留言板

尊敬的读者、作者、审稿人, 关于本刊的投稿、审稿、编辑和出版的任何问题, 您可以本页添加留言。我们将尽快给您答复。谢谢您的支持!

姓名
邮箱
手机号码
标题
留言内容
验证码

薄壁超结构振动与噪声控制及其在航空领域的应用

郑宜生 袁怀炳 瞿叶高 孟光

郑宜生, 袁怀炳, 瞿叶高, 孟光. 薄壁超结构振动与噪声控制及其在航空领域的应用. 力学进展, 2026, 56(1): 51-122 doi: 10.6052/1000-0992-25-024
引用本文: 郑宜生, 袁怀炳, 瞿叶高, 孟光. 薄壁超结构振动与噪声控制及其在航空领域的应用. 力学进展, 2026, 56(1): 51-122 doi: 10.6052/1000-0992-25-024
Zheng Y S, Yuan H B, Qu Y G, Meng G. Advances in thin-walled metastructures for vibration and noise control and their applications in aerospace engineering. Advances in Mechanics, 2026, 56(1): 51-122 doi: 10.6052/1000-0992-25-024
Citation: Zheng Y S, Yuan H B, Qu Y G, Meng G. Advances in thin-walled metastructures for vibration and noise control and their applications in aerospace engineering. Advances in Mechanics, 2026, 56(1): 51-122 doi: 10.6052/1000-0992-25-024

薄壁超结构振动与噪声控制及其在航空领域的应用

doi: 10.6052/1000-0992-25-024 cstr: 32046.14.1000-0992-25-024
基金项目: 国家自然科学基金 (12472027), 厦门市自然科学基金 (3502Z202473037), 福建省自然科学基金(2024J01050), 机械系统与振动全国重点实验室开放基金 (MSV202405), 复杂服役环境重大装备结构强度与寿命全国重点实验室开放基金 (SV2023-KF-20), 中央高校基本科研业务费专项资金 (20720250135), 中国航空发动机集团产学研合作项目 (HFZL2023CXY005).
详细信息
    作者简介:

    郑宜生, 厦门大学航空航天学院副教授、博士生导师, 入选厦门大学南强青年拔尖人才支持计划B类, 获得西安交通大学优秀博士学位论文奖和中国振动工程学会科学技术奖二等奖. 长期从事非线性智能结构动力学与控制方向研究, 在压电超结构振动与噪声控制、非线性磁负刚度低频隔振等领域取得创新性成果. 主持国家自然科学基金青年项目和面上项目、中国航发集团产学研合作项目、福建省自然科学基金面上项目等课题, 在《Journal of Sound and Vibration》《Mechanical Systems and Signal Processing》等高水平期刊发表论文20余篇

    瞿叶高, 上海交通大学科研院副院长、前沿创新研究院院长, 机械系统与振动全国重点实验室副主任. 主要从事非线性动力学设计及振动与声波操控研究. 主持国家杰出青年科学基金以及基金委重大项目课题、叶企孙基金重点项目等. 获教育部自然科学奖一等奖、上海市科技进步一等奖、中国力学学会青年科技奖、中国振动工程学会青年科技奖等奖励. 担任《Applied Acoustics》副主编以及多个国内外期刊编委. 兼任中国力学学会理性力学和力学中的数学方法专业委员会委员, 中国振动工程学会副秘书长、非线性振动专业委员会副主任等

    通讯作者:

    yszheng@xmu.edu.cn

    quyegao@sjtu.edu.cn

  • 中图分类号: V214,O326

Advances in thin-walled metastructures for vibration and noise control and their applications in aerospace engineering

More Information
  • 摘要: 薄壁结构在飞行器领域普遍存在, 随着先进飞行器向宽速域、跨介质、大尺寸等方向发展, 薄壁结构面临的声振环境更加复杂, 对低频宽带和时变减振降噪的需求更加迫切. 超结构/超材料的快速发展为先进飞行器的技术突破提供了新途径, 其中基于局域共振机制的薄壁超结构在解决飞行器振动与噪声控制问题方面具有显著的应用前景. 聚焦薄壁结构的减振和隔声难题, 综述了被动式和压电式薄壁超结构的研究进展, 并对两者的发展脉络和技术特性进行了对比分析, 为先进飞行器薄壁超结构研制提供借鉴. 首先, 介绍了被动式和压电式薄壁超结构的带隙机理和隔声机理, 为后续介绍研究进展提供理论基础. 其次, 从减振和隔声两方面梳理了薄壁超结构设计和性能调控方法, 并针对非线性薄壁超结构减振问题进行了专门讨论. 然后, 探讨了薄壁超结构在飞行器舱室减振降噪、飞行器动力系统减振降噪和高速飞行器壁板颤振等几个方面的应用前景. 最后, 从优化设计、智能调控、多功能融合、极端环境适应性和精密制造等方面展望了飞行器薄壁超结构的发展方向.

     

  • 图  1  飞行器薄壁结构的振动和噪声问题

    图  2  一些典型的局域共振超结构. (a) 重物−软材料包覆型 (Liu et al. 2000), (b) 重物−软材料支撑型 (Wang et al. 2005), (c) 薄膜−重物共振型 (Naify et al. 2011), (d) 亥姆霍兹共鸣器型 (Fang et al. 2006), (e) 柔性结构−质量块一体型 (Nateghi et al. 2019), (f) 压电分流共振型 (Airoldi & Ruzzene 2011a)

    图  3  被动式局域共振薄壁超结构梁示意图. (a) 超结构, (b) 超结构元胞

    图  4  被动式局域共振薄壁超结构的带隙特性. (a) 频率ω−波数k关系曲线, (b) 波数k−频率ω关系曲线, (c) 振动传递率曲线, (d) 带隙内振动位移分布云图

    图  5  压电式局域共振薄壁超结构梁示意图. (a) 超结构, (b) 超结构元胞

    图  6  压电式局域共振薄壁超结构的带隙特性. (a) 频率ω−波数k关系曲线, (b) 波数k−频率ω关系曲线, (c) 振动传递率曲线, (d) 带隙内振动位移分布云图

    图  7  被动式薄壁结构隔声示意图. (a) 等轴侧视图, (b) 侧视图

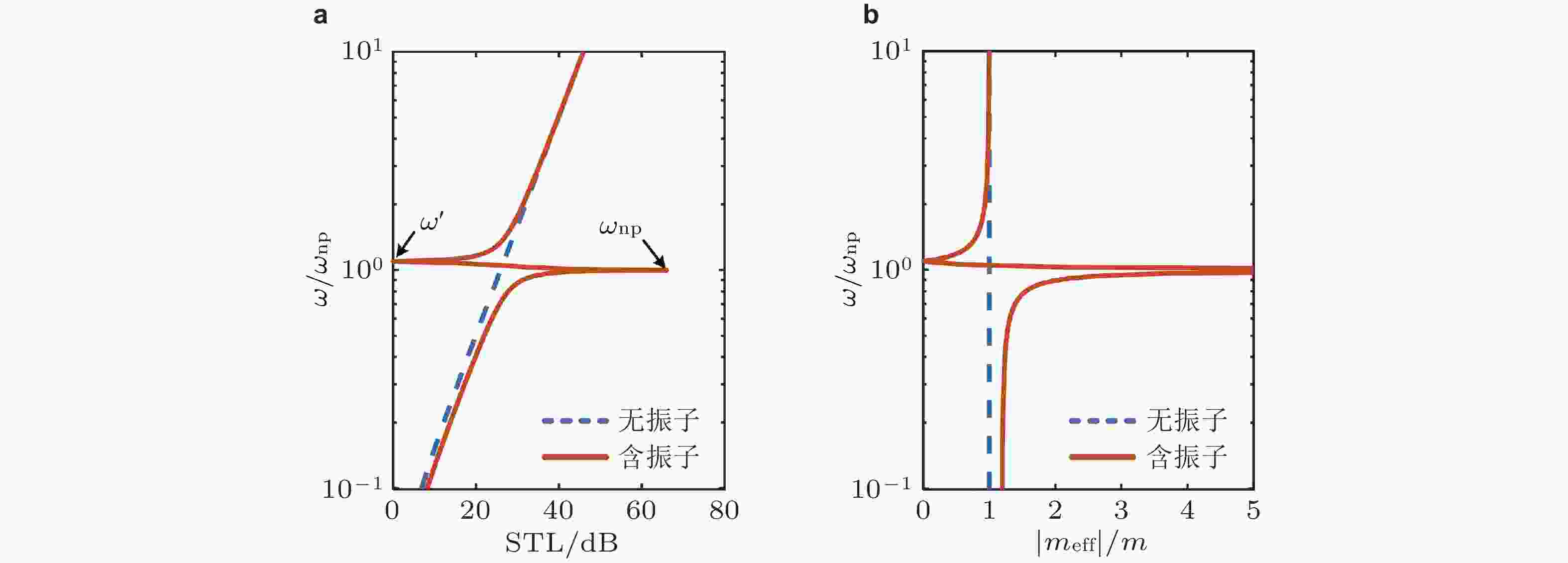
    图  8  被动式薄壁超结构的隔声特性. (a) 声传输损失, (b) 无量纲等效质量密度

    图  9  压电式薄壁超结构隔声示意图. (a) 等轴侧视图, (b) 侧视图

    图  10  几种类型的局域共振薄壁超结构. (a) 超结构板示意图及其色散关系 (Xiao et al. 2012b), (b) 含弹簧片−质量块振子的超结构 (Sugino et al. 2017b), (c) 含橡胶−铅块振子的超结构 (Oudich et al. 2010), (d) 含螺旋线型振子的超结构 (Jin et al. 2022b), (e) 含板型振子的超结构 (Wang et al. 2021)

    图  11  附加局域振子型超结构在汽车仪表盘面板的减振应用 (Jung et al. 2019). (a) 实物; (b) 减振性能曲线, 图中给出了原结构、只含磁体以及具有不同带隙频率的三种超结构等五种工况

    图  12  几种复杂结构型式的薄壁超结构. (a) 内嵌振子三明治型超结构 (Sharma & Sun 2016), (b) 碳纤维增强复合桁架型超结构 (Liu et al. 2026), (c) 形状记忆合金型超结构 (Liu et al. 2024a), (d) 永磁型超结构 (Wang et al. 2025c)

    图  13  局域共振薄壁超结构壳体色散特性(Nateghi et al. 2017). (a) 超结构元胞与壳体示意图; (b) 不同曲率半径R下, 频率与波传输常数μ虚部的关系, 上面一行表示波沿周向传播, 下面一行表示波沿轴向传播

    图  14  薄壁超结构壳体减振. (a) 附加周期振子的超结构壳体及其带隙减振特性 (Nateghi et al. 2019), (b) 蜂窝夹层型超结构壳体及其带隙减振特性 (Jin et al. 2022a)

    图  15  薄壁超结构流致振动抑制 (Pires et al. 2022a). (a) 试验方形管道, (b) 超结构板示意图, (c) 测试得到的速度响应自功率谱密度的均方根

    图  16  基于多频共振机制的被动式薄壁超结构宽频减振. (a) 耦合多个弹簧−质量振子阵列 (Xiao et al. 2012c), (b)“彩虹效应”调制 (Celli et al. 2019)

    图  17  基于惯性放大机制的超结构. (a) 含惯性放大机构的周期结构示意图 (Yilmaz et al. 2007), (b) 杠杆式惯性放大薄壁超结构 (Gao et al. 2024), (c) 棱形桁架式惯性放大薄壁超结构 (Russillo et al. 2022)

