基于状态空间离散的非线性动力系统全局分析方法进展: 从模型驱动到数据驱动
doi: 10.6052/1000-0992-25-002 cstr: 32046.14.1000-0992-25-002
State space discretization based methods for global analysis of nonlinear dynamic systems from model-driven to data-driven: A review
-
摘要: 非线性动力系统的一切响应行为均受制于其内在的全局结构, 诸如多稳吸引子及其影响域的形貌和空间分布, 不稳定不变集和不变流形等. 因而, 在指定状态空间内开展全局分析, 不仅可以获得认识和预测系统响应的全部信息, 还能深刻揭示诱发系统复杂分岔、激变或边界蜕变等众多动力学现象的内在机制. 目前, 数值方法仍是非线性动力系统全局分析的最有效手段. 相较于点尺度的数值积分方法或点映射法, 基于状态空间离散思想的方法 (如: 胞映射方法等), 其采用子集覆盖来逼近系统的不变集, 一方面可以高效刻画系统的全局结构形貌, 另一方面可以实现对相邻轨道动态特征的集合表征. 胞映射方法经历40余年的发展, 其功能不断增强, 计算效率和精度已显著提升, 应用场景也逐渐拓宽. 本文第2节从当前的视角对状态空间离散方式进行简要归类, 以便于读者更好地了解在全局分析实施过程中该框架体系的本质及优势. 第3节着重介绍近些年提出的一系列状态空间离散方法, 展示在非线性系统全局结构的高效刻画和内在特征的数据表征两方面已取得的最新进展, 突出全局分析从模型驱动向数据驱动的思维模式转变. 第4节总结意义和价值, 并就如何在状态空间离散框架下进一步泛化全局分析的概念, 以及应对未来发展和应用需求可能面临的问题和可以拓展的方向提出见解.Abstract: Response behaviors of nonlinear dynamic systems are subject to their inherent global structures, such as the morphology and distribution of multi-stable attractors and basins of attraction in state space, unstable invariant sets as well as invariant manifolds. Therefore, conducting a global analysis within the specified state space can not only obtain all the information for understanding and predicting the responses, but also profoundly reveal the internal mechanisms that induce numerous dynamic phenomena, like complex bifurcations, catastrophes, or boundary transitions in the system. Currently, numerical methods remain the most effective means for the global analysis of nonlinear dynamic systems. Compared with the pointwise numerical integration or point mapping approaches, the methods based on the state space discretization, such as the cell mapping method, approximate the invariant sets by covering subsets (cells). This pattern, on the one hand, can efficiently depict the morphology of underlying global structure, and on the other hand, it characterizes the dynamics of adjacent orbits. After 40 years of development, the function of cell mapping method is continuously enhanced, the computational efficiency and accuracy are significantly improved, and its scenarios of application are also being broadened. In the second section of this review, the manners of state space discretization will be briefly classified from the perspective of current research, so that readers can understand the essence and advantages of this framework in global analysis clearly. Focusing on a series of state space discretization methods proposed in recent years, in the third section, we follow the shift in the idea of global analysis from model-driven to data-driven, introducing the latest progress achieved in two aspects: The efficient characterization of global structure and the data mining of inherent features. In the fourth section, the significance of this review is summarized, and insights will be put forward on how to further generalize the concept of global analysis within the state space discretization framework, as well as on the possible problems and expandable directions that may be faced in response to future development and application requirements.
-
Key words:
- state space discretization /
- global analysis /
- cell mapping /
- model-driven method /
- data-driven method
-
图 3 两尺度胞参考点映射方法的原理示意图. 其中
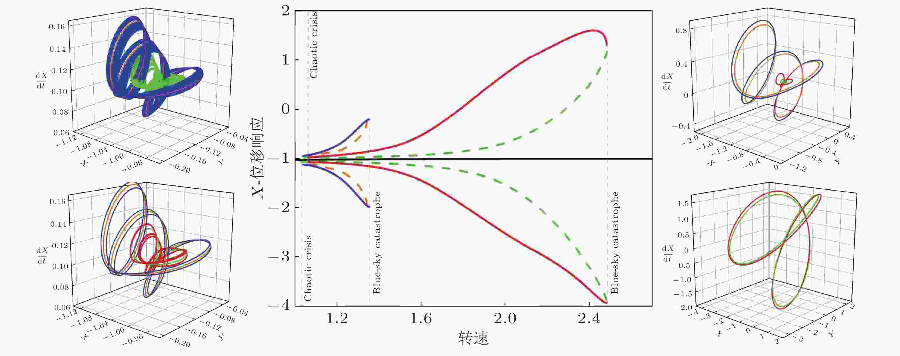
$x_m^{(i)}$ 表示第i条轨迹的第m个映射状态点, 网格和数字代表胞的区间和编码, 浅黄和浅蓝区域分别对应周期1 (“○”) 和周期3 (“*”) 两个吸引子的全局吸引域, 浅灰色结构为周期3吸引域内部的鞍性混沌, 边界上“△”为不稳定鞍点. 当第j条轨迹进入第i条轨迹的“已访问”胞且触发$ {d^{(i,j)}} \lt {d_{{\text{threshold}}}} $ , 则后续轨迹无需计算 (彩色虚线) 并更新相应的$ R(Z) $ ; 当第i条轨迹的第n个映射状态点再次进入该条轨迹的“访问中”胞且与第m个映射状态点触发$ d_{m,n}^{(i)} \lt \varepsilon $ 时, 则标记该轨迹的周期性并更新相应的$ R(Z) $ 图 4 转子/定子碰摩系统的全局结构和动力学分岔(Fan et al. 2022). 其中左图为诱发两种间歇性准周期碰摩行为发生的混沌激变, 右图为导致两种间歇性准周期碰摩行为消亡的突变分岔, 中图为上述现象发生、发展和消亡的动力学分岔图
图 5 PSSCM方法的子域划分方式和虚拟不变集(Li et al. 2022). 其中红色胞{8}代表入胞, 蓝色胞{2}代表出胞, 黄色胞{5}代表相交胞, 深灰色胞集合{1,9}是待处理子域1内的瞬态胞, 浅灰色胞集合{6,7}是待处理子域外的潜在 (未知) 转移胞. 集合{5,8,9}即为子域1内的虚拟不变集, 它是跨子域不变集{3,4,5}在子域1中的覆盖集
图 6 Mathieu–Duffing系统状态空间子域分割与合成 (空间切分位置为Xd = 0.18)(Li et al. 2019a). (a) 子域划分形成的标记胞; (b) 子域综合后恢复的全局不变集. 其中红色胞为入胞, 蓝色胞为出胞, 黄色胞为相交胞, 深灰色胞为子域内的瞬态胞, 紫色为恢复后的全局不变集结构
图 7 PSSCM方法采用的GPU集群计算架构(Li et al. 2022). 其中调度主机负责子域分割、合成以及计算资源调配. 每个计算节点由1个CPU线程和1个GPU设备组成, 独立节点中GPU负责处理子域中数据映射并传给对应的CPU执行子域内全局分析, 实现GPUs设备层级的子域并行化. GPU中的每个线程执行一次胞−胞映射, 实现GPU线程层级的胞并行化
图 8 转子/定子碰摩诱发干摩擦反向涡动的全局响应和12维极限环分岔 (状态空间3维投影展示)(Li et al. 2022). (a) ~ (c) 多稳态全局响应相图; (d) 无碰摩周期响应Hopf分叉诱发间歇性准周期碰摩响应 (
${\varOmega } \approx 0.65$ ), 间歇性准周期碰摩 (极限环) 由突变分岔而失稳(${\varOmega } \approx 0.74$ ), 响应最终进入干摩擦反向涡动大幅振荡 (${\varOmega } = 0.76 \to 0.80$ )图 9 GCMSAI方法中插值参考点的配置. (a)邻接胞参考点(Liu et al. 2018), (b)插值胞内参考点(Wang et al. 2020)
图 10 阻尼摆系统六个共存吸引域间的Wada边界(Liu et al. 2018). 其中黑色“▲”代表共存的多个吸引子, 彩色点为吸引域的影响区域, 不同吸引域间的边界表现出典型分形特征
图 11 2014年3月8日—14日印度洋海域洋流短期运动特征及对周围浮漂的吸引性(李自刚 等 2021). (a) 印度洋海域布置的浮漂数据及运动轨迹, (b) 短期涡旋中心(黑色点)和涡旋域 (彩色区域), (c) ~ (f) 不同涡旋中心对周围浮漂运动轨迹 (真实数据) 的吸引性
图 12 非线性系统渐进式学习及预测能力的进化过程(Li et al. 2024b). (a) ~ (d) 样本提取区域的精细化 (胞分辨率分别为2 × 2, 4 × 4, 8 × 8, 16 × 16), (e) ~ (h) 数据模型对全局吸引域学习和预测能力的进化过程
图 13 少数据量下追踪非线性全局拓扑结构的渐进式学习方法(Li et al. 2024c)
表 1 全局动力学结构 (不变特性) 对动力学行为的影响及部分典型应用
表 2 数据模型对全局吸引域各区域的预测精度
典型区域 胞分辨率 2 × 2 4 × 4 8 × 8 16 × 16 总体 75.14% 85.96% 93.54% 98.87% 吸引域内部 79.21% 90.62% 95.77% 99.06% 吸引域边界 21.47% 30.72% 62.33% 96.40% 状态空间边缘 62.39% 55.67% 91.21% 98.13% -
[1] 干思思. 2020. 三十余载初衷不移矢志攻克算法难题−西安交通大学非线性动力学研究所科研侧记. 科学中国人, 60 (Gan S S. 2020. Sticking to the original aspiration for over three decades and determined to solve algorithm problems—A side note on the scientific research of the institute of nonlinear dynamics at Xi’an Jiaotong University. Scientific Chinese, 60).Gan S S. 2020. Sticking to the original aspiration for over three decades and determined to solve algorithm problems—A side note on the scientific research of the institute of nonlinear dynamics at Xi’an Jiaotong University. Scientific Chinese, 60 [2] 郭旭, 孙锋, 江俊. 2009. 耦合神经元模型中的混沌巡游现象及其特性分析. 力学季刊, 30: 511-516 (Guo X, Sun F, Jiang J. 2009. Chaotic itinerancy phenomena and dynamic characteristics in coupled neuron model. Chinese Quarterly of Mechanics, 30: 511-516).Guo X, Sun F, Jiang J. 2009. Chaotic itinerancy phenomena and dynamic characteristics in coupled neuron model. Chinese Quarterly of Mechanics, 30: 511-516 [3] 贺群, 徐伟, 李爽, 等. 2008. 图胞映射的一种改进方法. 物理学报, 57: 743-748 (He Q, Xu W, Li S, et al. 2008. A modified digraph cell mapping method. Acta Physica Sinica, 57: 743-748). doi: 10.7498/aps.57.743He Q, Xu W, Li S, et al. 2008. A modified digraph cell mapping method. Acta Physica Sinica, 57: 743-748 doi: 10.7498/aps.57.743 [4] 李斌华, 杨汝, 张波, 等. 2016. 基于胞映射方法的异步电机低速信号混沌检测机理及实验研究. 中国电机工程学报, 36: 2270-2279 (Li B H, Yang R, Zhang B, et al. 2016. The chaotic detection mechanism and experimental study of low frequency signal of asynchronous motor based on cell mapping method. Proceedings of the CSEE, 36: 2270-2279).Li B H, Yang R, Zhang B, et al. 2016. The chaotic detection mechanism and experimental study of low frequency signal of asynchronous motor based on cell mapping method. Proceedings of the CSEE, 36: 2270-2279 [5] 柳宁, 李俊峰, 王天舒. 2008. 