): 2913-2920 (Zhang P H, Chen H Y, Zhang J, et al. 2023. Passive flow control for weapon bay at high Mach number. Journal of Beijing University of Aeronautics and Astronautics, 49(11): 2913-2920).

    Zhang P H, Chen H Y, Zhang J, et al. 2023. Passive flow control for weapon bay at high Mach number. Journal of Beijing University of Aeronautics and Astronautics, 49(11): 2913-2920
    [57] 张培红, 周桂宇, 沈盈盈, 等. 2024. NNW-FlowStar软件模拟并联分离特性研究. 北京航空航天大学学报, 51(5): 1-14 (Zhang P H, Zhou G Y, Shen Y Y, et al. 2024. Research on simulation of parallel separation characteristics using NNW-FlowStar. Journal of Beijing University of Aeronautics and Astronautics, 51(5): 1-14).

    Zhang P H, Zhou G Y, Shen Y Y, et al. 2024. Research on simulation of parallel separation characteristics using NNW-FlowStar. Journal of Beijing University of Aeronautics and Astronautics, 51(5): 1-14
    [58] 张群峰, 闫盼盼, 黎军. 2016. 内埋式弹舱与弹体相互影响的精细模拟. 兵工学报, 37(12): 2366-2376 (Zhang Q F, Yan P P, Li J. 2016. Elaborate simulation of interaction effect between internal weapon bay and missile. Acta Armamentarii, 37(12): 2366-2376). doi: 10.3969/j.issn.1000-1093.2016.12.024

    Zhang Q F, Yan P P, Li J. 2016. Elaborate simulation of interaction effect between internal weapon bay and missile. Acta Armamentarii, 37(12): 2366-2376 doi: 10.3969/j.issn.1000-1093.2016.12.024
    [59] 赵弘睿, 龚安龙, 刘周, 等. 2020. 高空侧向喷流干扰效应数值模拟. 空气动力学学报, 38(5): 996-1003 (Zhao H R, Gong A L, Liu Z, et al. 2020. Numerical study of lateral jet interaction at high altitude. Acta Aerodynamica Sinica, 38(5): 996-1003). doi: 10.7638/kqdlxxb-2020.0017

    Zhao H R, Gong A L, Liu Z, et al. 2020. Numerical study of lateral jet interaction at high altitude. Acta Aerodynamica Sinica, 38(5): 996-1003 doi: 10.7638/kqdlxxb-2020.0017
    [60] 周克栋, 李自勇, 郝雷, 等. 2003. 弹箭在直升机旋翼下洗流作用下运动规律研究. 兵工学报, 24(2): 204-208 (Zhou K D, Li Z Y, Hao L, et al. 2003. A study on the movement of rocket under down-wash flow of a helicopter’s rotor. Acta Armamentarii, 24(2): 204-208). doi: 10.3321/j.issn:1000-1093.2003.02.014

    Zhou K D, Li Z Y, Hao L, et al. 2003. A study on the movement of rocket under down-wash flow of a helicopter’s rotor. Acta Armamentarii, 24(2): 204-208 doi: 10.3321/j.issn:1000-1093.2003.02.014
    [61] 周乃春, 李彬, 郑鸣, 等. 2013. 带控制律导弹投放数值模拟. 空气动力学学报, 31(3): 288-293 (Zhou N C, Li B, Zheng M, et al. 2013. Missile separation simulation with control laws. Acta Aerodynamica Sinica, 31(3): 288-293).

    Zhou N C, Li B, Zheng M, et al. 2013. Missile separation simulation with control laws. Acta Aerodynamica Sinica, 31(3): 288-293
    [62] 朱世权, 李海元, 陈志华, 等. 2017. 基于双向流固耦合的机载导弹分离动力学研究. 工程力学, 34(10): 217-228 (Zhu S Q, Li H Y, Chen Z H, et al. 2017. Numerical investigations on missile separation of an aircraft based on CFD/CSD two-way coupling method. Engineering Mechanics, 34(10): 217-228). doi: 10.6052/j.issn.1000-4750.2016.05.0390