    图  18  薄壁超结构减振优化设计. (a) 基于拓扑优化策略的超结构板宽频带隙定制化设计 (Jung et al. 2020), (b) 狭缝式超结构板宽频减振参数优化设计 (Priester et al. 2022)

    图  19  耦合单频共振分流电路的压电式薄壁超结构振动控制 (Chen et al. 2013). (a) 压电阵列板, (b) Antoniou虚拟电感, (c) 振动传递率曲线

    图  20  耦合高阶共振电路的压电式薄壁超结构多频带隙振动控制 (Airoldi & Ruzzene 2011b). (a) 高阶共振电路, (b) 振动频响曲线

    图  21  基于电路共振频率“彩虹效应”调制的压电式薄壁超结构宽频振动控制 (Cardella et al. 2016)

    图  22  负电容电路对压电片等效杨氏模量的调控作用 (Chen et al. 2014). (a) 耦合负电容电路的压电结构, (b) 压电片等效杨氏模量

    图  23  耦合负阻抗分流电路的压电式薄壁超结构振动控制. (a) 负电容电路 (Yi & Collet 2021), (b) 负电阻电路(Zheng et al. 2022c)

    图  24  耦合电路网络的压电式薄壁超结构振动控制. (a) 双向电路网络 (Bergamini et al. 2015); (b) 单向电路网络(Zheng et al. 2021), 其中实线表示振动沿正向传输, 而“o”线和“…”线表示振动沿反向传输

    图  25  耦合数字可编程分流电路的压电式薄壁超结构振动控制. (a) 可编程压电超结构梁 (Sugino et al. 2020b), (b) 可编程压电超结构环 (Zheng et al. 2022b), (c) 可编程压电超结构壳 (Zheng et al. 2024)

    图  26  基于非线性局域振子2:1内共振效应的带隙形成机制 (Silva et al. 2019). (a) 线性局域振子, (b) neo-Hookean 非线性局域振子

    图  27  准零刚度型非线性低频超结构. (a) 压缩弹簧型 (Zhou et al. 2019), (b) 柔性结构型 (Cai et al. 2022)

    图  28  强非线性超结构混沌带宽频减振 (Fang et al. 2017b). (a) 非线性超结构示意图, (b) 振动传递率曲线

    图  29  非线性阻尼超结构梁宽频减振 (Zhao et al. 2024). (a) 超结构示意图; (b) 实物图; (c) 传递率曲线, 灰色曲线表示理论结果, 蓝色曲线表示试验结果, 颜色越深表示激励幅值越大

    图  30  非线性薄壁超结构颤振抑制 (Tian et al. 2022c). (a) 非线性超结构板示意图, (b) 颤振响应分叉图

    图  31  基于杜芬非线性效应和非线性能量阱效应的压电式薄壁超结构振动控制 (Mosquera-Sánchez & De Marqui 2021). (a) 超结构样机, (b) 分流电路示意图, (c) 考虑非线性能量阱效应的试验传递率曲线

    图  32  可编程非线性压电式薄壁超结构振动控制. (a) 宽频带隙减振(Xia et al. 2024), (b) 多模态减振 (Gong et al. 2025)

    图  33  耦合复杂非线性分流电路的压电式薄壁超结构. (a) 双稳态非线性电路 (Zheng et al. 2019); (b) 组合非线性电路 (Chen et al. 2024a), 下图实线和圆圈分别表示由谐波平衡法得到的解析解和龙格库塔法得到的数值积分解

    图  34  薄板−弹簧质量振子型超结构隔声设计. (a) 超结构板示意图及其在质量控制区和吻合频率区的声传输损失(Xiao et al. 2012a), 其中fco表示吻合频率; (b) 含弹性结构−质量块一体式振子的隔声超结构 (Janssen et al. 2023); (c) 含软材料−质量块式振子的隔声超结构 (Nakayama et al. 2021); (d) 内嵌振子式隔声超结构 (Jin et al. 2023)

    图  35  薄板/薄膜−质量块型超结构隔声设计. (a) 预拉伸双层薄膜超结构 (Nguyen et al. 2021), (b) 气压调节式薄膜超结构 (Langfeldt et al. 2016), (c) 梯度参数分布式薄膜超结构 (Li et al. 2024a), (d) 无框架式薄板超结构 (Xiao et al. 2021), (e) 含多孔材料的双层薄板超结构 (Wang et al. 2023), (f) 惯性放大式薄板超结构 (Sun et al. 2024)

    图  36  大尺寸薄壁超结构隔声设计. (a) 多胞协同耦合型超结构 (Wang et al. 2019), (b) 层合板型超结构 (Gu et al. 2022)

    图  37  高承载薄壁超结构隔声设计. (a) 穿孔板−薄板−加强层复合超结构 (Ren et al. 2024), (b) 柔性薄板−支撑板−加强筋复合超结构 (Ren et al. 2025)

    图  38  薄壁超结构壳体隔声. (a) 圆柱壳体环频隔声性能调控 (Liu et al. 2019), (b) 飞机侧壁板环频隔声性能调控 (Droz et al. 2019)

    图  39  基于多频共振机制的薄壁超结构宽频带隔声 (Xiao et al. 2012a). (a) 含多个局域振子阵列的超结构板示意图, (b) 质量控制区宽频隔声, (c) 吻合频率区宽频隔声

    图  40  基于惯性放大机制的薄壁超结构宽频隔声 (Mi & Yu 2021). (a) 惯性放大超结构元胞示意图, (b) 声传输损失曲线

    图  41  薄壁超结构多模态局域振子拓扑优化设计 (Giannini et al. 2025). (a) 局域振子物理密度分布, (b) 超结构板, (c) 声传输损失曲线

    图  42  非线性薄壁超结构隔声 (Li et al. 2025). (a) 含两自由度非线性振子的隔声超结构示意图; (b) 超结构实物; (c) 声传输损失曲线, 图中给出了几种含不同非线性系数knr1knr2的工况

    图  43  压电式薄壁超结构板隔声 (Zhang et al. 2015). (a) 超结构示意图, (b) 声传输损失曲线, (c) 色散曲线

    图  44  压电式薄壁超结构壳体及其声传输损失. (a) 耦合局域共振电路 (Yuan et al. 2025), (b) 耦合负电容电路 (Zheng et al. 2025)

    图  45  欧洲在客机舱室隔声超结构方面的研究进展. (a) 机身侧壁板集成薄膜型超结构 (Langfeldt 2018), (b) 天花板内衬集成局域共振超结构 (Pires et al. 2022b)

    图  46  国内在飞行器舱室声学超结构方面的研究进展. (a) 飞机舱室层合型隔声超结构大尺寸样件 (顾金桃 等2022), (b) 直升机声学超结构壁板大尺寸样件 (王晓乐 等 2024)

    图  47  航空发动机壁板噪声辐射方向智能调控概念图 (Schimidt et al. 2024)

    表  1  被动式和压电式薄壁超结构减振降噪特性对比

    比较点 被动式薄壁超结构 压电式薄壁超结构
    局域振子类型 机械振子 共振电路
    带隙机制 负等效质量 负等效刚度
    带隙位置 在振子共振频率以上 在振子共振频率以下
    宽频调控方法 √ 多频率共振
    √ 惯性放大
    √ 非线性调控
    √ 多频率共振
    √ 力电耦合效应放大 (负电容电路)
    √ 非线性调控
    优势 ✧ 稳定性强
    ✧ 易于集成制造
    ✧ 不耗能
    ✧ 减振降噪效果明显
    ✧ 成本相对较低
    ✧ 主动可调性好
    ✧ 可设计空间大
    ✧ 附加质量小
    ✧ 非线性效应设计和调控灵活
    ✧ 易于多功能集成
    下载: 导出CSV
  • [1] 曹丰, 曾志勇, 黄建, 等. 2023. 连续纤维增强复合材料的3D打印工艺及应用进展. 中国科学: 技术科学, 53(11): 1815-1833 (Cao F, Zeng Z Y, Huang J, et al. 2023. Printing process and application progress of 3D printing continuous fiber reinforced composites. Scientia Sinica Technologica, 53(11): 1815-1833). doi: 10.1360/SST-2023-0077

    Cao F, Zeng Z Y, Huang J, et al. 2023. Printing process and application progress of 3D printing continuous fiber reinforced composites. Scientia Sinica Technologica, 53(11): 1815-1833 doi: 10.1360/SST-2023-0077
    [2] 丁千, 张舒, 黄锐, 等. 2025. 数据驱动动力学与控制研究若干进展. 力学进展, 55(4): 747-818 (Ding Q, Zhang S, Huang R, et al. 2025. Recent advances on data-driven dynamics and control. Advances in Mechanics, 55(4): 747-818).

    Ding Q, Zhang S, Huang R, et al. 2025. Recent advances on data-driven dynamics and control. Advances in Mechanics, 55(4): 747-818
    [3] 高鹏林, 龚凌云, 王国旭, 等. 2025. 非线性周期结构动力学与波动调控研究进展. 力学进展, 55(3): 567-641 (Gao P L, Gong L Y, Wang G X, et al. 2025. Review on the dynamics and wave control in nonlinear periodic structures. Advances in Mechanics, 55(3): 567-641). doi: 10.6052/1000-0992-24-047

    Gao P L, Gong L Y, Wang G X, et al. 2025. Review on the dynamics and wave control in nonlinear periodic structures. Advances in Mechanics, 55(3): 567-641 doi: 10.6052/1000-0992-24-047
    [4] 顾金桃, 王晓乐, 汤又衡, 等. 2022. 提高飞机壁板低频宽带隔声的层合声学超材料. 航空学报, 43(1): 224785 (Gu J T, Wang X L, Tang Y H, et al. 2022. Laminated acoustic metamaterial for improving low-frequency broadband sound insulation of aircraft wall panels. Acta Aeronautica et Astronautica Sinica, 43(1): 224785). doi: 10.7527/S1000-6893.2020.24785

    Gu J T, Wang X L, Tang Y H, et al. 2022. Laminated acoustic metamaterial for improving low-frequency broadband sound insulation of aircraft wall panels. Acta Aeronautica et Astronautica Sinica, 43(1): 224785 doi: 10.7527/S1000-6893.2020.24785
    [5] 季宏丽, 黄薇, 裘进浩, 等. 2017. 声学黑洞结构应用中的力学问题. 力学进展, 47: 201710 (Ji H L, Huang W, Qiu J H, et al. 2017. Mechanics problems in application of acoustic black hole structures. Advances in Mechanics, 47: 201710). doi: 10.6052/1000-0992-16-033

    Ji H L, Huang W, Qiu J H, et al. 2017. Mechanics problems in application of acoustic black hole structures. Advances in Mechanics, 47: 201710 doi: 10.6052/1000-0992-16-033
    [6] 季宏丽, 裘进浩, 赵金玲. 2018. 结构半主动振动控制−压电同步开关阻尼技术. 北京: 科学出版社 (Ji H L, Qiu J H, Zhao J L. 2018. Piezoelecrtic semi-active vibration control-synchronized switch damping technology. Beijing: Science Press).

    Ji H L, Qiu J H, Zhao J L. 2018. Piezoelecrtic semi-active vibration control-synchronized switch damping technology. Beijing: Science Press
    [7] 李政阳, 王彦正, 马天雪, 等. 2022. 智能压电声子晶体与超材料研究现状与展望. 科学通报, 67(12): 1305-1325 (Li Z Y, Wang Y Z, Ma T X, et al. 2022. Smart piezoelectric phononic crystals and metamaterials: State-of-the-art review and outlook. Chinese Science Bulletin, 67(12): 1305-1325). doi: 10.1360/TB-2021-1265

    Li Z Y, Wang Y Z, Ma T X, et al. 2022. Smart piezoelectric phononic crystals and metamaterials: State-of-the-art review and outlook. Chinese Science Bulletin, 67(12): 1305-1325 doi: 10.1360/TB-2021-1265
    [8] 卢天健, 辛锋先. 2014. 轻质板壳结构设计的振动和声学基础. 北京: 科学出版社 (Lu T J, Xin F X. 2014. The basics of vibration and sound in designing light plates and shells. Beijing: Science Press).