用胞胞映射计算被动行走模型不动点的吸引盆. 工程力学, 25: 218-223 (Liu N, Li J F, Wang T S. 2008. Study of the basin of attraction of passive models by the aid of cell-to-cell mapping method. Engineering Mechanics, 25: 218-223).Liu N, Li J F, Wang T S. 2008. Study of the basin of attraction of passive models by the aid of cell-to-cell mapping method. Engineering Mechanics, 25: 218-223 [6] 李自刚, 严旺, 康佳琪, 等. 2021. 数据驱动印度洋海域全局动力学研究. 力学学报, 53: 2595-2602 (Li Z G, Yan W, Kang J Q, et al. 2021. Data-driven global dynamics of the Indian ocean. Chinese Journal of Theoretical and Applied Mechanics, 53: 2595-2602). doi: 10.6052/0459-1879-21-218Li Z G, Yan W, Kang J Q, et al. 2021. Data-driven global dynamics of the Indian ocean. Chinese Journal of Theoretical and Applied Mechanics, 53: 2595-2602 doi: 10.6052/0459-1879-21-218 [7] 武朋玮, 李颖晖, 佘智勇, 等. 2017. 高超声速飞行器纵向动力学系统稳定流形边界与频域设计指标关联规律. 战术导弹技术, 4: 25-31 (Wu P W, Li Y H, She Z Y, et al. 2017. Associated orderliness between hypersonic stability manifold boundary and frequency domain performance. Tactical Missile Technology, 4: 25-31).Wu P W, Li Y H, She Z Y, et al. 2017. Associated orderliness between hypersonic stability manifold boundary and frequency domain performance. Tactical Missile Technology, 4: 25-31 [8] 徐伟, 孙春艳, 孙建桥, 等. 2013. 胞映射方法的研究和进展. 力学进展, 43: 91-100 (Xu W, Sun C Y, Sun J Q, et al. 2013. Development and study on cell mapping methods. Advances in Mechanics, 43: 91-100). doi: 10.6052/1000-0992-12-022Xu W, Sun C Y, Sun J Q, et al. 2013. Development and study on cell mapping methods. Advances in Mechanics, 43: 91-100 doi: 10.6052/1000-0992-12-022 [9] 杨永均, 张绍良, 侯湖平. 2019. 基于非线性动力学模型的矿山土地生态系统恢复力机制. 煤炭学报, 40: 3174-3184 (Yang Y J, Zhang S L, Hou H P. 2019. Resilience mechanism of land ecosystem in mining area based on nonlinear dynamic model. Journal of China Coal Society, 40: 3174-3184).Yang Y J, Zhang S L, Hou H P. 2019. Resilience mechanism of land ecosystem in mining area based on nonlinear dynamic model. Journal of China Coal Society, 40: 3174-3184 [10] Aguirre J, Sanjuán M A F. 2002. Unpredictable behavior in the duffing oscillator: Wada basins. Physica D: Nonlinear Phenomena, 171: 41-51. doi: 10.1016/S0167-2789(02)00565-1 [11] Ahamed T, Costa A C, Stephens G J. 2020. Capturing the continuous complexity of behaviour in caenorhabditis elegans. Nature Physics, 17: 275-283. [12] Allshouse M R, Peacock T. 2015. Lagrangian based methods for coherent structure detection. Chaos: An Interdisciplinary Journal of Nonlinear Science, 25: 097617. doi: 10.1063/1.4922968 [13] Alora J I, Cenedese M, Schmerling E, et al. 2023. Data-driven spectral submanifold reduction for nonlinear optimal control of high-dimensional robots. 2023 IEEE International Conference on Robotics and Automation (ICRA). London, UnitedKingdom: 2627-2633. [14] Amiri A, Cordero A, Darvishi M T, et al. 2019. A fast algorithm to solve systems of nonlinear equations. Journal of Computational and Applied Mathematics, 354: 242-258. doi: 10.1016/j.cam.2018.03.048 [15] An S, Liu M, Li H, et al. 2024. Five-impulse low-energy earth-moon transfer using manifolds. Advances in Space Research, 73: 201-224. doi: 10.1016/j.asr.2023.10.013 [16] Andonovski N, Kovacic I, Lenci S. 2022. On the dynamics of a biomimetic model of a sympodial tree: From bifurcations diagrams and 6D basins of attraction to dynamical integrity and robustness. Journal of Computational and Nonlinear Dynamics, 17: 011002. doi: 10.1115/1.4052570 [17] Andonovski N, Lenci S. 2020. Six-dimensional basins of attraction computation on small clusters with semi-parallelized SCM method. International Journal of Dynamics and Control, 8: 436-447. doi: 10.1007/s40435-019-00557-2 [18] Andonovski N, Lenci S, Kovacic I. 2020. Basins of attraction for higher-dimensional nonlinear dynamical systems: Preliminary results on the case study of a sympodial tree. In Kovacic I, Lenci S (Ed.) IUTAM Symposium on Exploiting Nonlinear Dynamics for Engineering Systems. IUTAM Bookseries. Springer International Publishing, Cham, pp. 27-36. [19] Andrade M, Gasca E, Lara E R. 2017. Implementation of incremental learning in artificial neural networks. In EPiC Series in Computing. 3rd Global Conference on Artificial Intelligence, 50: 221-232. [20] Baroni R S, Carvalho R D de, Caldas I L, et al. 2023. Chaotic saddles and interior crises in a dissipative nontwist system. Physical Review E, 107: 024216. doi: 10.1103/PhysRevE.107.024216 [21] Bauch C T, Sigdel R, Pharaon J, et al. 2016. Early warning signals of regime shifts in coupled human-environment systems. Proceedings of the National Academy of Sciences, 113: 14560-14567. doi: 10.1073/pnas.1604978113 [22] Beisner B, Haydon D, Cuddington K. 2003. Alternative stable states in ecology. Frontiers in Ecology and the Environment, 1: 376-382. doi: 10.1890/1540-9295(2003)001[0376:ASSIE]2.0.CO;2 [23] Belardinelli P, Lenci S. 2016a. A first parallel programming approach in basins of attraction computation. International Journal of Non-Linear Mechanics, 80: 76-81. doi: 10.1016/j.ijnonlinmec.2015.10.016 [24] Belardinelli P, Lenci S. 2016b. An efficient parallel implementation of cell mapping methods for MDOF systems. Nonlinear Dynamics, 86: 2279-2290. doi: 10.1007/s11071-016-2849-3 [25] Belardinelli P, Lenci S. 2017. Improving the global analysis of mechanical systems via parallel computation of basins of attraction. Procedia IUTAM, 22: 192-199. doi: 10.1016/j.piutam.2017.08.028 [26] Benedetti K C B, Gonçalves P B, Lenci S, et al. 2023. Global analysis of stochastic and parametric uncertainty in nonlinear dynamical systems: Adaptative phase-space discretization strategy, with application to Helmholtz oscillator. Nonlinear Dynamics, 111: 15675-15703. doi: 10.1007/s11071-023-08667-5 [27] Bhalekar S, Gupta D. 2024. Stability and bifurcation analysis of two-term fractional differential equation with delay. arXiv e-prints. arXiv: 2404.01824. [28] Bollt E. 2005. The path towards a longer life: On invariant sets and the escape time landscape. International Journal of Bifurcation and Chaos, 15: 1615-1624. doi: 10.1142/S0218127405012892 [29] Broer H W, Osinga H M, Vegter G. 1997. Algorithms for computing normally hyperbolic invariant manifolds. Zeitschrift für angewandte Mathematik und Physik, 48: 480. [30] Brunton S L, Proctor J L, Kutz J N. 2016. Discovering governing equations from data by sparse identification of nonlinear dynamical systems. Proceedings of the National Academy of Sciences, 113: 3932-3937. doi: 10.1073/pnas.1517384113 [31] Brzeski P, Belardinelli P, Lenci S, et al. 2018. Revealing compactness of basins of attraction of multi-DoF dynamical systems. Mechanical Systems and Signal Processing, 111: 348-361. doi: 