    Zhu S Q, Li H Y, Chen Z H, et al. 2017. Numerical investigations on missile separation of an aircraft based on CFD/CSD two-way coupling method. Engineering Mechanics, 34(10): 217-228 doi: 10.6052/j.issn.1000-4750.2016.05.0390
    [63] Alauzet F, Loseille A. 2016. A decade of progress on anisotropic mesh adaptation for computational fluid dynamics. Computer-Aided Design, 72: 13-39. doi: 10.1016/j.cad.2015.09.005
    [64] Allan M R, Badcock K J, Richard B E. 2005. CFD based simulation of longitudinal flight mechanics with control. 43rd AIAA Aerospace Sciences Meeting and Exhibit: 46.
    [65] Alonso J J, Jameson A. 1994. Fully-implicit time-marching aeroelasticity solutions. 32nd Aerospace Sciences Meeting and Exhibit, 56.
    [66] Baker W, Keen S, Morgret C. 2004. Validation of weapon separation predictions using F/A-22 flight test results USAF Developmental Test and Evaluation Summit. Reston: AIAA, 2004: 6803.
    [67] Blajer W. 2004. On the determination of joint reactions in multibody mechanisms. Journal of Mechanical Design, 126: 341-350.
    [68] Bonfiglioli A, Paciorri R, Di Mascio A. 2012. The role of mesh generation, adaptation, and refinement on the computation of flows featuring strong shocks. Modelling and Simulation in Engineering, 1: 1-15. doi: 10.12677/MOS.2012.11001
    [69] Carvalho A S, Martins J M. 2019. Exact restitution and generalizations for the Hunt–Crossley contact model. Mechanism and Machine Theory, 139: 174-194. doi: 10.1016/j.mechmachtheory.2019.03.028
    [70] Casper K M, Wagner J L, Beresh S J, et al. 2019. Fluid structure interactions on a tunable store in complex cavity ow. Journal of Aircraft, 56(4): 1501-1512. doi: 10.2514/1.C035050
    [71] Chang C C, Houston R L. 2001. Collisions of multibody systems. Computational Mechanics, 27: 436-444. doi: 10.1007/s004660100256
    [72] Chin D, Granlund K, Maatz I, et al. 2019. Stochastic store trajectory of ice models from a cavity into supersonic flow. Journal of Aircraft, 56(4): 1313-1319. doi: 10.2514/1.C035104
    [73] Cobar, Maxwell, Montalvo, Carlos. 2021. Takeoff and landing of a wing-tip-connected meta aircraft with feedback control. Journal of Aircraft, 58(4): 733-742.
    [74] Corral E, Moreno R G, García M J G, et al. 2021. Nonlinear phenomena of contact in multibody systems dynamics a review. Nonlinear Dynamics, 104(2): 1269-1295. doi: 10.1007/s11071-021-06344-z
    [75] Cui P, Jia H, Chen J, et al. 2022a. Numerical investigation on unsteady shock wave/vortex/turbulent boundary layer interactions of a hypersonic vehicle during its shroud separation. Aerospace, 9(10): 619. doi: 10.3390/aerospace9100619
    [76] Cui P, Zhou G, Zhang Y, et al. 2022b. Improved delayed detached-eddy investigations on the flow control of the leading-edge flat spoiler of the cavity in the low-aspect-ratio aircraft. Aerospace, 9(9): 526. doi: 10.3390/aerospace9090526
    [77] Dagan Y, Arad E. 2014. Analysis of shroud release applied for high-velocity missiles. Journal of Spacecraft and Rockets, 51(1): 57-66. doi: 10.2514/1.A32489
    [78] Davis M, Yagle P, Smith B, et al. 2009. Store trajectory response to unsteady weapons bay flowfields. In Proceedings of the 47th AIAA Aerospace Sciences Meeting Including the New Horizons Forum and Aerospace Exposition, Orlando, FL, USA, AIAA-2009-547.
    [79] Dissel A F, Kothari A P, Lewis M J. 2006. Investigation of two-stage-to-orbit air-breathing launch vehicle configurations. Journal of spacecraft and rockets, 43(3): 568-574.
    [80] Dong H, Liu J, Chen Z, et al. 2018. Numerical investigation of lateral jet with supersonic reacting flow. Journal of Spacecraft and Rockets, 55(4): 928-935.
    [81] Durbin P A. 2018. Some recent developments in turbulence closure modeling. Annual Reviews of Fluid Mechanics, 50(1): 77-103.
    [82] Ebrahimi H B. 2008. Numerical investigation of jet interaction in a supersonic freestream. Journal of Spacecraft and Rockets, 45(1): 95-103.
    [83] Fan X Y, Wang G, Lin J Z, et al. 2023. Effects of expansion waves on incident shock-wave/boundary-layer interactions in hypersonic flows. Physics of Fluids, 35(5): 056121. doi: 10.1063/5.0153391