    Lu T J, Xin F X. 2014. The basics of vibration and sound in designing light plates and shells. Beijing: Science Press
    [9] 宋玉宝, 温激鸿, 郁殿龙, 等. 2018. 板结构振动与噪声抑制研究综述. 机械工程学报, 54(15): 60-77 (Song Y B, Wen J H, Yu D L, et al. 2018. Review of vibration and noise control of the plate structures. Journal of Mechanical Engineering, 54(15): 60-77). doi: 10.3901/JME.2018.15.060

    Song Y B, Wen J H, Yu D L, et al. 2018. Review of vibration and noise control of the plate structures. Journal of Mechanical Engineering, 54(15): 60-77 doi: 10.3901/JME.2018.15.060
    [10] 王凯, 周加喜, 蔡昌琦, 等. 2022. 低频弹性波超材料的若干进展. 力学学报, 54(10): 2678-2694 (Wang K, Zhou J X, Cai C Q, et al. 2022. Review of low-frequency elastic wave metamaterials. Chinese Journal of Theoretical and Applied Mechanics, 54(10): 2678-2694). doi: 10.6052/0459-1879-22-108

    Wang K, Zhou J X, Cai C Q, et al. 2022. Review of low-frequency elastic wave metamaterials. Chinese Journal of Theoretical and Applied Mechanics, 54(10): 2678-2694 doi: 10.6052/0459-1879-22-108
    [11] 王晓乐, 孙萍, 顾鑫, 等. 2024. 直升机声学超材料舱壁的低频多带隙降噪特性. 航空学报, 45(6): 428901 (Wang X L, Sun P, Gu X, et al. 2024. Low-frequency and multi-bandgap noise reduction characteristics of acoustic metamaterial-based helicopter sidewall. Acta Aeronautica et Astronautica Sinica, 45(6): 428901). doi: 10.7527/S1000-6893.2023.28901

    Wang X L, Sun P, Gu X, et al. 2024. Low-frequency and multi-bandgap noise reduction characteristics of acoustic metamaterial-based helicopter sidewall. Acta Aeronautica et Astronautica Sinica, 45(6): 428901 doi: 10.7527/S1000-6893.2023.28901
    [12] 吴九汇, 马富银, 沈思文, 等. 2016. 声学超材料在低频减振降噪中的应用评述. 机械工程学报, 52(13): 68-78 (Wu J H, Ma F Y, Shen S W, et al. 2016. Application of acoustic metamaterials in low-frequency vibration and noise reduction. Journal of Mechanical Engineering, 52(13): 68-78). doi: 10.3901/JME.2016.13.068

    Wu J H, Ma F Y, Shen S W, et al. 2016. Application of acoustic metamaterials in low-frequency vibration and noise reduction. Journal of Mechanical Engineering, 52(13): 68-78 doi: 10.3901/JME.2016.13.068
    [13] 肖勇, 王洋, 赵宏刚, 等. 2023. 面向减振降噪应用的声学超构材料研究进展. 机械工程学报, 59(19): 277-298 (Xiao Y, Wang Y, Zhao H G, et al. 2023. Research progress of acoustic metamaterials for vibration and noise reduction applications. Journal of Mechanical Engineering, 59(19): 277-298). doi: 10.3901/JME.2023.19.277

    Xiao Y, Wang Y, Zhao H G, et al. 2023. Research progress of acoustic metamaterials for vibration and noise reduction applications. Journal of Mechanical Engineering, 59(19): 277-298 doi: 10.3901/JME.2023.19.277
    [14] 杨智春, 夏巍. 2010. 壁板颤振的分析模型、数值求解方法和研究进展. 力学进展, 40(1): 81-98 (Yang Z C, Xia W. 2010. Analytical models, numerical solutions and advances in the study of panel flutter. Advances in Mechanics, 40(1): 81-98). doi: 10.6052/1000-0992-2010-1-J2008-058

    Yang Z C, Xia W. 2010. Analytical models, numerical solutions and advances in the study of panel flutter. Advances in Mechanics, 40(1): 81-98 doi: 10.6052/1000-0992-2010-1-J2008-058
    [15] 易凯军, 陈洋洋, 朱睿, 等. 2022. 力电耦合主动超材料及其弹性波调控. 科学通报, 67(12): 1290-1304 (Yi K J, Chen Y Y, Zhu R, et al. 2022. Electromechanical active metamaterials and their applications in controlling elastic wave propagation. Chinese Science Bulletin, 67(12): 1290-1304). doi: 10.1360/TB-2021-0573

    Yi K J, Chen Y Y, Zhu R, et al. 2022. Electromechanical active metamaterials and their applications in controlling elastic wave propagation. Chinese Science Bulletin, 67(12): 1290-1304 doi: 10.1360/TB-2021-0573
    [16] 尹剑飞, 蔡力, 方鑫, 等. 2022. 力学超材料研究进展与减振降噪应用. 力学进展, 52(3): 508-586 (Yin J F, Cai L, Fang X, et al. 2022. Review on research progress of mechanical metamaterials and their applications in vibration and noise control. Advances in Mechanics, 52(3): 508-586). doi: 10.6052/1000-0992-22-005

    Yin J F, Cai L, Fang X, et al. 2022. Review on research progress of mechanical metamaterials and their applications in vibration and noise control. Advances in Mechanics, 52(3): 508-586 doi: 10.6052/1000-0992-22-005
    [17] 苑凯华, 章卓耿, 查俊, 等. 2024. 超声速壁板气动弹性动响应抑制风洞试验研究. 北京航空航天大学学报, 1-19 (Yuan K H, Zhang Z G, Zha J, et al. 2024. Wind tunnel test for aeroelastic dynamic response supression of supersonic panel. Journal of Beijing University of Aeronautics and Astronautics, 1-19). doi: 10.13700/j.bh.1001-5965.2024.0602

    Yuan K H, Zhang Z G, Zha J, et al. 2024. Wind tunnel test for aeroelastic dynamic response supression of supersonic panel. Journal of Beijing University of Aeronautics and Astronautics, 1-19 doi: 10.13700/j.bh.1001-5965.2024.0602
    [18] 袁毅, 游镇宇, 陈伟球. 2021. 压电超构材料及其波动控制研究: 现状与展望. 力学学报, 53(8): 2101-2116 (Yuan Y, You Z Y, Chen W Q. 2021. Piezoelectric metamaterials and wave control: Status quo and prospects. Chinese Journal of Theoretical and Applied Mechanics, 53(8): 2101-2116). doi: 10.6052/0459-1879-21-198

    Yuan Y, You Z Y, Chen W Q. 2021. Piezoelectric metamaterials and wave control: Status quo and prospects. Chinese Journal of Theoretical and Applied Mechanics, 53(8): 2101-2116 doi: 10.6052/0459-1879-21-198
    [19] 章本本, 缪林昌, 郑海忠, 等. 2024. 机器学习在声学超材料中的应用进展. 振动与冲击, 43(23): 280-293 (Zhang B B, Liao L C, Zheng H Z, et al. 2024. Application progress of machine learning in acoustic metamaterials. Journal of Vibration and Shock, 43(23): 280-293). doi: 10.13465/j.cnki.jvs.2024.23.031

    Zhang B B, Liao L C, Zheng H Z, et al. 2024. Application progress of machine learning in acoustic metamaterials. Journal of Vibration and Shock, 43(23): 280-293 doi: 10.13465/j.cnki.jvs.2024.23.031
    [20] 张桂玮, 刘召庆, 朱镭, 等. 2024. 地面颤振模拟试验技术研究进展. 航空学报, 45(10): 029229 (Zhang G W, Liu Z Q, Zhu L, et al. 2024. Research progress of ground flutter simulation test technology. Acta Aeronautica et Astronautica Sinica, 45(10): 029229). doi: 10.7527/S1000-6893.2024.29229

    Zhang G W, Liu Z Q, Zhu L, et al. 2024. Research progress of ground flutter simulation test technology. Acta Aeronautica et Astronautica Sinica, 45(10): 029229 doi: 10.7527/S1000-6893.2024.29229
    [21] 郑宜生, 袁怀炳. 2025. 旋翼飞行器压电超结构涵道隔声设计与调控方法. CN120553178A (Zheng Y S, Yuang H B. 2025. Sound insulation and tuning methods of piezoelectric metastructure ducts of rotorcrafts. CN120553178A).

    Zheng Y S, Yuang H B. 2025. Sound insulation and tuning methods of piezoelectric metastructure ducts of rotorcrafts. CN120553178A
    [22] 郑宜生, 陈逸涵, 瞿叶高, 等. 2024. 双稳态压电超结构的超传输滞回效应与非互易编码特性. 力学学报, 56(7): 2103-2113 (Zheng Y S, Chen Y H, Qu Y G, et al. 2024. Supratransmission hysteresis and nonreciprocal codes in a piezoelectric metastructure with bistable-circuit shunts. Chinese Journal of Theoretical and Applied Mechanics, 56(7): 2103-2113). doi: 10.6052/0459-1879-23-612