10.1016/j.ymssp.2018.04.005 [32] Cao L. 1997. Practical method for determining the minimum embedding dimension of a scalar time series. Physica D: Nonlinear Phenomena, 110: 43-50. doi: 10.1016/S0167-2789(97)00118-8 [33] Capala K, Padash A, Chechkin A V, et al. 2020. Lévy noise-driven escape from arctan potential wells. Chaos: An Interdisciplinary Journal of Nonlinear Science, 30: 123103. doi: 10.1063/5.0021795 [34] Cenedese M, Axås J, Yang H, et al. 2022. Data-driven nonlinear model reduction to spectral submanifolds in mechanical systems. Philosophical Transactions of the Royal Society A: Mathematical, Physical and Engineering Sciences, 380: 20210194. doi: 10.1098/rsta.2021.0194 [35] Chai F, Zhou B, Xie X, et al. 2023. Incremental learning model for dynamical identification and classification of abnormal vibration in operational underground facilities. Tunnelling and Underground Space Technology, 140: 105251. doi: 10.1016/j.tust.2023.105251 [36] Chaudhuri R, Gerçek B, Pandey B, et al. 2019. The intrinsic attractor manifold and population dynamics of a canonical cognitive circuit across waking and sleep. Nature Neuroscience, 22: 1512-1520. doi: 10.1038/s41593-019-0460-x [37] Chen Z, Bian H, Zhu W. 2025. Incremental data modeling based on neural ordinary differential equations. Complex & Intelligent Systems, 11: 172(1-12). [38] Cheng Y, Jiang J. 2021. A subdivision strategy for adjoining cell mapping on the global optimal control in multi-input-multi-output systems. Optimal Control Applications and Methods, 42: 1556-1567. doi: 10.1002/oca.2746 [39] Church K E M, Liu X. 2020. Invariant manifold theory. In Bifurcation Theory of Impulsive Dynamical Systems. Springer International Publishing, Cham: 221-234. [40] Cilenti L, Cameron M K, Balachandran B. 2022. Most probable escape paths in periodically driven nonlinear oscillators. Chaos: An Interdisciplinary Journal of Nonlinear Science, 32: 083140. doi: 10.1063/5.0093074 [41] Cobey S, Baskerville E B. 2016. Limits to causal inference with state-space reconstruction for infectious disease. PLOS One, 11: e0169050. doi: 10.1371/journal.pone.0169050 [42] Conforte A J, Alves L, Coelho F C, et al. 2020. Modeling basins of attraction for breast cancer using Hopfield networks. Frontiers in Genetics, 11: 314. doi: 10.3389/fgene.2020.00314 [43] Cruz J F, Schütze O, Sun J Q, et al. 2014. Parallel cell mapping for unconstrained multi-objective optimization problems. In Tantar A-A et al. (Ed.) EVOLVE-A Bridge between Probability, Set Oriented Numerics, and Evolutionary Computation V. Springer International Publishing, Cham, pp. 133-146. [44] Dai H, Yue X, Yuan J, et al. 2018. Dealiasing harmonic balance method for obtaining periodic solutions of an aeroelastic system. Aerospace Science and Technology, 77: 244-255. doi: 10.1016/j.ast.2018.03.008 [45] Danca M F, Bourke P, Kuznetsov N V. 2019. Graphical structure of attraction basins of hidden chaotic attractors: The rabinovich-fabrikant system. Int. J. Bifurc. Chaos, 29: 1930001. doi: 10.1142/S0218127419300015 [46] Datseris G, Luiz Rossi K, Wagemakers A. 2023. Framework for global stability analysis of dynamical systems. Chaos: An Interdisciplinary Journal of Nonlinear Science, 33: 073151. doi: 10.1063/5.0159675 [47] Datseris G, Wagemakers A. 2022. Effortless estimation of basins of attraction. Chaos: An Interdisciplinary Journal of Nonlinear Science, 32: 023104. doi: 10.1063/5.0076568 [48] Daza A, Wagemakers A, Sanjuán M A F. 2022. Classifying basins of attraction using the basin entropy. Chaos, Solitons & Fractals, 159: 112112. [49] Daza A, Wagemakers A, Sanjuán M A F. 2024. Multistability and unpredictability. Physics Today, 77: 44-50. [50] De Rengervé A, Andry P, Gaussier P. 2015. On-line learning and control of attraction basins for the development of sensorimotor control strategiess. Biological Cybernetics, 109: 255-274. doi: 10.1007/s00422-014-0640-4 [51] Dellnilz M, Junge O. 2006. Set oriented numerical methods in space mission design. In Modern Astrodynamics. Elsevier Astrodynamics Series. Butterworth-Heinemann, 1: 127-153. [52] Dellnitz M, Froyland G, Junge O. 2001. The algorithms behind GAIO—Set oriented numerical methods for dynamical systems. In Fiedler B (Ed.) Ergodic Theory, Analysis, and Efficient Simulation of Dynamical Systems. Springer Berlin Heidelberg, Berlin, Heidelberg, pp. 145-174. [53] Dellnitz M, Hohmann A. 1997. A subdivision algorithm for the computation of unstable manifolds and global attractors. Numerische Mathematik, 75: 293-317. doi: 10.1007/s002110050240 [54] Dellnitz M, Schütze O, Sertl S. 2002. Finding zeros by multilevel subdivision techniques. IMA Journal of Numerical Analysis, 22: 167-185. doi: 10.1093/imanum/22.2.167 [55] Deng Y, Xu B, Chen D, et al. 2019. Stochastic global stability and bifurcation of a hydro-turbine generator. Communications in Nonlinear Science and Numerical Simulation, 72: 64-77. doi: 10.1016/j.cnsns.2018.11.018 [56] Deyle E R, Sugihara G. 2011. Generalized theorems for nonlinear state space reconstruction. PLOS One, 6: e18295. doi: 10.1371/journal.pone.0018295 [57] Dhir N, Kosiorek A R, Posner I. 2017. Bayesian delay embeddings for dynamical systems. In NIPS Timeseries Workshop 31st Conference on Neural Information Processing Systems, Long Beach, USA. [58] Dieci L, Lopez L. 2009. Sliding motion in filippov differential systems: Theoretical results and a computational approach. SIAM Journal on Numerical Analysis, 47: 2023-2051. doi: 10.1137/080724599 [59] Dubey B, Kumar A, Patra A. 2019. Global stability and Hopf-bifurcation of prey-predator system with two discrete delays including habitat complexity and prey refuge. Communications in Nonlinear Science and Numerical Simulation, 67: 528-554. doi: 10.1016/j.cnsns.2018.07.019 [60] Dudkowski D, Prasad A, Kapitaniak T. 2018. Describing chaotic attractors: Regular and perpetual points. Chaos: An Interdisciplinary Journal of Nonlinear Science, 28: 033604. doi: 10.1063/1.4991801 [61] Duguet Y, Willis A P, Kerswell R R. 2008. Transition in pipe flow: The saddle structure on the boundary of turbulence. Journal of Fluid Mechanics, 613: 255-274. doi: 10.1017/S0022112008003248 [62] Durbin J, Koopman S J. 2012. Time Series analysis by state space methods (2nd edn). Oxford University Press. [63] Eason R P, Dick A J. 2014. A parallelized multi-degrees-of-freedom cell mapping method. Nonlinear Dynamics, 77: 467-479. doi: 10.1007/s11071-014-1310-8 [64] Erazo C, Homer M E, Piiroinen P T, et al. 2017. Dynamic cell mapping algorithm for computing basins of attraction in planar Filippov systems. International Journal of Bifurcation and Chaos, 27: 1730041. doi: 10.1142/S0218127417300415 [65] Erem B, Orellana R M, Hyde D E, et al. 2016. Extensions to a manifold learning framework for time-series analysis on dynamic manifolds in bioelectric signals. Physical Review E, 