    [84] Freeman J. 2006. Applied computational fluid dynamics for aircraft-store design, analysis and compatibility. In Proceedings of the 44th AIAA Aerospace Sciences Meeting and Exhibit, Reno: NV, USA, AIAA-2006-456.
    [85] Galbraith M C, Caplan P C, Carson H A, et al. 2020. Verification of unstructured grid adaptation components. AIAA Journal, 58(9): 3947-3962. doi: 10.2514/1.J058783
    [86] Galimov A Y, Sahni O, Lahey R T J, et al. 2010. Parallel adaptive simulation of a plunging liquid jet. Acta Mathematica Scientia, 30(2): 522-538. doi: 10.1016/S0252-9602(10)60060-4
    [87] Gao Y, Lei J M. 2022. Numerical investigation on transient effect of jet interference characteristics of lateral-jet-controlled spinning missile. Aerospace, 9(8): 430-430. doi: 10.3390/aerospace9080430
    [88] Gnoffo P, White J. 2004. Computational aerothermodynamic simulation issues on unstructured grids 37th AIAA Thermophysics Conference, Portland, Oregon. Reston, Virginia: AIAA, 2004: 2371.
    [89] Gong H, Kwak E, Lee S, et al. 2014. Prediction of trajectories of projectiles launched from helicopters. J. Korean Soc. Aeronaut. Space Sci, 42: 213-220.
    [90] Gothard W D, Granlund K O. 2021. Store separation trajectory clusters from machine learning. Journal of Aircraft, 1: 1-9.
    [91] Gou J, Su X, Yuan X. 2018. Adaptive mesh refinement method-based large eddy simulation for the flow over circular cylinder at ReD = 3900. International Journal of Computational Fluid Dynamics, 32: 1-18. doi: 10.1080/10618562.2018.1461845
    [92] Guthrie M, Ross M R, Pulling E. 2022. Deriving transmissibility functions with finite elements for specifications. Journal of Spacecraft and Rockets, 59: 271-285. doi: 10.2514/1.A35099
    [93] Hayward D M, Duff A, Wagner C. 2018. F-35 weapons design integration. Aviation Technology, Integration, and Operations Conference, 2018: 3370.
    [94] Holden M, Smolinski G, Mundy E, et al. 2008. Experimental studies for hypersonic vehicle design and code validation of unsteady flow characteristics associated with “free flight” shroud and stage separation, and mode switching. the 46th AIAA Aerospace Sciences Meeting and Exhibit, Reno: NV, USA, AIAA-2008-642.
    [95] Hong Y, Li Z, Yang J. 2021. Scaling of interaction lengths for hypersonic shock wave/turbulent boundary layer interactions. Chin. J. Aeronaut, 34: 504-509.
    [96] Huitong L, Yang Z, Yixin H. 2015. Missile stage separation simulation considering complex factors. 2015 34th Chinese Control Conference (CCC). IEEE, 2015: 8768-8772.
    [97] Johnson R, Stanek M, Grove J. 2008. Store separation trajectory deviations due to unsteady weapons bay aerodynamics 46th AIAA Aerospace Sciences Meeting and Exhibit. Reston: AIAA, 2008: 188.
    [98] Joubarne E, Guibault F, Braun O, et al. 2011. Numerical capture of wing tip vortex improved by mesh adaptation. International Journal for Numerical Methods in Fluids, 67(1): 8-32. doi: 10.1002/fld.2103
    [99] Kapulu O, Tekinalp O. 2017. Main rotor downwash effect on separation characteristics of external stores, AIAA Atmospheric Flight Mechanics Conference, Grapevine, U.S.
    [100] Kim D H, Choi J H, Kwon O J. 2015. Detached eddy simulation of weapons bay flows and store separation. Computers & Fluids, 121: 1-10.
    [101] Kim H, Yee K. 2020. Downwash effect on the unguided rocket under rotor wake and external wind. Transactions of the Japan Society for Aeronautical and Space Sciences, 63(3): 80-89. doi: 10.2322/tjsass.63.80
    [102] Kim Y H, Park S O. 2013. Unsteady momentum source method for efficient simulation of rotor aerodynamics. Journal of Aircraft, 50(1): 324-327. doi: 10.2514/1.C031934
    [103] Kitson R C, Cesnik C E S. 2019. Fluid–structure–jet interaction effects on high-speed vehicle performance and stability. Journal of Spacecraft and Rockets, 56(2): 586-595. doi: 10.2514/1.A34191
    [104] Lai J, Zhao Z L, Wang X B, et al. 2020. Numerical investigation of pitch motion induced unsteady effects on trans-verse jet interaction. Aerospace Science and Technology, 105: 106005. doi: 10.1016/j.ast.2020.106005