    Zheng Y S, Chen Y H, Qu Y G, et al. 2024. Supratransmission hysteresis and nonreciprocal codes in a piezoelectric metastructure with bistable-circuit shunts. Chinese Journal of Theoretical and Applied Mechanics, 56(7): 2103-2113 doi: 10.6052/0459-1879-23-612
    [23] Aghakhani A, Gozum M M, Basdogan I. 2020. Modal analysis of finite-size piezoelectric metamaterial plates. Journal of Physics D: Applied Physics, 53(50): 505304. doi: 10.1088/1361-6463/abb5d5
    [24] Airoldi L, Ruzzene M. 2011a. Design of tunable acoustic metamaterials through periodic arrays of resonant shunted piezos. New Journal of Physics, 13(11): 113010. doi: 10.1088/1367-2630/13/11/113010
    [25] Airoldi L, Ruzzene M. 2011b. Wave propagation control in beams through periodic multi-branch shunts. Journal of Intelligent Material Systems and Structures, 22(14): 1567-1579. doi: 10.1177/1045389X11408372
    [26] Ajith A, Balakrishnan B, Raja S, et al. 2025. Sound transmission performance of plate-type acoustic metamaterials for quieter aircraft cabins. Applied Acoustics, 238: 110806. doi: 10.1016/j.apacoust.2025.110806
    [27] Alfahmi O, Erturk A. 2024. Programmable hardening and softening cubic inductive shunts for piezoelectric structures: Harmonic balance analysis and experiments. Journal of Sound and Vibration, 571: 118029. doi: 10.1016/j.jsv.2023.118029
    [28] Alfahmi O, Sugino C, Erturk A. 2022. Duffing-type digitally programmable nonlinear synthetic inductance for piezoelectric structures. Smart Materials and Structures, 31(9): 095044. doi: 10.1088/1361-665X/ac858b
    [29] Alshaqaq M, Erturk A. 2020. Graded multifunctional piezoelectric metastructures for wideband vibration attenuation and energy harvesting. Smart Materials and Structures, 30(1): 015029. doi: 10.1088/1361-665x/abc7fa
    [30] Amaral D R, Ichchou M N, Kołakowski P, et al. 2023. Lightweight gearbox housing with enhanced vibro-acoustic behavior through the use of locally resonant metamaterials. Applied Acoustics, 210: 109435. doi: 10.1016/j.apacoust.2023.109435
    [31] Bai L, Yao H, Han C, et al. 2025. Recent advances in nonlinear vibration metamaterials. Mechanical Systems and Signal Processing, 236: 113046. doi: 10.1016/j.ymssp.2025.113046
    [32] Balakrishnan B, Raja S, Chandra N. 2024. Numerical investigation and optimization of plate-type acoustic metamaterials for noise reduction in segmented aircraft fuselage cabin structure. Asian Conf. Mech. Funct. Mater. Struct., pp. 407-420. Springer Nature Singapore.
    [33] Bao B, Guyomar D, Lallart M. 2016. Electron−phonon metamaterial featuring nonlinear tri-interleaved piezoelectric topologies and its application in low-frequency vibration control. Smart Materials and Structures, 25(9): 095010. doi: 10.1088/0964-1726/25/9/095010
    [34] Bao B, Guyomar D, Lallart M. 2017a. Piezoelectric metacomposite structure carrying nonlinear multilevel interleaved-interconnected switched electronic networks. Composite Structures, 161: 308-329. doi: 10.1016/j.compstruct.2016.11.031
    [35] Bao B, Guyomar D, Lallart M. 2017b. Vibration reduction for smart periodic structures via periodic piezoelectric arrays with nonlinear interleaved-switched electronic networks. Mechanical Systems and Signal Processing, 82: 230-259. doi: 10.1016/j.ymssp.2016.05.021
    [36] Bao B, Lallart M, Guyomar D. 2020. Structural design of a piezoelectric meta-structure with nonlinear electrical Bi-link networks for elastic wave control. International Journal of Mechanical Sciences, 181: 105730. doi: 10.1016/j.ijmecsci.2020.105730
    [37] Bao B, Wang Q. 2019. Elastic wave manipulation in piezoelectric beam meta-structure using electronic negative capacitance dual-adjacent/staggered connections. Composite Structures, 210: 567-580. doi: 10.1016/j.compstruct.2018.11.053
    [38] Bao B, Zhou S. 2025. Piezoelectric thin-walled meta-plates via nonlinear semi-active electrical interface for low-frequency distributed broadband vibration control. Journal of Sound and Vibration, 602: 118948. doi: 10.1016/j.jsv.2025.118948
    [39] Bergamini A E, Zündel M, Parra E A F, et al. 2015. Hybrid dispersive media with controllable wave propagation: A new take on smart materials. Journal of Applied Physics, 118(15): 154310. doi: 10.1063/1.4934202
    [40] Cai C, Guo X, Yan B, et al. 2024. Modelling and analysis of the quasi-zero-stiffness metamaterial cylindrical shell for low-frequency band gap. Applied Mathematical Modelling, 135: 90-108. doi: 10.1016/j.apm.2024.06.031
    [41] Cai C, Zhou J, Wang K, et al. 2022. Flexural wave attenuation by metamaterial beam with compliant quasi-zero-stiffness resonators. Mechanical Systems and Signal Processing, 174: 109119. doi: 10.1016/j.ymssp.2022.109119
    [42] Cardella D, Celli P, Gonella S. 2016. Manipulating waves by distilling frequencies: A tunable shunt-enabled rainbow trap. Smart Materials and Structures, 25(8): 085017. doi: 10.1088/0964-1726/25/8/085017
    [43] Casadei F, Dozio L, Ruzzene M, et al. 2010a. Periodic shunted arrays for the control of noise radiation in an enclosure. Journal of Sound and Vibration, 329(18): 3632-3646. doi: 10.1016/j.jsv.2010.04.003
    [44] Casadei F, Ruzzene M, Dozio L, et al. 2010b. Broadband vibration control through periodic arrays of resonant shunts: Experimental investigation on plates. Smart Materials and Structures, 19: 015002. doi: 10.1088/0964-1726/19/1/015002
    [45] Casalotti A, El-borgi S, Lacarbonara W. 2018. Metamaterial beam with embedded nonlinear vibration absorbers. International Journal of Non-Linear Mechanics, 98: 32-42. doi: 10.1016/j.ijnonlinmec.2017.10.002
    [46] Celli P, Yousefzadeh B, Daraio C, et al. 2019. Bandgap widening by disorder in rainbow metamaterials. Applied Physics Letters, 114(9): 091903. doi: 10.1063/1.5081916
    [47] Chai Y, Gao W, Ankay B, et al. 2021. Aeroelastic analysis and flutter control of wings and panels: A review. International Journal of Mechanical System Dynamics, 1(1): 5-34. doi: 10.1002/msd2.12015
    [48] Chang K J, Jung J, Kim H G, et al. 2018. An application of acoustic metamaterial for reducing noise transfer through car body panels. SAE Technical Papers, 2018-01-1566.
    [49] Chen B, Zheng Y, Dai S, et al. 2024a. Bandgap enhancement of a piezoelectric metamaterial beam shunted with circuits incorporating fractional and cubic nonlinearities. Mechanical Systems and Signal Processing, 212: 111262. doi: 10.1016/j.ymssp.2024.111262
    [50] Chen J, Huang J, An M, et al. 2024b. Application of machine learning on the design of acoustic metamaterials and phonon crystals: A review. Smart Materials and Structures, 33(7): 073001. doi: 10.1088/1361-665X/ad51bc
    [51] Chen K, Dong X, Gao P, et al. 2025. Physics-informed neural networks for topological metamaterial design and mechanical applications. International Journal of Mechanical Sciences, 301: 110489. doi: 10.1016/j.ijmecsci.2025.110489
    [52] Chen S, Wang G, Wen J, et al. 2013. Wave propagation and attenuation in plates with periodic arrays of shunted piezo-patches. Journal of Sound and Vibration, 332(6): 1520-1532. doi: 10.1016/j.jsv.2012.11.005
    [53] Chen S, Wen J, Yu D, et al. 2011. Band gap control of phononic beam with negative capacitance piezoelectric shunt. Chinese Physics B, 20(1): 014301. doi: 10.1088/1674-1056/20/1/014301
    [54] Chen Y Y, Hu G K, Huang G L. 2016. An adaptive metamaterial beam with hybrid shunting circuits for extremely broadband control of flexural waves. Smart Materials and Structures, 25(10): 105036. doi: 10.1088/0964-1726/25/10/105036
    [55] Chen Y Y, Huang G L, Sun C T. 2014. Band gap control in an active elastic metamaterial with negative capacitance piezoelectric shunting. Journal of Vibration and Acoustics, 136(6): 061008. doi: 10.1115/1.4028378
    [56] Dai S, Zheng Y, Mao J, et al. 2023a. Vibro-acoustic control of a programmable meta-shell with digital piezoelectric shunting. International Journal of Mechanical Sciences, 255: 108475. doi: 10.1016/j.ijmecsci.2023.108475
    [57] Dai S, Zheng Y, Qu Y. 2023b. Programmable piezoelectric meta-rings with high-order digital circuits for suppressing structural and acoustic responses. Mechanical Systems and Signal Processing, 200(800): 110517. doi: 10.1016/j.ymssp.2023.110517
    [58] Daqaq M F, Masana R, Erturk A, et al. 2014. On the role of nonlinearities in vibratory energy harvesting: A critical review and discussion. Applied Mechanics Reviews, 66(4): 040801. doi: 10.1115/1.4026278
    [59] Dekemele K, Giraud-Audine C, Thomas O. 2024. A piezoelectric nonlinear energy sink shunt for vibration damping. Mechanical Systems and Signal Processing, 220: 111615. doi: 10.1016/j.ymssp.2024.111615
    [60] Dong W, Huang Z, Wang T, et al. 2024. Low-frequency vibration reduction of an underwater metamaterial plate excited by a turbulent boundary layer. Journal of Fluids and Structures, 126: 104103. doi: 10.1016/j.jfluidstructs.2024.104103
    [61] Droste M, Manushyna D, Rieß S, et al. 2022. Application of vibroacoustic metamaterials in a vehicle door. DAGA 2022 Stuttgart, 233-235.
    [62] Droz C, Robin O, Ichchou M, et al. 2019. Improving sound transmission loss at ring frequency of a curved panel using tunable 3D-printed small-scale resonators. The Journal of the Acoustical Society of America, 145(1): EL72-EL78. doi: 10.1121/1.5088036
    [63] Envia E. 2001. Fan noise reduction: An overview. 39th Aerosp. Sci. Meet. Exhib, 1(1): 43-64. doi: 10.2514/6.2001-661
    [64] Errico F, Franco F, De Rosa S, et al. 2020. Aeroelastic effects on wave propagation and sound transmission of plates and shells. AIAA Journal, 58(5): 2269-2275. doi: 10.2514/1.J058722
    [65] Ewins D J. 2010. Control of vibration and resonance in aero engines and rotating machinery—An overview. International Journal of Pressure Vessels and Piping, 87(9): 504-510. doi: 10.1016/j.ijpvp.2010.07.001
    [66] Fan L, He Y, Chen X A, et al. 2021. A frequency response function-based optimization for metamaterial beams considering both location and mass distributions of local resonators. Journal of Applied Physics, 130(11): 115101. doi: 10.1063/5.0059025
    [67] Fang N, Xi D, Xu J, et al. 2006. Ultrasonic metamaterials with negative modulus. Nature Materials, 5(6): 452-456. doi: 10.1038/nmat1644
    [68] Fang X, Lacarbonara W, Cheng L. 2025. Advances in nonlinear acoustic/elastic metamaterials and metastructures. Nonlinear Dynamics, 113: 23787-23814. doi: 10.1007/s11071-024-10219-4