93: 042218. doi: 10.1103/PhysRevE.93.042218 [66] Fan S, Hong L, Jiang J. 2022. Blue-sky catastrophic bifurcations behind emergence and disappearance of quasiperiodic rubbing oscillations in a piecewise smooth rotor-stator system. International Journal of Bifurcation and Chaos, 32: 2250221. doi: 10.1142/S0218127422502212 [67] Fan Y, Iwashita T, Egami T. 2017. Energy landscape-driven non-equilibrium evolution of inherent structure in disordered material. Nature Communications, 8: 15417. doi: 10.1038/ncomms15417 [68] Fang S, Zhou S, Yurchenko D V, et al. 2022. Multistability phenomenon in signal processing, energy harvesting, composite structures, and metamaterials: A review. Mechanical Systems and Signal Processing, 166: 108419. doi: 10.1016/j.ymssp.2021.108419 [69] Fantino E, Castelli R. 2017. Efficient design of direct low-energy transfers in multi-moon systems. Celestial Mechanics and Dynamical Astronomy, 127: 429-450. doi: 10.1007/s10569-016-9733-9 [70] Fichthorn K A, Weinberg W H. 1991. Theoretical foundations of dynamical Monte Carlo simulations. The Journal of Chemical Physics, 95: 1090-1096. doi: 10.1063/1.461138 [71] Freeman R A, Kototovic P V. 1996. Robust nonlinear control design: State-space and Lyapunov techniques. Birkhäuser Boston, MA. [72] Fuß S, Hawkins S C, Marburg S. 2011. An eigenvalue search algorithm for the modal analysis of a resonator in free space. Journal of Computational Acoustics, 19: 95-109. doi: 10.1142/S0218396X11004304 [73] Gawroński P, Kwapień J, Kułakowski K. 2024. Transient chaos and memory effect in the Rosenzweig-MacArthur system with dynamics of consumption rates. Physical Review E, 109: 034210. doi: 10.1103/PhysRevE.109.034210 [74] Gelbrecht M, Kurths J, Hellmann F. 2020. Monte Carlo basin bifurcation analysis. New Journal of Physics, 22: 033032. doi: 10.1088/1367-2630/ab7a05 [75] Ghahramani Z, Roweis S. 1998. Learning nonlinear dynamical systems using an EM algorithm. In Kearns M, Solla S, Cohn D (Ed.) Advances in Neural Information Processing Systems. MIT Press. [76] Ghil M, Allen M R, Dettinger M, et al. 2002. Advanced spectral methods for climatic time series. Reviews of Geophysics, 40: 3(1-41). [77] Giannakis D, Majda A. 2012. Nonlinear Laplacian spectral analysis for time series with intermittency and low-frequency variability. Proceedings of the National Academy of Sciences, 109: 2222-2227. doi: 10.1073/pnas.1118984109 [78] Gilpin W. 2020. Deep reconstruction of strange attractors from time series. In Larochelle H et al. (Ed.) Advances in Neural Information Processing Systems. Curran Associates, Inc., pp. 204-216. [79] Gómez G, Koon W S, Lo M W, et al. 2004. Connecting orbits and invariant manifolds in the spatial restricted three-body problem. Nonlinearity, 17: 1571-1606. doi: 10.1088/0951-7715/17/5/002 [80] Gómez G, Koon W S, Lo M W, et al. 2001. Invariant manifolds, the spatial three-body problem and space mission design. In Advances in the Astronautical Sciences. AAS/AIAA Astrodynamics Specialtists Conference. Quebec, Canada. [81] Grziwotz F, Chang C-W, Dakos V, et al. 2023. Anticipating the occurrence and type of critical transitions. Science Advances, 9: eabq4558. doi: 10.1126/sciadv.abq4558 [82] Gu X Q, Yang S, Liu Y, et al. 2018. A novel Pareto-based Bayesian approach on extension of the infogram for extracting repetitive transients. Mechanical Systems and Signal Processing, 106: 119-139. doi: 10.1016/j.ymssp.2017.12.034 [83] Guan L, Qiao F, Zhai X, et al. 2022. Model evolution mechanism for incremental fault diagnosis. IEEE Transactions on Instrumentation and Measurement, 71: 1-11. [84] Guckenheimer J, Krauskopf B, Osinga H M, et al. 2015. Invariant manifolds and global bifurcations. Chaos: An Interdisciplinary Journal of Nonlinear Science, 25: 097604. doi: 10.1063/1.4915528 [85] Guckenheimer J M, Holmes P. 1983. Nonlinear oscillations, dynamical systems, and bifurcations of vector fields. Springer New York, NY. [86] Gutman Y. 2016. Takens’ embedding theorem with a continuous observable. arXiv e-prints, arXiv: 1510.05843. [87] Gyebrószki G, Csernák G. 2017. Clustered simple cell mapping: An extension to the simple cell mapping method. Communications in Nonlinear Science and Numerical Simulation, 42: 607-622. doi: 10.1016/j.cnsns.2016.06.020 [88] Haller G. 2015. Lagrangian coherent structures. Annual Review of Fluid Mechanics, 47: 137-162. doi: 10.1146/annurev-fluid-010313-141322 [89] Han M, Feng S, Chen C L P, et al. 2019. Structured manifold broad learning system: A manifold perspective for large-scale chaotic time series analysis and prediction. IEEE Transactions on Knowledge and Data Engineering, 31: 1809-1821. doi: 10.1109/TKDE.2018.2866149 [90] Han Q, Xu W, Yue X. 2015. Stochastic response analysis of noisy system with non-negative real-power restoring force by generalized cell mapping method. Applied Mathematics and Mechanics, 36: 329-336. doi: 10.1007/s10483-015-1918-6 [91] Hao W, Lee S, Xu X, et al. 2025. Stability and robustness of time-discretization schemes for the Allen-Cahn equation via bifurcation and perturbation analysis. Journal of Computational Physics, 521: 113565. doi: 10.1016/j.jcp.2024.113565 [92] Heino M, Proverbio D, Marchand G, et al. 2022. Attractor landscapes: A unifying conceptual model for understanding behaviour change across scales of observation. Health Psychology Review, 17: 655-672. [93] Henkelman G, Jóhannesson G, Jónsson H. 2002. Methods for finding saddle points and minimum energy paths. In Schwartz SD (Ed.) Theoretical Methods in Condensed Phase Chemistry. Springer Netherlands, Dordrecht, pp. 269-302. [94] Hitczenko P, Medvedev G S. 2013. The Poincaré map of randomly perturbed periodic motion. Journal of Nonlinear Science, 23: 835-861. doi: 10.1007/s00332-013-9170-9 [95] Homburg A J, Osinga H M, Vegter G. 1995. On the computation of invariant manifolds of fixed points. Zeitschrift für angewandte Mathematik und Physik ZAMP, 46: 171-187. [96] Hong L, Jiang J, Sun J-Q. 2015. Fuzzy responses and bifurcations of a forced duffing oscillator with a triple-well potential. International Journal of Bifurcation and Chaos, 25: 1550005. doi: 10.1142/S0218127415500054 [97] Hong L, Jiang J, Sun J-Q. 2014. Response analysis of fuzzy nonlinear dynamical systems. Nonlinear Dynamics, 78: 1221-1232. doi: 10.1007/s11071-014-1509-8 [98] Hong L, Sun J Q. 2006a. A fuzzy blue sky catastrophe. Nonlinear Dynamics, 55: 98-108. [99] Hong L, Sun J Q. 2006b. Bifurcations of forced oscillators with fuzzy uncertainties by the generalized cell mapping method. Chaos, Solitons & Fractals, 27: 895-904. [100] Hong L, Sun J Q. 2013. Double crises in fuzzy chaotic systems. International Journal of Dynamics and Control, 1: 32-40. doi: 10.1007/s40435-013-0004-2 [101] Hong L, Xu J. 1999. Crises and chaotic transients studied by the generalized cell mapping digraph method. Physics