    [105] Leroyer A, Visonneau M. 2005. Numerical methods for RANSE simulations of a self-propelled fish-like body. Journal of Fluids and Structures, 20: 975-991 doi: 10.1016/j.jfluidstructs.2005.05.007
    [106] Li H, Li B, Chen J, et al. 2020. Validation of momentum source method in the analysis and prediction of the rotor finite ground effect in hover. Journal of Physics: Conference Series, 1600(1): 012057. doi: 10.1088/1742-6596/1600/1/012057
    [107] Liu G, Yang Y L, Tong B G. 2011. Flow control by means of a traveling curvature wave in fishlike escape responses. Physical Review E, 84: 056312. doi: 10.1103/PhysRevE.84.056312
    [108] Luo Y X, Fidkowski K. 2011. Output-based space-time mesh adaptation for unsteady aerodynamics. 49th AIAA Aerospace Sciences Meeting including the New Horizons Forum and Aerospace Exposition, Orlando, Florida. Reston, Virginia: AIAA, 2011: 491.
    [109] Merrick J D, Reeder M F. 2016. Sphere release from a rectangular cavity at Mach 2.22 freestream conditions. Journal of Aircraft, 53(3): 822-829. doi: 10.2514/1.C033636
    [110] Mizrahi I, Raveh D E. 2019. Wing elasticity effects on store separation. Journal of Aircraft, 56(3): 1231-1249. doi: 10.2514/1.C035204
    [111] Murphy K J, Buning P G, Pamadi B N, et al. 2004. Overview of transonic to hypersonic stage separation tool development for multi-stage-to-orbit concepts. 24th AIAA Aerodynamic Measurement Technology and Ground Testing Conference, 2595.
    [112] Nakahashi K, Gumiya T. 1999. An intergrid boundary definition method for overset unstructured grid approach: AIAA-1999-3304.
    [113] Pamadi B N, Tartabini P V, Toniolo M D, et al. 2013. Application of constraint force equation methodology for launch vehicle stage separation. Journal of Spacecraft and Rockets, 50(1): 191-205. doi: 10.2514/1.A32048
    [114] Pamadi B N, Toniolo M D, Tartabini P V, et al. 2016. Development of constraint force equation methodology for application to multi-body dynamics including launch vehicle stage seperation. National Aeronautics and Space Administration, Hampton, VA. Langley Research Center.
    [115] Perillo S R, Atkins D J. 2009. Challenges and emerging trends in store separation engineering-an air force SEEK EAGLE office prespective. 47th AIAA Aerospace Sciences Meeting Including The New horizons Forum and Aerospace Exposition, 101.
    [116] Rizk M, Jolly B. 2006. Aerodynamic simulation of bodies with moving components using CFD overset grid methods. 44th AIAA Aerospace Sciences Meeting and Exhibit, 1252.
    [117] Robertson G. 2020. Separation and trajectory characteristics of a generic store at supersonic speeds. Doctoral dissertation, The Florida State University.
    [118] Saddington A J, Thangamani V, Knowles K. 2016. Comparison of passive flow control methods for a cavity in transonic flow. Journal of Aircraft, 53(5): 1439-1447. doi: 10.2514/1.C033365
    [119] Sadi I B H, Tenaud C, Fournier G. 2020. On the behaviour of high-order one-step monotonicity-preserving scheme for direct numerical simulation of shocked turbulent flows. International Journal of Computational Fluid Dynamics. 34: 671–704.
    [120] Schütte A, Boelens O J, Loeser T, et al. 2010. Prediction of the flow around the X-31 aircraft using two different CFD methods. AIAA paper 2010-4692.
    [121] Shabana A A. 1997. Flexible multibody dynamics review of past and recent developments. Multibody System Dynamics, 1: 189-222. doi: 10.1023/A:1009773505418
    [122] Shingo M, Hiroki T, Kazuhisa F. 2013. Hot jet and Mach number effect on jet interaction upstream separation. AIAA Paper, 2977: 2013.
    [123] SÖding H. 2001. How to integrate free motions of solids in fluids. 4th Numerical towing tank symposium, Hamburg. 2001, 52.
    [124] Struchkov A V, Kozelkov A S, Volkov K N, et al. 2020. Numerical simulation of aerodynamic problems based on adaptive mesh refinement method. Acta Astronautica, 172: 7-15. doi: 10.1016/j.actaastro.2020.03.019