    [69] Fang X, Li T, Hu B, et al. 2023. Breaking the mass law for broadband sound insulation through strongly nonlinear interactions. New Journal of Physics, 25: 093010. doi: 10.1088/1367-2630/acf394
    [70] Fang X, Sheng P, Wen J, et al. 2022. A nonlinear metamaterial plate for suppressing vibration and sound radiation. International Journal of Mechanical Sciences, 228: 107473. doi: 10.1016/j.ijmecsci.2022.107473
    [71] Fang X, Wen J, Bonello B, et al. 2017a. Wave propagation in one-dimensional nonlinear acoustic metamaterials. New Journal of Physics, 19(5): 053007. doi: 10.1088/1367-2630/aa6d49
    [72] Fang X, Wen J, Bonello B, et al. 2017b. Ultra-low and ultra-broad-band nonlinear acoustic metamaterials. Nature Communications, 8: 1288. doi: 10.1038/s41467-017-00671-9
    [73] Fronk M D, Fang L, Packo P, et al. 2023. Elastic wave propagation in weakly nonlinear media and metamaterials: A review of recent developments. Nonlinear Dynamics, 111(12): 10709-10741. doi: 10.1007/s11071-023-08399-6
    [74] Gao L, Mak C M, Ma K W, et al. 2024. Mechanisms of multi-bandgap inertial amplification applied in metamaterial sandwich plates. International Journal of Mechanical Sciences, 277: 109424. doi: 10.1016/j.ijmecsci.2024.109424
    [75] Gao N, Zhang Z, Deng J, et al. 2022. Acoustic metamaterials for noise reduction: A review. Advanced Materials Technologies, 7(6): 2100698. doi: 10.1002/admt.202100698
    [76] Giannini D, Schevenels M, Reynders E P B. 2025. Topology optimization design of multi-modal resonators for metamaterial panels with maximized broadband vibroacoustic attenuation. Journal of Sound and Vibration, 595: 118691. doi: 10.1016/j.jsv.2024.118691
    [77] Gong L, Zhang G, Gao P, et al. 2025. Tunable nonlinear piezoelectric metabeams for multimode vibration suppression. International Journal of Mechanical Sciences, 295(800): 110238. doi: 10.1016/j.ijmecsci.2025.110238
    [78] Greenwood E, Brentner K S, Rau R F, et al. 2022. Challenges and opportunities for low noise electric aircraft. International Journal of Aeroacoustics, 21(5-7): 315-381. doi: 10.1177/1475472X221107377
    [79] Gu J, Tang Y, Wang X, et al. 2022. Laminated plate-type acoustic metamaterials with Willis coupling effects for broadband low-frequency sound insulation. Composite Structures, 292: 115689. doi: 10.1016/j.compstruct.2022.115689
    [80] Guo X, Gusev V E, Bertoldi K, et al. 2018. Manipulating acoustic wave reflection by a nonlinear elastic metasurface. Journal of Applied Physics, 123(12): 124901. doi: 10.1063/1.5015952
    [81] Guo X, Gusev V E, Tournat V. 2019. Frequency-doubling effect in acoustic reflection by a nonlinear, architected rotating-square metasurface. Physical Review E, 99: 052209. doi: 10.1103/PhysRevE.99.052209
    [82] Gurbuz C, Kronowetter F, Dietz C, et al. 2021. Generative adversarial networks for the design of acoustic metamaterials. The Journal of the Acoustical Society of America, 149(2): 1162-1174. doi: 10.1121/10.0003501
    [83] Hagood N W, von Flotow A. 1991. Damping of structural vibrations with piezoelectric materials and passive electrical networks. Journal of Sound and Vibration, 146(2): 243-268. doi: 10.1016/0022-460X(91)90762-9
    [84] He C, Wang B, Song Q, et al. 2024. Research progress on analysis and test methods of aircraft panel flutter. Advances in Aeronautical Science and Engineering, 15(6): 66-76. doi: 10.16615/j.cnki.1674-8190.2024.06.06
    [85] Hernan J, Torre V, Brunskog J, et al. 2021. Hybrid analytical-numerical optimization design methodology of acoustic metamaterials for sound insulation. The Journal of the Acoustic Society of America, 149: 4398-4409. doi: 10.1121/10.0005316
    [86] Hu B, Fang X, Wen J, et al. 2024. Effectively reduce transient vibration of 2D wing with bi-stable metamaterial. International Journal of Mechanical Sciences, 272: 109172. doi: 10.1016/j.ijmecsci.2024.109172
    [87] Hu G, Austin A C M, Sorokin V, et al. 2021. Metamaterial beam with graded local resonators for broadband vibration suppression. Mechanical Systems and Signal Processing, 146: 106982. doi: 10.1016/j.ymssp.2020.106982
    [88] Huang W, Tang W, Chen Z, et al. 2025. Reinforcement-learning empowered adaptive piezoelectric metamaterial for variable-frequency vibration attenuation. Engineering Structures, 332: 120013. doi: 10.1016/j.engstruct.2025.120013
    [89] Jang J Y, Song K. 2023. Synergistic acoustic metamaterial for soundproofing: Combining membrane and locally resonant structure. International Journal of Mechanical Sciences, 256: 108500. doi: 10.1016/j.ijmecsci.2023.108500
    [90] Janssen S, Van Belle L, de Melo Filho N G R, et al. 2023. Improving the noise insulation performance of vibro-acoustic metamaterial panels through multi-resonant design. Applied Acoustics, 213: 109622. doi: 10.1016/j.apacoust.2023.109622
    [91] Ji G, Huber J. 2024. Planar piezoelectric metamaterials: Sound transmission and applicable frequency range in oblique incidence. International Journal of Solids and Structures, 289: 112640. doi: 10.1016/j.ijsolstr.2023.112640
    [92] Ji G, Zhou J, Huber J. 2023. The evaluation of electrical circuits for adjusting sound transmission properties of piezoelectric metamaterials. Mechanical Systems and Signal Processing, 200: 110549. doi: 10.1016/j.ymssp.2023.110549
    [93] Jian Y, Hu G, Tang L, et al. 2023. Adaptive piezoelectric metamaterial beam: Autonomous attenuation zone adjustment in complex vibration environments. Smart Materials and Structures, 32(10): 105023. doi: 10.1088/1361-665X/acf62f
    [94] Jian Y, Tang L, Hu G, et al. 2022. Design of graded piezoelectric metamaterial beam with spatial variation of electrodes. International Journal of Mechanical Sciences, 218: 107068. doi: 10.1016/j.ijmecsci.2022.107068
    [95] Jin Y, Jia X Y, Wu Q Q, et al. 2022a. Design of cylindrical honeycomb sandwich meta-structures for vibration suppression. Mechanical Systems and Signal Processing, 163: 108075. doi: 10.1016/j.ymssp.2021.108075
    [96] Jin Y, Wang Y-Z, Li X-Y, et al. 2023. Sound transmission across locally resonant honeycomb sandwich meta-structures with large spatial periodicity. The Journal of the Acoustical Society of America, 154(4): 2609-2624. doi: 10.1121/10.0021869
    [97] Jin Y, Zeng S, Wen Z, et al. 2022b. Deep-subwavelength lightweight metastructures for low-frequency vibration isolation. Materials and Design, 215: 110499. doi: 10.1016/j.matdes.2022.110499
    [98] Jung J, Goo S, Kook J. 2020. Design of a local resonator using topology optimization to tailor bandgaps in plate structures. Materials and Design, 191: 108627. doi: 10.1016/j.matdes.2020.108627
    [99] Jung J, Kim H G, Goo S, et al. 2019. Realisation of a locally resonant metamaterial on the automobile panel structure to reduce noise radiation. Mechanical Systems and Signal Processing, 122: 206-231. doi: 10.1016/j.ymssp.2018.11.050
    [100] Ke Y, Yin J, He Y, et al. 2025. A novel approach for lightweight vibro-acoustic control by optimizing meta-shells into discrete resonator shells. Mechanical Systems and Signal Processing, 232: 112687. doi: 10.1016/j.ymssp.2025.112687
    [101] Kianfar A, Hussein M I. 2023. Phononic-subsurface flow stabilization by subwavelength locally resonant metamaterials. New Journal of Physics, 25(5): 053021. doi: 10.1088/1367-2630/accbe5
    [102] Langfeldt F. 2018. Membrane-type acoustic metamaterials for aircraft noise shields. Hamburg University of Technology.
    [103] Langfeldt F, Gleine W. 2019. Membrane- and plate-type acoustic metamaterials with elastic unit cell edges. Journal of Sound and Vibration, 453: 65-86. doi: 10.1016/j.jsv.2019.04.018
    [104] Langfeldt F, Gleine W. 2020. Optimizing the bandwidth of plate-type acoustic metamaterials. The Journal of the Acoustical Society of America, 148(3): 1304-1314. doi: 10.1121/10.0001925
    [105] Langfeldt F, Riecken J, Gleine W, et al. 2016. A membrane-type acoustic metamaterial with adjustable acoustic properties. Journal of Sound and Vibration, 373: 1-18. doi: 10.1016/j.jsv.2016.03.025
    [106] Lazarov B S, Jensen J S. 2007. Low-frequency band gaps in chains with attached non-linear oscillators. International Journal of Non-Linear Mechanics, 42(10): 1186-1193. doi: 10.1016/j.ijnonlinmec.2007.09.007
    [107] Li H, Tang Z, Zuo G, et al. 2024a. Laminated acoustic metamaterials for low-frequency broadband ultra-strong sound insulation. Thin-Walled Structures, 202: 112151. doi: 10.1016/j.tws.2024.112151
    [108] Li H, Yang J, Liu Q, et al. 2024b. A novel sandwich structure for integrated sound insulation and absorption. International Journal of Mechanical Sciences, 279: 109526. doi: 10.1016/j.ijmecsci.2024.109526
    [109] Li T, Fang X, Wen J. 2025. Significantly broaden sound insulation of metamaterial plate via strongly nonlinear interaction. Nonlinear Dynamics, 113: 24061-24076. doi: 10.1007/s11071-025-11074-7
    [110] Liao Y, Chen Y, Huang G, et al. 2018. Broadband low-frequency sound isolation by lightweight adaptive metamaterials. Journal of Applied Physics, 123(9): 091705. doi: 10.1063/1.5011251
    [111] Liu B, Chen P, Zhu T, et al. 2024a. Tunable bandgaps in an elastic meta-plate with shape memory alloy springs. Extreme Mechanics Letters, 72: 102240. doi: 10.1016/j.eml.2024.102240
    [112] Liu C, Zhang W, Yu K, et al. 2024b. Quasi-zero-stiffness vibration isolation: Designs, improvements and applications. Engineering Structures, 301: 117282. doi: 10.1016/j.engstruct.2023.117282
    [113] Liu F, Xu Y, Peng P, et al. 2024c. A meta-plate with radial rainbow reflection effect for broadband suppression of vibration and sound radiation. Journal of Sound and Vibration, 585: 118428. doi: 10.1016/j.jsv.2024.118428
    [114] Liu S, Mao J, Liu H, et al. 2025. Nonlinear flapping and symmetry-breaking bifurcation modulation of a piezoelectric metamaterial beam in viscous flow. Journal of Fluid Mechanics, 1019: A2. doi: 10.1017/jfm.2025.10556
    [115] Liu Y, Jin Y, Yang Y, et al. 2026. Lightweight continuous carbon fiber reinforced composite truss beam metastructure with cruciform resonators for vibration attenuation. Composites Part A, 201: 109408. doi: 10.1016/j.compositesa.2025.109408
    [116] Liu Z, Rumpler R, Feng L. 2019. Investigation of the sound transmission through a locally resonant metamaterial cylindrical shell in the ring frequency region. Journal of Applied Physics, 125(11): 115105. doi: 10.1063/1.5081134
    [117] Liu Z, Rumpler R, Feng L. 2021. Locally resonant metamaterial curved double wall to improve sound insulation at the ring frequency and mass-spring-mass resonance. Mechanical Systems and Signal Processing, 149: 107179. doi: 10.1016/j.ymssp.2020.107179