Letters A, 262: 361-375. doi: 10.1016/S0375-9601(99)00669-6 [102] Horibe T, Sakamoto N. 2018. Optimal swing up and stabilization control for inverted pendulum via stable manifold method. IEEE Transactions on Control Systems Technology, 26: 708-715. doi: 10.1109/TCST.2017.2670524 [103] Hsu C S. 1981. A generalized theory of cell-to-cell mapping for nonlinear dynamical systems. Journal of Applied Mechanics, 48: 634-642. doi: 10.1115/1.3157686 [104] Hsu C S. 1982. A probabilistic theory of nonlinear dynamical systems based on the cell state space concept. Journal of Applied Mechanics, 49: 895-902. doi: 10.1115/1.3162633 [105] Hsu C S. 1980. A theory of cell-to-cell mapping dynamical systems. Journal of Applied Mechanics, 47: 931-939. doi: 10.1115/1.3153816 [106] Hsu C S. 1987. Cell-to-cell mapping: A method of global analysis for nonlinear systems. Springer-Verlag, New York. [107] Hsu C S. 1992. Global analysis by cell mapping. International Journal of Bifurcation & Chaos, 2: 727-771. [108] Hsu C S. 1995. Global analysis of dynamical systems using posets and digraphs. International Journal of Bifurcation and Chaos, 5: 1085-1118. doi: 10.1142/S021812749500079X [109] Hsu C S, Guttalu R S. 1980. An unravelling algorithm for global analysis of dynamical systems: An application of cell-to-cell mappings. Journal of Applied Mechanics, 47: 940-948. doi: 10.1115/1.3153817 [110] Hu J, Qi G, Wang Z, et al. 2021. Rare energy-conservative attractors on global invariant hypersurfaces and their multistability. International Journal of Bifurcation and Chaos, 31: 2130007. doi: 10.1142/S021812742130007X [111] Huang F L, Chen L Q, Jiang W A. 2024. A Geometric numerical integration with simple cell mapping for global analysis of nonlinear dynamical systems. International Journal of Bifurcation and Chaos, 34: 2450190. doi: 10.1142/S0218127424501906 [112] Huang W, Zhang Y, Yang X S. 2022. Complicated boundaries of the attraction basin in a class of three-dimensional polynomial systems. International Journal of Bifurcation and Chaos, 32: 2250235. doi: 10.1142/S0218127422502352 [113] Huang Y, Green M A. 2015. Detection and tracking of vortex phenomena using Lagrangian coherent structures. Experiments in Fluids, 56: 147. doi: 10.1007/s00348-015-2001-z [114] Jain S, Haller G. 2022. How to compute invariant manifolds and their reduced dynamics in high-dimensional finite-element models. Nonlinear Dynamics, 107: 1417-1450. doi: 10.1007/s11071-021-06957-4 [115] Jiang J. 2012. An effective numerical procedure to determine saddle-type unstable invariant limit sets in nonlinear systems. Chinese Physics Letters, 29: 050503. doi: 10.1088/0256-307X/29/5/050503 [116] Jiang J, Guo X. 2011. Study of evolution of global structure into chaotic itinerancy by point mapping under cell reference method. In 23rd Biennial Conference on Mechanical Vibration and Noise, Parts A and B. ASME 2011 International Design Engineering Technical Conferences and Computers and Information in Engineering Conference. ASME, Washington, DC, USA, pp. 625-629. [117] Jiang J, Xu J X. 1994. A method of point mapping under cell reference for global analysis of nonlinear dynamical systems. Physics Letters A, 188: 137-145. doi: 10.1016/0375-9601(84)90008-2 [118] Jiang J, Xu J. X 1998. An iterative method of point mapping under cell reference for the global analysis: Theory and a multiscale reference technique. Nonlinear Dynamics, 15: 103-114. [119] Jiang J, Xu J X. 2012. Point mapping under cell reference—A two scaled numerical method for global analysis. In Sun J-Q, Luo ACJ (Ed.) Global Analysis of Nonlinear Dynamics. Springer New York, New York, NY, pp. 107-137. [120] Jin C, Ge R, Netrapalli P, et al. 2017. How to escape saddle points efficiently. In Precup D, Teh YW, (Ed.) Proceedings of the 34th International Conference on Machine Learning. Proceedings of Machine Learning Research. PMLR, pp. 1724-1732. [121] Jung C. 1986. Poincaré map for scattering states. Journal of Physics A: Mathematical and General, 19: 1345-1353. doi: 10.1088/0305-4470/19/8/016 [122] Kahana A, Segev L, Lancet D. 2023. Attractor dynamics drives self-reproduction in protobiological catalytic networks. Cell Reports Physical Science, 4: 101384. doi: 10.1016/j.xcrp.2023.101384 [123] Kelley C T. 2003. Solving nonlinear equations with Newton’s method. Society for Industrial and Applied Mathematics. [124] Kempf R. 2002. On Ω-limit sets of discrete-time dynamical systems. Journal of Difference Equations and Applications, 8: 1121-1131. doi: 10.1080/10236190290029024 [125] Kim H S, Eykholt R, Salas J D. 1999. Nonlinear dynamics, delay times, and embedding windows. Physica D: Nonlinear Phenomena, 127: 48-60. doi: 10.1016/S0167-2789(98)00240-1 [126] Kim P, Seok J. 2014. A multi-stable energy harvester: Dynamic modeling and bifurcation analysis. Journal of Sound and Vibration, 333: 5525-5547. doi: 10.1016/j.jsv.2014.05.054 [127] Kim W, Perkins N C. 2003. Harmonic balance/Galerkin method for non-smooth dynamic systems. Journal of Sound and Vibration, 261: 213-224. doi: 10.1016/S0022-460X(02)00949-5 [128] Klokov A V, Zakrzhevsky M V. 2011. Parametrically excited pendulum systems with several equilibrium positions: Bifurcation analysis and rare attractors. International Journal of Bifurcation and Chaos, 21: 2825-2836. doi: 10.1142/S0218127411030167 [129] Koch D, Nandan A, Ramesan G, et al. 2024. Ghost channels and ghost cycles guiding long transients in dynamical systems. Physical Review Letters, 133: 047202. doi: 10.1103/PhysRevLett.133.047202 [130] Koh D, Anderson R L, Bermejo-Moreno I. 2021. Cell-mapping orbit search for mission design at ocean worlds using parallel computing. The Journal of the Astronautical Sciences, 68: 172-196. doi: 10.1007/s40295-021-00251-6 [131] Krauskopf B, Osinga H M, Doedel E J, et al. 2005. A survey of methods for computing (un) stable manifolds of vector fields. International Journal of Bifurcation and Chaos, 15: 763-791. doi: 10.1142/S0218127405012533 [132] Lai Y C, Tél T. 2011. Transient Chaos. Springer, New York, NY. [133] Lenci S, Rega G. Eds. 2019. Global nonlinear dynamics for engineering design and system safety. Springer International Publishing, Cham. [134] Li Y, Li C, Zhong Q, et al. 2024a. Coexisting hollow chaotic attractors within a steep parameter interval. Chaos, Solitons & Fractals, 179: 114406. [135] Li Z, Jiang J, Li J, et al. 2019a. A subdomain synthesis method for global analysis of nonlinear dynamical systems based on cell mapping. Nonlinear Dynamics, 95: 715-726. doi: 10.1007/s11071-018-4592-4 [136] Li Z, Jiang J, Hong L, et al. 2020a. A subspace expanding technique for global zero finding of multi-degree-of-freedom nonlinear systems. Applied Mathematics and Mechanics-English Edition, 41: 769-784. doi: 10.1007/s10483-020-2604-6 [137] Li Z, Ma S, Jiang J, et al. 2024b. Discretized