    [125] Tang J, Zhang J, Li B, et al. 2020. Unsteady flow simulation with mesh adaptation. International Journal of Modern Physics B, 34: 14-16.
    [126] Todarello G, Vonck F, Bourasseau S, et al. 2016. Finite-volume goal-oriented mesh adaptation for aerodynamics using functional derivative with respect to nodal coordinates. Journal of Computational Physics, 313: 799-819. doi: 10.1016/j.jcp.2016.02.063
    [127] Toniolo M D, Tartabini P, Pamadi B, et al. 2008. Constraint force equation methodology for modeling multibody stage separation dynamics. 46th AIAA aerospace sciences meeting and exhibit. 2008-0219.
    [128] Tsutsumi S, Takaki R, Takama Y, et al. 2012. Hybrid LES/RANS simulations of transonic flowfield around a rocket fairing. In Proceedings of the 30th AIAA Applied Aerodynamics Conference, New Orleans, LA, USA, AIAA-2012-2900.
    [129] Ukeiley L, Ponton M, et al. 2004. Suppression of pressure loads in cavity flows. AIAA Journal, 42(1): 70-79.
    [130] Votta R, Trifonie E, Pezzella G, et al. 2017. Numerical investigation of RCS jet interaction and plume im-pingement for Mars precision landing. 8th AIAA Theoretical Fluid Mechanics Conference. 2017: 3350.
    [131] Wang Y, Wang Y P, Jiang Z L. 2022. Numerical investigation of aerodynamic separation schemes for two-stage-to-orbit-like two-body system. Aerospace Science and and Technology, 131: 107995. doi: 10.1016/j.ast.2022.107995
    [132] Wang Y, Wang Y P, Jiang Z L. 2023a. Unsteady interaction mechanism of transverse stage separation in hypersonic flow for a two-stage-to-orbit vehicle. Physic of Fluids, 35(5): 056120. doi: 10.1063/5.0151663
    [133] Wang Y, Wang Y P, Wang C, et al. 2023b. Numerical investigation on longitudinal stage separation of spiked two-stage-to-orbit vehicle. Journal of Spacecraft and Rockets, 60(1): 215-229. doi: 10.2514/1.A35390
    [134] Wang Y, Wang Y P. 2024. Unsteady interaction and dynamic stability analysis of a two-stage-to-orbit vehicle during transverse stage separation. Acta Astronautica, 216: 488-503.
    [135] Wang S, Li C, Chen W. 2017. Numerical investigation on unsteady flows with an air-breathing hypersonic vehicle during its shroud separation. In Proceedings of the 21st AIAA International Space Planes and Hypersonics Technologies Conference, AIAA-2017-2335.
    [136] Wei F S. 2001. Store separation analysis of the Penguin missile from the SH-2G helicopter. Reno, NV: 39th Aerospace Sciences Meeting and Exhibit, 2001: 2001-0992.
    [137] Williams N J, Moeller T M, Thompson R J. 2020. Numerical simulations of high frequency transverse pulsed jet injection into a supersonic crossflow. Aerospace Science and Technology, 103: 105908. doi: 10.1016/j.ast.2020.105908
    [138] Zaitsev B P, Protasova T V, Smetankina, N V et al. 2021. Oscillations of the payload fairing body of the cyclone-4M launch vehicle during separation. Strength of Materials, 52: 849-863.
    [139] Zhang L P, Chang X H, Ma R, et al. 2019. A CFD based numerical virtual flight simulator and its application in control law design of a maneuverable missile model. Chinese Journal of Aeronautics, 32(12): 2577-2591. doi: 10.1016/j.cja.2019.07.001
    [140] Zhang S Y, Yu L, Masarati P, et al. 2022. New general correlations for opening shock factor of ram-air parachute airdrop system. Aerospace Science and Technology, 129: 107844. doi: 10.1016/j.ast.2022.107844
    [141] Zhang S, Meganathan A, Jain K, et al. 2008. Effects of store separation on the aeroelastic behavior of wings. 26th AIAA Applied Aerodynamics Conference. 2008: 6241.
    [142] Zhang W, Cai X, Liu Z, et al. 2024. A dual mode integration framework and application to agile feedback design of launch vehicles. International Journal of Mechanical System Dynamics, 4(2): 226-239. doi: 10.1002/msd2.12110
    [143] Zhong Z H, Mackerle J. 1992. Static contact problems review. Engineering Computations, 9: 3-37. doi: 10.1108/eb023846
  • 加载中
图(43)
计量
  • 文章访问数:  2484
  • HTML全文浏览量:  888
  • PDF下载量:  662
  • 被引次数: 0
出版历程
  • 收稿日期:  2024-10-28
  • 录用日期:  2025-02-05
  • 网络出版日期:  2025-02-06
  • 刊出日期:  2025-09-25

目录

    /

    返回文章
    返回