    [118] Liu Z, Rumpler R, Sun H, et al. 2022. Improving sound insulation near ring and coincidence frequencies of cylindrical sandwich shells. International Journal of Mechanical Sciences, 235: 107661. doi: 10.1016/j.ijmecsci.2022.107661
    [119] Liu Z, Zhang X, Mao Y, et al. 2000. Locally resonant sonic materials. Science, 289(5485): 1734-1736. doi: 10.1126/science.289.5485.1734
    [120] Lossouarn B, Aucejo M, Deü J-F. 2015. Multimodal coupling of periodic lattices and application to rod vibration damping with a piezoelectric network. Smart Materials and Structures, 24(4): 045018. doi: 10.1088/0964-1726/24/4/045018
    [121] Lossouarn B, Aucejo M, Deü J F. 2018a. Electromechanical wave finite element method for interconnected piezoelectric waveguides. Computers and Structures, 199: 46-56. doi: 10.1016/j.compstruc.2018.01.009
    [122] Lossouarn B, Deü J F, Kerschen G. 2018b. A fully passive nonlinear piezoelectric vibration absorber. Philosophical Transactions of the Royal Society A: Mathematical, Physical and Engineering Sciences, 376(2127): 20170142. doi: 10.1098/rsta.2017.0142
    [123] Luo A, Lossouarn B, Erturk A. 2023. Multimodal vibration damping of a thin circular ring coupled to an analogous piezoelectric network: Numerical analysis. Journal of Sound and Vibration, 581: 203-213. doi: 10.7712/150123.9778.444165
    [124] Luo A, Lossouarn B, Erturk A. 2024. Multimodal vibration damping of a three-dimensional circular ring coupled to analogous piezoelectric networks. Journal of Sound and Vibration, 581: 118385. doi: 10.1016/j.jsv.2024.118385
    [125] Ma F, Wang C, Liu C, et al. 2021. Structural designs, principles, and applications of thin-walled membrane and plate-type acoustic/elastic metamaterials. Journal of Applied Physics, 129: 231103. doi: 10.1063/5.0042132
    [126] Ma H, Yan B. 2021. Nonlinear damping and mass effects of electromagnetic shunt damping for enhanced nonlinear vibration isolation. Mechanical Systems and Signal Processing, 146: 107010. doi: 10.1016/j.ymssp.2020.107010
    [127] Mace B R, Manconi E. 2008. Modelling wave propagation in two-dimensional structures using finite element analysis. Journal of Sound and Vibration, 318(4-5): 884-902. doi: 10.1016/j.jsv.2008.04.039
    [128] Manktelow K, Leamy M J, Ruzzene M. 2011. Multiple scales analysis of wave-wave interactions in a cubically nonlinear monoatomic chain. Nonlinear Dynamics, 63(1-2): 193-203. doi: 10.1007/s11071-010-9796-1
    [129] Manktelow K L, Leamy M J, Ruzzene M. 2014. Weakly nonlinear wave interactions in multi-degree of freedom periodic structures. Wave Motion, 51(6): 886-904. doi: 10.1016/j.wavemoti.2014.03.003
    [130] Mao J, Liu S, Dai S, et al. 2026. A piezoelectric meta-beam with non-Hermitian skin effect for controlling broadband structural–acoustic responses. Applied Acoustics, 241: 111020. doi: 10.1016/j.apacoust.2025.111020
    [131] Marinelli T, Silva P, Clementino M A, et al. 2020. An experimental study of a piezoelectric metastructure with adaptive resonant shunt circuits. IEEE/ASME Transactions on Mechatronics, 25(2): 1076-1083. doi: 10.1109/TMECH.2020.2966463
    [132] Meng H, Chronopoulos D, Fabro A T, et al. 2020a. Rainbow metamaterials for broadband multi-frequency vibration attenuation: Numerical analysis and experimental validation. Journal of Sound and Vibration, 465: 115005. doi: 10.1016/j.jsv.2019.115005
    [133] Meng H, Chronopoulos D, Fabro A T, et al. 2020b. Optimal design of rainbow elastic metamaterials. International Journal of Mechanical Sciences, 165: 105185. doi: 10.1016/j.ijmecsci.2019.105185
    [134] Mi Y, Yu X. 2021. Sound transmission of acoustic metamaterial beams with periodic inertial amplification mechanisms. Journal of Sound and Vibration, 499: 116009. doi: 10.1016/j.jsv.2021.116009
    [135] Moruzzi M C, Cinefra M, Bagassi S, et al. 2021. Attenuation of noise in the cabin of a regional aircraft by metamaterial trim panels. 32nd Congress of the International Council of the Aeronautical Sciences, pp. 1–11.
    [136] Mosquera-Sánchez J A, De Marqui C. 2021. Dynamics and wave propagation in nonlinear piezoelectric metastructures. Nonlinear Dynamics, 105(4): 2995-3023. doi: 10.1007/s11071-021-06785-6
    [137] Mosquera-Sánchez J A, De Marqui C. 2024. Broadband and multimode attenuation in Duffing- and NES-type piezoelectric metastructures. International Journal of Mechanical Sciences, 270: 109084. doi: 10.1016/j.ijmecsci.2024.109084
    [138] Mosquera-Sánchez J A, Ootani N K, De Marqui C. 2022. Effects of negative capacitance circuits on the vibration attenuation performance of a nonlinear piezoelectric metastructure. Act. Passiv. Smart Struct. Integr. Syst. XVI, 12043: 1204318. doi: 10.1117/12.2612553
    [139] Naify C J, Chang C M, McKnight G, et al. 2011. Membrane-type metamaterials: Transmission loss of multi-celled arrays. Journal of Applied Physics, 109(10): 104902. doi: 10.1063/1.3583656
    [140] Nakayama M, Matsuoka T, Saito Y, et al. 2021. A practically designed acoustic metamaterial sheet with two-dimensional connection of local resonators for sound insulation applications. Journal of Applied Physics, 129(10): 105106. doi: 10.1063/5.0041738
    [141] Narisetti R K, Leamy M J, Ruzzene M. 2010. A perturbation approach for predicting wave propagation in one-dimensional nonlinear periodic structures. Journal of Vibration and Acoustics, 132(3): 031001. doi: 10.1115/1.4000775
    [142] Nateghi A, Sangiuliano L, Claeys C, et al. 2019. Design and experimental validation of a metamaterial solution for improved noise and vibration behavior of pipes. Journal of Sound and Vibration, 455: 96-117. doi: 10.1016/j.jsv.2019.05.009
    [143] Nateghi A, Van Belle L, Claeys C, et al. 2017. Wave propagation in locally resonant cylindrically curved metamaterial panels. International Journal of Mechanical Sciences, 127: 73-90. doi: 10.1016/j.ijmecsci.2016.07.003
    [144] Nečásek J, Václavík J, Marton P. 2016. Digital synthetic impedance for application in vibration damping. Review of Scientific Instruments, 87(2): 024704. doi: 10.1063/1.4942085
    [145] Nguyen H, Wu Q, Chen J, et al. 2021. A broadband acoustic panel based on double-layer membrane-type metamaterials. Applied Physics Letters, 118: 184101. doi: 10.1063/5.0042584
    [146] Oliazadeh P, Farshidianfar A. 2017. Analysis of different techniques to improve sound transmission loss in cylindrical shells. Journal of Sound and Vibration, 389: 276-291. doi: 10.1016/j.jsv.2016.11.016
    [147] Oudich M, Li Y, Assouar B M, et al. 2010. A sonic band gap based on the locally resonant phononic plates with stubs. New Journal of Physics, 12: 083049. doi: 10.1088/1367-2630/12/8/083049
    [148] Parra E A F, Bergamini A, Kamm L, et al. 2017a. Implementation of integrated 1D hybrid phononic crystal through miniaturized programmable virtual inductances. Smart Materials and Structures, 26(6): 067001. doi: 10.1088/1361-665X/aa6cf7
    [149] Parra E A F, Bergamini A, Van Damme B, et al. 2017b. Controllable wave propagation of hybrid dispersive media with LC high-pass and band-pass networks. Applied Physics Letters, 110(18): 184103. doi: 10.1063/1.4983088
    [150] Patil G U, Matlack K H. 2022. Review of exploiting nonlinearity in phononic materials to enable nonlinear wave responses. Acta Mechanica, 233: 1-46. doi: 10.1007/s00707-021-03089-z
    [151] Peiffer A, Grünewald M, Lempereur P. 2015. Comment on “a lightweight yet sound-proof honeycomb acoustic metamaterial” [Appl. Phys. Lett. 106, 171905 (2015)]. Applied Physics Letters, 107: 216101. doi: 10.1063/1.4936237
    [152] Pires F A, Sangiuliano L, Denayer H, et al. 2022a. The use of locally resonant metamaterials to reduce flow-induced noise and vibration. Journal of Sound and Vibration, 535: 117106. doi: 10.1016/j.jsv.2022.117106
    [153] Pires F A, Wandel M, Thomas C, et al. 2022b. Improve sound transmission loss of an aircraft’s lining panel by the use of locally resonant metamaterials. Proc. ISMA 2022-Int. Conf. Noise Vib. Eng. USD 2022-Int. Conf. Uncertain. Struct. Dyn., pp. 3108-3118.
    [154] Poggetto V F D, Serpa A L. 2020. Elastic wave band gaps in a three-dimensional periodic metamaterial using the plane wave expansion method. International Journal of Mechanical Sciences, 184: 105841. doi: 10.1016/j.ijmecsci.2020.105841
    [155] Priester J D, Aulitto A, Arteaga I L. 2022. Frequency stop-band optimization in micro-slit resonant metamaterials. Applied Acoustics, 188: 108552. doi: 10.1016/j.apacoust.2021.108552
    [156] Raze G, Jadoul A, Guichaux S, et al. 2020. A digital nonlinear piezoelectric tuned vibration absorber. Smart Materials and Structures, 29(1): 015007. doi: 10.1088/1361-665X/ab5176
    [157] Ren H, Liang G, Liu Q, et al. 2025. High load-bearing plate-type metastructure for ultrabroadband sound insulation. Mechanical Systems and Signal Processing, 228: 112453. doi: 10.1016/j.ymssp.2025.112453
    [158] Ren H, Xiao Y, Chen H, et al. 2024. Plate-type metastructure with low-frequency sound insulation and high stiffness properties. Thin-Walled Structures, 202: 112123. doi: 10.1016/j.tws.2024.112123
    [159] Richardt J D, Lossouarn B, Høgsberg J, et al. 2025. Sensorless calibration of piezoelectric shunts using capacitance measurements. Smart Materials and Structures, 34(3): 035043. doi: 10.1088/1361-665X/adbac8
    [160] Russillo A F, Failla G, Alotta G. 2022. Ultra-wide low-frequency band gap in locally-resonant plates with tunable inerter-based resonators. Applied Mathematical Modelling, 106: 682-695. doi: 10.1016/j.apm.2022.02.015
    [161] Sachdeva R, Ghosh D. 2024. Aperiodicity induced robust design of metabeams: Numerical and experimental studies. International Journal of Mechanical Sciences, 283: 109650. doi: 10.1016/j.ijmecsci.2024.109650
    [162] Sangiuliano L, Reff B, Palandri J, et al. 2022. Low frequency tyre noise mitigation in a vehicle using metal 3D printed resonant metamaterials. Mechanical Systems and Signal Processing, 179: 109335. doi: 10.1016/j.ymssp.2022.109335
    [163] Schimidt C S, de Oliveira L P R, De Marqui C. 2024. Reconfigurable piezoelectric metamaterial for selective noise directivity. Journal of Sound and Vibration, 585: 118472. doi: 10.1016/j.jsv.2024.118472
    [164] Shami Z A, Giraud-Audine C, Thomas O. 2022. A nonlinear piezoelectric shunt absorber with 2:1 internal resonance: Experimental proof of concept. Smart Materials and Structures, 31(3): 035006. doi: 10.1088/1361-665X/ac4ab5