boundary-oriented progressive learning method for predicting global basins of attraction with few data. Physica D: Nonlinear Phenomena, 470: 134350. doi: 10.1016/j.physd.2024.134350 [138] Li Z, Qiao L, Jiang J, et al. 2020b. Global dynamic analysis of the North Pacific Ocean by data-driven generalized cell mapping method. International Journal of Dynamics and Control, 8: 1141-1146. doi: 10.1007/s40435-020-00678-z [139] Li Z, Jiang J, Hong L, et al. 2019b. On the data-driven generalized cell mapping method. International Journal of Bifurcation and Chaos, 29: 1950204: 1-1950204: 21. [140] Li Z, Kang J, Jiang J, et al. 2022. Parallel subdomain synthesis of cell mapping for capturing global invariant sets in higher-dimensional dynamical systems. International Journal of Bifurcation and Chaos, 32: 2250231. doi: 10.1142/S0218127422502315 [141] Li Z, Jiang J, Hong L. 2017. Noise-induced transition in a piecewise smooth system by generalized cell mapping method with evolving probabilistic vector. Nonlinear Dynamics, 88: 1473-1485. doi: 10.1007/s11071-016-3323-y [142] Li Z, Jiang Q, Jiang J. 2024c. Tracking global topologies by deep learning-based progressive training with few data. The European Physical Journal Special Topics, https://doi.org/10.1140/epjs/s11734-024-01344-7. [143] Liu X, Jiang J, Hong L, Li Z, et al. 2019a. Fuzzy noise-induced codimension-two bifurcations captured by fuzzy generalized cell mapping with adaptive interpolation. International Journal of Bifurcation and Chaos, 29: 1950151. doi: 10.1142/S0218127419501517 [144] Liu X, Jiang J, Hong L, et al. 2018. Studying the global bifurcation involving Wada boundary metamorphosis by a method of generalized cell mapping with sampling-adaptive interpolation. International Journal of Bifurcation and Chaos, 28: 1830003. doi: 10.1142/S0218127418300033 [145] Liu X, Jiang J, Hong L, Tang D. 2019b. Wada boundary bifurcations induced by boundary saddle-saddle collision. Physics Letters A, 383: 170-175. doi: 10.1016/j.physleta.2018.10.023 [146] Lohmann J, Dijkstra H A, Jochum M, et al. 2024. Multistability and intermediate tipping of the Atlantic Ocean circulation. Science Advances, 10: eadi4253. doi: 10.1126/sciadv.adi4253 [147] López-Ureña S, Torres-Lapasió J R, García-Alvarez-Coque M C. 2019. Enhancement in the computation of gradient retention times in liquid chromatography using root-finding methods. Journal of Chromatography. A, 1600: 137-147. doi: 10.1016/j.chroma.2019.04.030 [148] Lu Z, Hunt B, Ott E. 2018. Attractor reconstruction by machine learning. Chaos: An Interdisciplinary Journal of Nonlinear Science, 28: 061104. doi: 10.1063/1.5039508 [149] Ma F, Küpper T. 1994. Numerical calculation of invariant manifolds for maps. Numerical Linear Algebra with Applications, 1: 141-150. doi: 10.1002/nla.1680010205 [150] Mamaghani A E, Khadem S E, Bab S. 2016. Vibration control of a pipe conveying fluid under external periodic excitation using a nonlinear energy sink. Nonlinear Dynamics, 86: 1761-1795. doi: 10.1007/s11071-016-2992-x [151] Matteo A D, Pirrotta A. 2024. Efficient path integral approach via analytical asymptotic expansion for nonlinear systems under Gaussian white noise. Nonlinear Dynamics, 112: 13995-14018. doi: 10.1007/s11071-024-09822-2 [152] Menck P J, Heitzig J, Marwan N, et al. 2013. How basin stability complements the linear-stability paradigm. Nature Physics, 9: 89-92. doi: 10.1038/nphys2516 [153] Mirowski P, LeCun Y. 2009. Dynamic factor graphs for time series modeling. In Buntine W et al. (Ed.) Machine Learning and Knowledge Discovery in Databases. Springer Berlin Heidelberg, Berlin, Heidelberg, pp. 128-143. [154] Mitra C, Choudhary A, Sinha S, et al. 2017. Multiple-node basin stability in complex dynamical networks. Physical Review E, 95: 032317. [155] Molčan M, Ferfecki P, Zapoměl J. 2023. The numerical identification of basins of attraction for the vibration response of the rigid rotor with squeeze film dampers. Applied Sciences, 13: 2864. doi: 10.3390/app13052864 [156] Mujica J, Krauskopf B, Osinga H M. 2018. Tangencies between global invariant manifolds and slow manifolds near a singular hopf bifurcation. SIAM Journal on Applied Dynamical Systems, 17: 1395-1431. doi: 10.1137/17M1133452 [157] Naik S, Ross S D. 2017. Geometry of escaping dynamics in nonlinear ship motion. Communications in Nonlinear Science and Numerical Simulation, 47: 48-70. doi: 10.1016/j.cnsns.2016.10.021 [158] Navarro C A, Hitschfeld-Kahler N, Mateu L. 2014. A survey on parallel computing and its applications in data-parallel problems using GPU architectures. Communications in Computational Physics, 15: 285-329. doi: 10.4208/cicp.110113.010813a [159] Nave G K, Nolan P J, Ross S D. 2019. Trajectory-free approximation of phase space structures using the trajectory divergence rate. Nonlinear Dynamics, 96: 685-702. doi: 10.1007/s11071-019-04814-z [160] Niroomand M P, Morgan J W R, Cafolla C T, et al. 2022. On the capacity and superposition of minima in neural network loss function landscapes. Machine Learning: Science and Technology, 3: 025004. doi: 10.1088/2632-2153/ac64e6 [161] Noakes L. 1991. The takens embedding theorem. International Journal of Bifurcation and Chaos, 1: 867-872. doi: 10.1142/S0218127491000634 [162] Nolan P J, Foroutan H, Ross S. 2020. Pollution transport patterns obtained through generalized Lagrangian coherent structures. Atmosphere, 11: 168. doi: 10.3390/atmos11020168 [163] Nusse H E, Yorke J A. 1991. A numerical procedure for finding accessible trajectories on basin boundaries. Nonlinearity, 4: 1183-1212. doi: 10.1088/0951-7715/4/4/008 [164] Nusse H E, Yorke J A. 1989. A procedure for finding numerical trajectories on chaotic saddles. Physica D: Nonlinear Phenomena, 36: 137-156. doi: 10.1016/0167-2789(89)90253-4 [165] Orlando D, de Castro C H L, Gonçalves P B. 2018. Nonlinear vibrations and instability of a bistable shallow reticulated truss. Nonlinear Dynamics, 94: 1479-1499. doi: 10.1007/s11071-018-4437-1 [166] Osinga H M. 2014. Computing global invariant manifolds: Techniques and applications. In Proceedings of the International Congress of Mathematicians. Seoul, South Korea. [167] Osinga H M. 2018. Understanding the geometry of dynamics: The stable manifold of the Lorenz system. Journal of the Royal Society of New Zealand, 48: 203-214. doi: 10.1080/03036758.2018.1434802 [168] Ott E. 2002. Chaos in dynamical systems. Cambridge University Press. [169] Parker T S, Chua L O. 1989. Practical numerical algorithms for chaotic systems. Springer New York, NY. [170] Pattanayak D, Mishra A, Dana S K, et al. 2021. Bistability in a tri-trophic food chain model: Basin stability perspective. Chaos: An Interdisciplinary Journal of Nonlinear Science, 31: 073124. doi: 10.1063/5.0054347 [171] Pérez-Hernández G, Paul F, Giorgino T, et al. 2013. Identification of slow molecular order