    [165] Sharma B, Sun C T. 2016. Local resonance and Bragg bandgaps in sandwich beams containing periodically inserted resonators. Journal of Sound and Vibration, 364: 133-146. doi: 10.1016/j.jsv.2015.11.019
    [166] Shen Y, Lacarbonara W. 2023. Nonlinear dispersion properties of metamaterial beams hosting nonlinear resonators and stop band optimization. Mechanical Systems and Signal Processing, 187: 109920. doi: 10.1016/j.ymssp.2022.109920
    [167] Sheng P, Fang X, Yu D, et al. 2024. Nonlinear metamaterial enabled aeroelastic vibration reduction of a supersonic cantilever wing plate. Applied Mathematics and Mechanics, 45(10): 1749-1772. doi: 10.1007/s10483-024-3165-7
    [168] Sheng P, Fang X, Wen J, et al. 2021. Vibration properties and optimized design of a nonlinear acoustic metamaterial beam. Journal of Sound and Vibration, 492: 115739. doi: 10.1016/j.jsv.2020.115739
    [169] Sheng P, Hu B, Fang X, et al. 2025. Random aeroelastic vibration of nonlinear metamaterial supersonic plates. International Journal of Mechanical Sciences, 297-298: 110371. doi: 10.1016/j.ijmecsci.2025.110371
    [170] Shi P, Chen Z, Xu Y, et al. 2024. Dynamic stability of a lossy locally resonant metamaterial panel in supersonic flow. Thin-Walled Structures, 197: 111614. doi: 10.1016/j.tws.2024.111614
    [171] Shi P, Liu F, Jiang P, et al. 2025. Non-Hermiticity of metamaterial panel subjected to supersonic aerodynamic force and its asymmetric vibration transmittance. Chinese Journal of Aeronautics, 38: 103694. doi: 10.1016/j.cja.2025.103694
    [172] Silva P B, Leamy M J, Geers M G D, et al. 2019. Emergent subharmonic band gaps in nonlinear locally resonant metamaterials induced by autoparametric resonance. Physical Review E, 99(6): 063003. doi: 10.1103/PhysRevE.99.063003
    [173] Soltani P S, Kerschen G. 2015. The nonlinear piezoelectric tuned vibration absorber. Smart Materials and Structures, 24(7): 075015. doi: 10.1088/0964-1726/24/7/075015
    [174] Song C, Wang X, Xu S, et al. 2024. Inverse design of laminated plate-type acoustic metamaterials for sound insulation based on deep learning. Applied Acoustics, 218: 109906. doi: 10.1016/j.apacoust.2024.109906
    [175] Sugino C, Leadenham S, Ruzzene M, et al. 2016. On the mechanism of bandgap formation in locally resonant finite elastic metamaterials. Journal of Applied Physics, 120(13): 134501. doi: 10.1063/1.4963648
    [176] Sugino C, Leadenham S, Ruzzene M, et al. 2017a. An investigation of electroelastic bandgap formation in locally resonant piezoelectric metastructures. Smart Materials and Structures, 26(5): 055029. doi: 10.1088/1361-665X/aa6671
    [177] Sugino C, Ruzzene M, Erturk A. 2018. Merging mechanical and electromechanical bandgaps in locally resonant metamaterials and metastructures. Journal of the Mechanics and Physics of Solids, 116: 323-333. doi: 10.1016/j.jmps.2018.04.005
    [178] Sugino C, Ruzzene M, Erturk A. 2020a. An analytical framework for locally resonant piezoelectric metamaterial plates. International Journal of Solids and Structures, 182-183: 281-294. doi: 10.1016/j.ijsolstr.2019.08.011
    [179] Sugino C, Ruzzene M, Erturk A. 2020b. Digitally programmable resonant elastic metamaterials. Physical Review Applied, 13(6): 061001. doi: 10.1103/PhysRevApplied.13.061001
    [180] Sugino C, Xia Y, Leadenham S, et al. 2017b. A general theory for bandgap estimation in locally resonant metastructures. Journal of Sound and Vibration, 406: 104-123. doi: 10.1016/j.jsv.2017.06.004
    [181] Sun J, Ma Y, He Y, et al. 2025. Low-frequency vibration attenuation and ensemble learning-based inverse design of vibro-acoustic metamaterials. Mechanical Systems and Signal Processing, 239: 113320. doi: 10.1016/j.ymssp.2025.113320
    [182] Sun Y, Dong J, Lee H P, et al. 2024. Sound transmission characteristics of X-shape inertial amplification acoustic metamaterial. Applied Acoustics, 218: 109908. doi: 10.1016/j.apacoust.2024.109908
    [183] Tang J, Wang K W. 2001. Active-passive hybrid piezoelectric networks for vibration control: Comparisons and improvement. Smart Materials and Structures, 10(4): 794-806. doi: 10.1088/0964-1726/10/4/325
    [184] Tang Z, Wang X, Li S, et al. 2025. A transparent multifunctional integrated meta-window with excellent sound insulation and vibration reduction performance. Composite Structures, 353: 118719. doi: 10.1016/j.compstruct.2024.118719
    [185] Thorp O, Ruzzene M, Baz A. 2001. Attenuation and localization of wave propagation in rods with periodic shunted piezoelectric patches. Smart Materials and Structures, 10(5): 979-989. doi: 10.1088/0964-1726/10/5/314
    [186] Tian W, Yang Z, Li M, et al. 2025. Theoretical modeling and mechanism analysis of nonlinear metastructure for supersonic aeroelastic suppression. Mechanical Systems and Signal Processing, 224: 111931. doi: 10.1016/j.ymssp.2024.111931
    [187] Tian W, Zhao T, Gu Y, et al. 2021. Supersonic flutter control and optimization of metamaterial plate. Chinese Journal of Aeronautics, 34(11): 15-20. doi: 10.1016/j.cja.2021.05.007
    [188] Tian W, Zhao T, Gu Y, et al. 2022a. Nonlinear flutter suppression and performance evaluation of periodically embedded nonlinear vibration absorbers in a supersonic FGM plate. Aerospace Science and Technology, 121: 107198. doi: 10.1016/j.ast.2021.107198
    [189] Tian W, Zhao T, Yang Z. 2022b. Theoretical modelling and design of metamaterial stiffened plate for vibration suppression and supersonic flutter. Composite Structures, 282: 115010. doi: 10.1016/j.compstruct.2021.115010
    [190] Tian W, Zhao T, Yang Z. 2022c. Supersonic meta-plate with tunable-stiffness nonlinear oscillators for nonlinear flutter suppression. International Journal of Mechanical Sciences, 229: 107533. doi: 10.1016/j.ijmecsci.2022.107533
    [191] Tian Z, Bennett J, Yang J, et al. 2022d. Experimental investigation of mechanical, acoustic and hybrid metamaterial designs for enhanced and multi-band electric motor noise dissipation. Engineering Structures, 271: 114945. doi: 10.1016/j.engstruct.2022.114945
    [192] Wan S, Li L, Wang G, et al. 2024. A novel locally resonance metamaterial cylindrical shell with tower-shaped lattice for broadband vibration suppression. Mechanical Systems and Signal Processing, 216: 111510. doi: 10.1016/j.ymssp.2024.111510
    [193] Wang G, Chen S. 2016. Large low-frequency vibration attenuation induced by arrays of piezoelectric patches shunted with amplifier–resonator feedback circuits. Smart Materials and Structures, 25: 015004. doi: 10.1088/0964-1726/25/1/015004
    [194] Wang G, Chen S, Wen J. 2011. Low-frequency locally resonant band gaps induced by arrays of resonant shunts with Antoniou’s circuit: Experimental investigation on beams. Smart Materials and Structures, 20: 015026. doi: 10.1088/0964-1726/20/1/015026
    [195] Wang G, Cheng J, Chen J, et al. 2017. Multi-resonant piezoelectric shunting induced by digital controllers for subwavelength elastic wave attenuation in smart metamaterial. Smart Materials and Structures, 26(2): 025031. doi: 10.1088/1361-665X/aa53ea
    [196] Wang G, Wen J, Wen X. 2005. Quasi-one-dimensional phononic crystals studied using the improved lumped-mass method: Application to locally resonant beams with flexural wave band gap. Physical Review B-Condensed Matter and Materials Physics, 71(10): 104302. doi: 10.1103/PhysRevB.71.104302
    [197] Wang Q, Li J, Zhang Y, et al. 2021. Bandgap properties in metamaterial sandwich plate with periodically embedded plate-type resonators. Mechanical Systems and Signal Processing, 151: 107375. doi: 10.1016/j.ymssp.2020.107375
    [198] Wang S, Xiao Y, Gu J, et al. 2023. Double-panel metastructure lined with porous material for broadband low-frequency sound insulation. Applied Acoustics, 207: 109332. doi: 10.1016/j.apacoust.2023.109332
    [199] Wang X, Chen Y, Zhou G, et al. 2019. Synergetic coupling large-scale plate-type acoustic metamaterial panel for broadband sound insulation. Journal of Sound and Vibration, 459: 114867. doi: 10.1016/j.jsv.2019.114867
    [200] Wang X, Sun P, Gu X, et al. 2025a. Industrial-scale manufactured acoustic metamaterials for multi-bandgap sound reduction. International Journal of Mechanical Sciences, 293: 110184. doi: 10.1016/j.ijmecsci.2025.110184
    [201] Wang X, Zhao J, Kovacic I, et al. 2025b. A new strategy for vibration suppression in locally resonant metamaterials based on autoparametric resonance. Nonlinear Dynamics, 113: 24077-24100. doi: 10.1007/s11071-025-11104-4
    [202] Wang Y, Wang K, Wang B. 2025c. Tunable bandgaps and programmable wave propagation of magnetically actuated metamaterial plates. Mechanical Systems and Signal Processing, 241: 113576. doi: 10.1016/j.ymssp.2025.113576
    [203] Wang Z, Lu X, Zhao Y, et al. 2025d. Harnessing nonlocal coupling effect to enhance broadband sound insulation in gradient acoustic metamaterial. Extreme Mechanics Letters, 78: 102376. doi: 10.1016/j.eml.2025.102376
    [204] Wei X Y, Xiong J, Wang J, et al. 2020. New advances in fiber-reinforced composite honeycomb materials. Science China Technological Sciences, 63(8): 1348-1370. doi: 10.1007/s11431-020-1650-9
    [205] Wu Q, Huang G, Liu C, et al. 2019. Low-frequency multi-mode vibration suppression of a metastructure beam with two-stage high-static-low-dynamic stiffness oscillators. Acta Mechanica, 230(12): 4341-4356. doi: 10.1007/s00707-019-02515-7
    [206] Wu Q, Liu C, Su Y, et al. 2024a. Influences of inherent geometrical nonlinearity of high-static-low-dynamic-stiffness resonator on flexural wave attenuation performance of metamaterial beam. Nonlinear Dynamics, 112(10): 7831-7845. doi: 10.1007/s11071-024-09519-6
    [207] Wu Q, Qian H, Chen Y, et al. 2023. Dynamic phononic crystals with spatially and temporally modulated circuit networks. Acta Mechanica Sinica, 39(7): 723007. doi: 10.1007/s10409-023-23007-x
    [208] Wu Y, Yan W, Wen G, et al. 2024b. Design and application of a lightweight plate-type acoustic metamaterial for vehicle interior low-frequency noise reductio. Crystals, 14(11): 957. doi: 10.3390/cryst14110957
    [209] Xi C, Dou L, Mi Y, et al. 2021. Inertial amplification induced band gaps in corrugated-core sandwich panels. Composite Structures, 267: 113918. doi: 10.1016/j.compstruct.2021.113918
    [210] Xi C, Yu X, Cheng L, et al. 2023. Broadband low-frequency sound insulation of a metamaterial plate with inertial amplification. Applied Acoustics, 213: 109655. doi: 10.1016/j.apacoust.2023.109655
    [211] Xia D, Pu X, Tong S, et al. 2024. Piezoelectric metamaterial with digitally controlled nonlinear shunt circuit for broadband wave attenuation. Applied Physics Letters, 124(12): 121704. doi: 10.1063/5.0197609
    [212] Xia Y, Ruzzene M, Erturk A. 2019. Dramatic bandwidth enhancement in nonlinear metastructures via bistable attachments. Applied Physics Letters, 114: 093501. doi: 10.1063/1.5066329
    [213] Xiao Y, Cao J, Wang S, et al. 2021. Sound transmission loss of plate-type metastructures: Semi-analytical modeling, elaborate analysis, and experimental validation. Mechanical Systems and Signal Processing, 153: 107487. doi: 10.1016/j.ymssp.2020.107487
    [214] Xiao Y, Wen J, Wen X. 2012a. Sound transmission loss of metamaterial-based thin plates with multiple subwavelength arrays of attached resonators. Journal of Sound and Vibration, 331(25): 5408-5423. doi: 10.1016/j.jsv.2012.07.016
    [215] Xiao Y, Wen J, Wen X. 2012b. Flexural wave band gaps in locally resonant thin plates with periodically attached springmass resonators. Journal of Physics D: Applied Physics, 45(19): 195401. doi: 10.1088/0022-3727/45/19/195401
    [216] Xiao Y, Wen J, Wen X. 2012c. Broadband locally resonant beams containing multiple periodic arrays of attached resonators. Physics Letters, Section A: General, Atomic and Solid State Physics, 376(16): 1384-1390. doi: 10.1016/j.physleta.2012.02.059
    [217] Xue Y, Li J, Wang Y, et al. 2021. Tunable nonlinear band gaps in a sandwich-like meta-plate. Nonlinear Dynamics, 106(4): 2841-2857. doi: 10.1007/s11071-021-06961-8
    [218] Yan G, Yao S, Li Y, et al. 2023. Topological optimization of thin elastic metamaterial plates for ultrawide flexural vibration bandgaps. International Journal of Mechanical Sciences, 242: 108014. doi: 10.1016/j.ijmecsci.2022.108014
    [219] Yang X, Kang Y, Xie X, et al. 2023. Multilayer coupled plate-type acoustic metamaterials for low-frequency broadband sound insulation. Applied Acoustics, 209: 109399. doi: 10.1016/j.apacoust.2023.109399
    [220] Yang Z, Mei J, Yang M, et al. 2008. Membrane-type acoustic metamaterial with negative dynamic mass. Physical Review Letters, 101(20): 204301. doi: 10.1103/PhysRevLett.101.204301
    [221] Yao D, Xiong M, Luo J, et al. 2022. Flexural wave mitigation in metamaterial cylindrical curved shells with periodic graded arrays of multi-resonator. Mechanical Systems and Signal Processing, 168: 108721. doi: 10.1016/j.ymssp.2021.108721
    [222] Yao S, Zhou X, Hu G. 2008. Experimental study on negative effective mass in a 1D mass-spring system. New Journal of Physics, 10: 043020. doi: 10.1088/1367-2630/10/4/043020
    [223] Yi K, Collet M. 2021. Broadening low-frequency bandgaps in locally resonant piezoelectric metamaterials by negative capacitance. Journal of Sound and Vibration, 493: 115837. doi: 10.1016/j.jsv.2020.115837
    [224] Yi K, Li L, Ichchou M, et al. 2017. Sound insulation performance of plates with interconnected distributed piezoelectric patches. Chinese Journal of Aeronautics, 30(1): 99-108. doi: 10.1016/j.cja.2016.12.012
    [225] Yi K, Matten G, Ouisse M, et al. 2020. Programmable metamaterials with digital synthetic impedance circuits for vibration control. Smart Materials and Structures, 29(3): 035005. doi: 10.1088/1361-665X/ab6693
    [226] Yilmaz C, Hulbert G M, Kikuchi N. 2007. Phononic band gaps induced by inertial amplification in periodic media. Physical Review B-Condensed Matter and Materials Physics, 76(5): 054309. doi: 10.1103/PhysRevB.76.054309
    [227] Yu D, Liu Y, Wang G, et al. 2006a. Flexural vibration band gaps in Timoshenko beams with locally resonant structures. Journal of Applied Physics, 100(12): 124901. doi: 10.1063/1.2400803
    [228] Yu D, Liu Y, Zhao H, et al. 2006b. Flexural vibration band gaps in Euler−Bernoulli beams with locally resonant structures with two degrees of freedom. Physical Review B, 73(6): 064301. doi: 10.1103/physrevb.73.064301
    [229] Yu H, Zhang X, Yang R, et al. 2025. Digital controlled nonlinear smart metamaterial for broadband elastic wave attenuation. Journal of Applied Physics, 138(8): 083105. doi: 10.1063/5.0280933
    [230] Yu J, Nerse C, Chang K J, et al. 2021. A framework of flexible locally resonant metamaterials for attachment to curved structures. International Journal of Mechanical Sciences, 204: 106533. doi: 10.1016/j.ijmecsci.2021.106533
    [231] Yuan H, Zheng Y, Feng W, et al. 2025. Adaptive sound insulation of piezoelectric metastructure shells around ring and coincidence frequencies. International Journal of Mechanical Sciences, 293: 110175. doi: 10.1016/j.ijmecsci.2025.110175
    [232] Zhang C, Zhang D, Yin F, et al. 2025a. “Borrow-force-attack-force” by multi-scale elastic metamaterial with nonlinear damping. Composites Part B, 288: 111884. doi: 10.1016/j.compositesb.2024.111884
    [233] Zhang H, Chen S, Liu Z, et al. 2020. Light-weight large-scale tunable metamaterial panel for low-frequency sound insulation. Applied Physics Express, 13: 067003. doi: 10.35848/1882-0786/ab916b
    [234] Zhang H, Wen J, Xiao Y, et al. 2015. Sound transmission loss of metamaterial thin plates with periodic subwavelength arrays of shunted piezoelectric patches. Journal of Sound and Vibration, 343: 104-120. doi: 10.1016/j.jsv.2015.01.019
    [235] Zhang J, Yao D, Peng W, et al. 2022. Optimal design of lightweight acoustic metamaterials for low-frequency noise and vibration control of high-speed train composite floor. Applied Acoustics, 199: 109041. doi: 10.1016/j.apacoust.2022.109041
    [236] Zhang W, Zhang W, Yang D, et al. 2025b. A nonlinear locally resonant metamaterial beam with customized stiffness for low-frequency and broadband band gaps. Engineering Structures, 343: 121256. doi: 10.1016/j.engstruct.2025.121256
    [237] Zhang X, Chen F, Chen Z, et al. 2019. Membrane-type smart metamaterials for multi-modal sound insulation. The Journal of the Acoustical Society of America, 144(6): 3514-3524. doi: 10.1121/1.5084039
    [238] Zhang X, Yu H, He Z, et al. 2021. A metamaterial beam with inverse nonlinearity for broadband micro-vibration attenuation. Mechanical Systems and Signal Processing, 159: 107826. doi: 10.1016/j.ymssp.2021.107826
    [239] Zhang Y, Zhang J, Li Y, et al. 2024. Research progress on thin-walled sound insulation metamaterial structures. Acoustics, 6(2): 298-330. doi: 10.3390/acoustics6020016
    [240] Zhao B, Thomsen H R, Pu X, et al. 2024. A nonlinear damped metamaterial: Wideband attenuation with nonlinear bandgap and modal dissipation. Mechanical Systems and Signal Processing, 208: 111079. doi: 10.1016/j.ymssp.2023.111079
    [241] Zhao J, Kovacic I, Zhu R. 2025. Wideband vibration attenuation of a metamaterial beam via integrated hardening and softening nonlinear resonators. Nonlinear Dynamics, 113: 23903-23920. doi: 10.1007/s11071-024-10402-7
    [242] Zhao J, Zhou H, Yi K, et al. 2023. Ultra-broad bandgap induced by hybrid hardening and softening nonlinearity in metastructure. Nonlinear Dynamics, 111(19): 17687-17707. doi: 10.1007/s11071-023-08808-w
    [243] Zheng Y, Chen B, Qu Y, et al. 2022a. Vibration control of a piezoelectric metamaterial shell shunted with high order resonant circuits. Proc. 28th Int. Congr. Sound Vib. Singapore: International Institute of Acoustics and Vibration.
    [244] Zheng Y, Li Q, Yan B, et al. 2018a. A Stewart isolator with high-static-low-dynamic stiffness struts based on negative stiffness magnetic springs. Journal of Sound and Vibration, 422: 390-408. doi: 10.1016/j.jsv.2018.02.046
    [245] Zheng Y, Qu Y, Dai S, et al. 2024. Mitigating vibration and sound radiation with a digital piezoelectric meta-shell in heavy fluids. Journal of Sound and Vibration, 573: 118221. doi: 10.1016/j.jsv.2023.118221
    [246] Zheng Y, Tian W, Lee N K X, et al. 2022b. A programmable macro-fiber-composite meta-ring with digital shunting circuits. Journal of Sound and Vibration, 533: 117017. doi: 10.1016/j.jsv.2022.117017
    [247] Zheng Y, Wu Z, Zhang X, et al. 2019. A piezo-metastructure with bistable circuit shunts for adaptive nonreciprocal wave transmission. Smart Materials and Structures, 28(4): 045005. doi: 10.1088/1361-665X/ab083c
    [248] Zheng Y, Yuan H, Feng W, et al. 2025. Enhancing sound transmission loss of a piezoelectric metastructure shell in the low-frequency range using negative-capacitance shunting. European Journal of Mechanics/A Solids, 111: 105554. doi: 10.1016/j.euromechsol.2024.105554
    [249] Zheng Y, Zhang X, Luo Y, et al. 2016. Design and experiment of a high-static-low-dynamic stiffness isolator using a negative stiffness magnetic spring. Journal of Sound and Vibration, 360: 31-52. doi: 10.1016/j.jsv.2015.09.019
    [250] Zheng Y, Zhang X, Luo Y, et al. 2018b. Analytical study of a quasi-zero stiffness coupling using a torsion magnetic spring with negative stiffness. Mechanical Systems and Signal Processing, 100(Supplement C): 135-151. doi: 10.1016/j.ymssp.2017.07.028
    [251] Zheng Y, Zhang J, Qu Y, et al. 2021. Adaptive nonreciprocal wave attenuation in linear piezoelectric metastructures shunted with one-way electrical transmission lines. Journal of Sound and Vibration, 503: 116113. doi: 10.1016/j.jsv.2021.116113
    [252] Zheng Y, Zhang J, Qu Y, et al. 2022c. Investigations of a piezoelectric metastructure using negative-resistance circuits to enhance the bandgap performance. Journal of Vibration and Control, 28(17-18): 2346-2356. doi: 10.1177/10775463211010540
    [253] Zhou B, Thouverez F, Lenoir D. 2014a. Essentially nonlinear piezoelectric shunt circuits applied to mistuned bladed disks. Journal of Sound and Vibration, 333(9): 2520-2542. doi: 10.1016/j.jsv.2013.12.019
    [254] Zhou J, Bhaskar A, Zhang X. 2014b. The effect of external mean flow on sound transmission through double-walled cylindrical shells lined with poroelastic material. Journal of Sound and Vibration, 333(7): 1972-1990. doi: 10.1016/j.jsv.2013.11.038
    [255] Zhou J, Dou L, Wang K, et al. 2019. A nonlinear resonator with inertial amplification for very low-frequency flexural wave attenuations in beams. Nonlinear Dynamics, 96: 647-665. doi: 10.1007/s11071-019-04812-1
    [256] Zhou W, Wu Y, Zuo L. 2015. Vibration and wave propagation attenuation for metamaterials by periodic piezoelectric arrays with high-order resonant circuit shunts. Smart Materials and Structures, 24(6): 06502. doi: 10.1088/0964-1726/24/6/065021
  • 加载中
图(47) / 表(1)
计量
  • 文章访问数:  1184
  • HTML全文浏览量:  326
  • PDF下载量:  325
  • 被引次数: 0
出版历程
  • 收稿日期:  2025-09-02
  • 录用日期:  2025-12-18
  • 网络出版日期:  2026-01-08
  • 刊出日期:  2026-03-25

目录

    /

    返回文章
    返回