parameters for Markov model construction. The Journal of Chemical Physics, 139: 015102. doi: 10.1063/1.4811489 [172] Piiroinen P T, Kuznetsov Y A. 2008. An event-driven method to simulate Filippov systems with accurate computing of sliding motions. ACM Transactions on Mathematical Software, 34: 1-24. [173] Pisarchik A N, Hramov A E. 2022. Multistability in physical and living systems: Characterization and Applications. Springer Cham. [174] Ponce E, Ros J, Vela E. 2018. The boundary focus-saddle bifurcation in planar piecewise linear systems. Application to the analysis of memristor oscillators. Nonlinear Analysis: Real World Applications, 43: 495-514. doi: 10.1016/j.nonrwa.2018.03.011 [175] Qin Z, Xin Y, Sun J. 2020. Multi-objective optimal motion control of a laboratory helicopter based on parallel simple cell mapping method. Asian Journal of Control, 22: 1565-1578. doi: 10.1002/asjc.2040 [176] Raghav S, Ruggiero M, Marongiu A, et al. 2015. GPU acceleration for simulating massively parallel many-core platforms. IEEE Transactions on Parallel and Distributed Systems, 26: 1336-1349. doi: 10.1109/TPDS.2014.2319092 [177] Rega G. 2019. Exploiting global dynamics to unveil the nonlinear response and actual safety of systems and structures. In Developments and Novel Approaches in Nonlinear Solid Body Mechanics. International Conference on Nonlinear Solid Mechanics 2019. Springer, Cham, Roma, Italy. [178] Rega G, Lenci S. 2015. A global dynamics perspective for system safety from macro- to nanomechanics: Analysis, control, and design engineering. Applied Mechanics Reviews, 67: 050802. doi: 10.1115/1.4031705 [179] Rega G, Lenci S. 2005. Identifying, evaluating, and controlling dynamical integrity measures in non-linear mechanical oscillators. Nonlinear Analysis: Theory, Methods & Applications, 63: 902-914. [180] Revuelta F, Bartsch T, Benito R M, et al. 2018. The geometry of transition states: How invariant manifolds determine reaction rates. Chaotic Modeling and Simulation, 3: 305-318. [181] Rhodes C, Morari M. 1997. The false nearest neighbors algorithm: An overview. Computers & Chemical Engineering, 21: S1149-S1154. [182] Rodrigues A A P. 2017. Attractors in complex networks. Chaos: An Interdisciplinary Journal of Nonlinear Science, 27: 103105. doi: 10.1063/1.4996883 [183] Sahoo S, Roy B K. 2022. A new multi-wing chaotic attractor with unusual variation in the number of wings. Chaos, Solitons & Fractals, 164: 112598. [184] Scheffer M, Bascompte J, Brock W A, et al. 2009. Early-warning signals for critical transitions. Nature, 461: 53-59. doi: 10.1038/nature08227 [185] Schmitt R J, Holbrook S J, Davis S L, et al. 2019. Experimental support for alternative attractors on coral reefs. Proceedings of the National Academy of Sciences, 116: 4372-4381. doi: 10.1073/pnas.1812412116 [186] Schöll E, Klapp S H L, Hövel P. 2016. Control of self-organizing nonlinear systems. Springer Cham. [187] Serra M, Sathe P, Rypina I, et al. 2020. Search and rescue at sea aided by hidden flow structures. Nature Communications, 11: 2525. doi: 10.1038/s41467-020-16281-x [188] Sievidova I, Oliynik T, Mandych O, et al. 2019. Optimizing the strategy of activities using numerical methods for determining equilibrium. Eastern-European Journal of Enterprise Technologies, 6: 47-56. [189] Simó C. 1990. On the analytical and numerical approximation of invariant manifolds. In Modern Methods in Celestial Mechanics, pp. 285-329. [190] Şimşek M, Bilgen O. 2020. The Duffing-Holmes oscillator under hybrid position feedback controller: Response type and basin of attraction analyses. International Journal of Structural Stability and Dynamics, 20: 2050101. doi: 10.1142/S0219455420501011 [191] Stark J. 1999. Delay embeddings for forced systems. I. Deterministic forcing. Journal of Nonlinear Science, 9: 255-332. doi: 10.1007/s003329900072 [192] Stark J, Broomhead D S, Davies M E, et al. 2003. Delay embeddings for forced systems. II. Stochastic forcing. Journal of Nonlinear Science, 13: 519-577. doi: 10.1007/s00332-003-0534-4 [193] Stark J, Broomhead D S, Davies M E, et al. 1997. Takens embedding theorems for forced and stochastic systems. Nonlinear Analysis: Theory, Methods & Applications, 30: 5303-5314. [194] Sugihara G, May R, Ye H, et al. 2012. Detecting causality in complex ecosystems. Science, 338: 496-500. doi: 10.1126/science.1227079 [195] Sun H, Shang H. 2024. Comparisons for global dynamics of a geometrically nonlinear oscillator among single-, double- and quadruple-well configurations. Fractal and Fractional, 8: 202. doi: 10.3390/fractalfract8040202 [196] Sun J Q, Jia T, Xiong F, et al. 2015. Aircraft landing gear control with multi-objective optimization using generalized cell mapping. Transactions of Tianjin University, 21: 140-146. doi: 10.1007/s12209-015-2584-8 [197] Sun J Q, Xiong F R, Schütze O, et al. 2019a. Cell Mapping Methods, Springer, Singapore. [198] Sun J Q, Zheng W, Xiong F, et al. 2017. Multi-objective optimal design of vbration absorber with simple cell mapping algorithm. Transactions of Tianjin University, 23: 488-492. doi: 10.1007/s12209-017-0066-x [199] Sun J Q, Hong L. 2012. Fuzzy cell mapping. In Global Analysis of Nonlinear Dynamics. Springer New York, pp. 161-174. [200] Sun J Q, Hsu C S. 1990a. Global analysis of nonlinear dynamical systems with fuzzy uncertainties by the cell mapping method. Computer Methods in Applied Mechanics and Engineering, 83: 109-120. doi: 10.1016/0045-7825(90)90146-D [201] Sun J Q, Hsu C S. 1990b. The generalized cell mapping method in nonlinear random vibration based upon short-time gaussian approximation. Journal of Applied Mechanics-Transactions of the ASME, 57: 1018-1025. doi: 10.1115/1.2897620 [202] Sun J Q, Luo A C J. Eds. 2012. Global analysis of nonlinear dynamics. Springer, New York. [203] Sun J Q, Xiong F. 2017. Cell mapping methods-beyond global analysis of nonlinear dynamic systems. Advances in Mechanics, 47: 150-177. [204] Sun S, Cao Z, Zhu H, et al. 2020. A survey of optimization methods from a machine learning perspective. IEEE Transactions on Cybernetics, 50: 3668-3681. doi: 10.1109/TCYB.2019.2950779 [205] Sun Z, Zhang X, Fan T, et al. 2019b. Nonlinear dynamic characteristics analysis of active magnetic bearing system based on cell mapping method with a case study. Mechanical Systems and Signal Processing, 117: 116-137. doi: 10.1016/j.ymssp.2018.07.030 [206] Szemplinska-Stupnicka W, Janicki K. 1997. Basin boundary bifurcations and boundary crisis in the twin-well Duffing oscillator: Scenarios related to the saddle of the large resonant orbit. International Journal of Bifurcation and Chaos, 7: 129-146. doi: 10.1142/S0218127497000091 [207] Tamakoshi D, Kojima H. 2019. Set-oriented design of interplanetary low-thrust trajectories using earth gravity assist. Acta Astronautica, 156: 208-218. doi: 10.1016/j.actaastro.2018.10.012 [208] Tarjan R. 1971. Depth-first search and linear graph algorithms. In 12th Annual Symposium on Switching and Automata Theory (swat 1971), pp. 114-121. [209] Tongue B H. 1987. On obtaining global nonlinear system characteristics through interpolated cell mapping. Physica D: Nonlinear Phenomena, 28: 401-408. doi: 10.1016/0167-2789(87)90028-5 [210] Tongue B H, Gu K. 1988a. A higher order method of interpolated cell mapping. Journal of Sound and Vibration, 125: 169-179. doi: 10.1016/0022-460X(88)90424-5 [211] Tongue B H, Gu K. 1988b. A theoretical basis for interpolated cell mapping. SIAM Journal on Applied Mathematics, 48: 1206-1214. doi: 10.1137/0148072 [212] Tongue B H, Gu K. 1988c. Interpolated cell mapping of dynamical systems. Journal of Applied Mechanics, 55: 461-466. doi: 10.1115/1.3173700 [213] Troger H, Steindl A. 1992. Nonlinear stability and bifurcation theory: An introduction for engineers and applied scientists. Springer Vienna. [214] Valle D, Wagemakers A, Sanjuán M A F. 2024. Deep learning-based analysis of basins of attraction. Chaos: An Interdisciplinary Journal of Nonlinear Science, 34: 033105. doi: 10.1063/5.0159656 [215] Wan E A. 1993. Time series prediction by using a connectionist network with internal delay lines. In Time Series Prediction. Forecasting the Future and Understanding the Past. In Santa Fe Institute Studies In The Sciences Of Complexity. Addison-Wesley, pp. 195-195. [216] Wang F Y, Fan X Y. 1995. Cell-to-cell mapping method for time-optimal trajectory planning of multiple robot arm systems. Journal of Optimization Theory and Applications, 86: 347-368. doi: 10.1007/BF02192084 [217] Wang N, Zhang G, Kuznetsov N V, et al. 2021. Hidden attractors and multistability in a modified Chua’s circuit. Communications in Nonlinear Science and Numerical Simulation, 92: 105494. doi: 10.1016/j.cnsns.2020.105494 [218] Wang T, Li J, Lu D, et al. 2024. A point mapping strategy-based sparse grid integration method for statistical moments estimation and structural reliability analysis. Computer Methods in Applied Mechanics and Engineering, 430: 117238. doi: 10.1016/j.cma.2024.117238 [219] Wang X, Jiang J, Hong L. 2020. Enhancing subdivision technique with an adaptive interpolation sampling method for global attractors of nonlinear dynamical systems. International Journal of Dynamics and Control, 8: 1147-1160. doi: 10.1007/s40435-020-00683-2 [220] Wu L, Xi X, Li B, et al. 2018. Multi-stable mechanical structural materials. Advanced Engineering Materials, 20: 1700599. doi: 10.1002/adem.201700599 [221] Xiong F. 2016. Finding zeros of nonlinear functions using the hybrid parallel cell mapping method. Communications in Nonlinear Science and Numerical Simulation, 34: 23-37. doi: 10.1016/j.cnsns.2015.10.008 [222] Xiong F, Qin Z, Ding Q, et al. 2015. Parallel cell mapping method for global analysis of high-dimensional nonlinear dynamical systems. Journal of Applied Mechanics-Transactions of the ASME, 82: 111010. doi: 10.1115/1.4031149 [223] Xu C, Xue L, Cui Y, et al. 2023. Critical slowing down phenomenon for predicting the failure of solid rocks and cement mortar materials: Insight from acoustic emission multiparameters. Construction and Building Materials, 399: 132523. doi: 10.1016/j.conbuildmat.2023.132523 [224] Xu Y, Li Y, Zhang H, et al. 2016. The switch in a genetic toggle system with Lévy noise. Scientific Reports, 6: 31505. doi: 10.1038/srep31505 [225] Yan Y, Liu G, Wiercigroch M, et al. 2021. Safety estimation for a new model of regenerative and frictional cutting dynamics. International Journal of Mechanical Sciences, 201: 106468. doi: 10.1016/j.ijmecsci.2021.106468 [226] Yang F, Chen L, Yuan Z, et al. 2023a. Transient response of energy harvesting systems with multi-well potential under Poisson white noise excitations. International Journal of Non-Linear Mechanics, 155: 104463. doi: 10.1016/j.ijnonlinmec.2023.104463 [227] Yang L, Ge Y, Ma X, et al. 2017. Global analysis of stochastic bifurcation in permanent magnet synchronous generator for wind turbine system. Acta Physica Sinica, 66: 190501. doi: 10.7498/aps.66.190501 [228] Yang Q, Li S, Ma Z. 2023b. Global behavior analysis of nonlinear energy sink systems using the parallelized multi-degrees-of-freedom cell mapping method. Journal of Computational and Nonlinear Dynamics, 18: 011002. doi: 10.1115/1.4056198 [229] Yee H C, Sweby P K, Griffiths D F. 1991. Dynamical approach study of spurious steady-state numerical solutions of nonlinear differential equations. I. The dynamics of time discretization and its implications for algorithm development in computational fluid dynamics. Journal of Computational Physics, 97: 249-310. doi: 10.1016/0021-9991(91)90001-2 [230] Yi D, Ahn J L, Ji S. 2020. An effective optimization method for machine learning based on ADAM. Applied Sciences, 10: 1073. doi: 10.3390/app10031073 [231] Yu X, Chen G, Xia Y, et al. 2001. An invariant-manifold-based method for chaos control. IEEE Transactions on Circuits and Systems I: Fundamental Theory and Applications, 48: 930-937. [232] Yue X, Zhang H, Li Y, et al. 2024. Global dynamics and noise-induced transitions for a two-dimensional panel system in subsonic flow. Acta Mechanica Sinica, 40: 523472. doi: 10.1007/s10409-024-23472-x [233] Yue X, Xu Y, Xu W, et al. 2019a. Global invariant manifolds of dynamical systems with the compatible cell mapping method. International Journal of Bifurcation and Chaos, 29: 1950105. doi: 10.1142/S0218127419501050 [234] Yue X, Wang Y, Han Q, et al. 2019b. Transient responses of nonlinear dynamical systems under colored noise. Europhysics Letters, 127: 24004. doi: 10.1209/0295-5075/127/24004 [235] Yue X, Xu W, Zhang Y. 2012. Global bifurcation analysis of Rayleigh-Duffing oscillator through the composite cell coordinate system method. Nonlinear Dynamics, 69: 437-457. doi: 10.1007/s11071-011-0276-z [236] Zeng S. 2018. On sample-based computations of invariant sets. Nonlinear Dynamics, 94: 2613-2624. doi: 10.1007/s11071-018-4512-7 [237] Zhang W, Xu W, Niu L, et al. 2023. Bifurcations analysis of a multiple attractors energy harvesting system with fractional derivative damping under random excitation. Communications in Nonlinear Science and Numerical Simulation, 118: 107069. doi: 10.1016/j.cnsns.2022.107069 [238] Zhang Y, Strogatz S H. 2021. Basins with tentacles. Physical Review Letters, 127: 194101. doi: 10.1103/PhysRevLett.127.194101 [239] Zhong J, Ross S D. 2021. Global invariant manifolds delineating transition and escape dynamics in dissipative systems: An application to snap-through buckling. Nonlinear Dynamics, 104: 3109-3137. doi: 10.1007/s11071-021-06509-w [240] Zhu Y, Shang H. 2022. Global bifurcation behaviors and control in a class of bilateral MEMS resonators. Fractal and Fractional, 6: 538. doi: 10.3390/fractalfract6100538 -
下载:







